795.pdf
Unknown Volume 338 pages 2 redactions 0.0% redacted
1 redactions
1 redactions
NOT A CERTIFIED COPY Filing# 9301301 Electronically Filed 01/17/2014 03:32:27 PM JEFFREY EPSTEIN, Plaintiff, vs. SCOTT ROTHSTEIN, individually, BRADLEY J. EDWARDS, individually, and L.M., individually, Defendant, I ----------------- IN THE CIRCUIT COURT OF THE FIFTEENTH JUDICIAL CIRCUIT, IN AND FOR PALM BEACH COUNTY, FLORIDA CASE NO.: 502009CA040800XXXXMBAG DEFENDANT/COUNTER-PLAINTIFF'S RESPONSE IN OPPOSITION TO PLAINTIFF/COUNTER-DEFENDANT'S MOTION FOR SUMMARY JUDGMENT ON DEFENDANT/COUNTER-PLAINTIFF'S FOURIB AMENDED COUNTERCLAIM Defendant/Counter-Plaintiff Bradley J. Edwards, by and through his undersigned counsel, hereby submits this Response in Opposition to Plaintiff/Counter-Defendant Jeffrey Epstein's Motion for Summary Judgment. Epstein seeks Summary Judgment on the claims of abuse of process and malicious prosecution set forth in Brad Edwards' Fomih Amended Counterclaim. Each of the grounds asserted in support of Epstein's Motion for Summary Judgment are without merit and must be denied. In Epstein's Amended Complaint he carries forth the essence of all claims asserted in his original Complaint. In that pleading Epstein essentially alleges that Edwards joined Rothstein in the abusive prosecution of sexual assault cases against Epstein to "pump" the cases to Ponzi scheme investors. The purported "proof' of the allegations against Edwards, as referenced in the Second Amended Complaint and in Epstein's Motion for Summary Judgment, includes Edwards' alleged contacts with the media, his attempts to obtain discovery from high profile persons with whom Epstein socialized, press rep01is of Rothstein's known illegal activities, the use of "ridiculously inflammatory" language and arguments in court. But as the evidence submitted in opposition to Epstein's Motion for Summary Judgment reflects, Epstein filed his claims and continued to pursue claims despite his lmowledge that his claims could never be successful because they were both false an...
NOT A CERTIFIED COPY Case No.: 502009CA040800XXXXMBAG Edwards' Opposition to Epstein's Motion for Summary Judgment Page 2 of 15 they were true. Epstein knew that he had in fact molested each of the minors represented by Brad Edwards. He also knew that each litigation decision by Brad Edwards was grounded in proper litigation judgment about the need to pursue effective discovery against Epstein, particularly in the face of Epstein's stonewalling tactics. Epstein also knew that he suffered no legally cognizable injury proximately caused by the falsely alleged wrongdoing on the part of Edwards. Moreover, Epstein had no intention of waiving his Fifth Amendment privilege against self-incrimination in order to avoid providing relevant and material discovery that Epstein would need in the course of prosecuting his claims and to which Edwards was entitled in defending those claims. Epstein knew that his prosecution of his claims would be barred by the sword-shield doctrine. Most significantly, the evidence submitted in the supporting papers would compel a fact finder to detennine that Epstein had no basis in law or in fact to pursue his claims against Edwards and that Epstein was motivated by a single ulterior motive to attempt to intimidate Edwards and his clients and others into abandoning or settling their legitimate claims for less than their just and reasonable value. The evidence demonstrates that Epstein did not file these claims for the purpose of collecting money damages since he knew that he never suffered any damage as a consequence of any alleged wrongdoing by Edwards but filed the claim to require Edwards to expend time, energy and resources on his own defense, to embarTass Edwards and impugn his integrity and deter others with legitimate claims against Epstein from pursuing those claims. Indeed, the evidence demonstrates that Epstein continued to pursue his claims by filing the Second Amended Complaint alleging abuse of process against ...
NOT A CERTIFIED COPY Case No.: 502009CA040800XXXXMBAG Edwards' Opposition to Epstein's Motion for Summary Judgment Page 3 of 15 The record reflects that on the eve of the hearing of Edwards' Motion for Summary Judgment directed to the Second Amended Complaint and in light of the compelling evidence of the lack of any wrongdoing on the part of Mr. Edwards, the sole remaining abuse of process claim was dismissed by Epstein. As discussed, infra each of the grounds asserted by Epstein in this Motion for Summary Judgment must be rejected. The litigation privilege does not serve as a bar to the prosecution of Edwards' claims against Epstein. Moreover, the evidence submitted by Edwards supports each of the elements of the claims asserted by Edwards against Epstein which are identified in Epstein's Motion. Response to Epstein's Statement of Undisputed Facts The evidence marshalled by Edwards in support of his claims against Epstein which are referenced in footnote 1 mandates the conclusion that, at a minimum, disputed facts exist with respect to the elements of each claim addressed by Epstein in his Motion. The facts presented in the various papers would allow the jury to make a determination that Epstein knew that Brad Edwards properly exercised his legitimate judgment regarding the need to pursue proper and effective discovery against him to support the claims which Epstein knew were legitimate. That evidence, referenced herein, further demonstrated that Epstein filed his claims without probable cause and further that there was a bonafide termination in favor of Edwards. That evidence further demonstrates that the elements of the claim of abusive process have been established. The following additional comments are directed at some of the key purported "undisputed" material facts asserted by Epstein, especially those referenced in his Memorandum of Law. Also set forth are key evidentiary matters which undermine Epstein's contentions and which support...
NOT A CERTIFIED COPY Case No.: 502009CA040800XXXXMBAG Edwards' Opposition to Epstein's Motion for Summary Judgment Page 4 of 15 None of the public materials identified by Epstein in his Motion make reference to any wrongdoing by Brad Edwards. Rather, Epstein seeks to pyramid one impermissible inference upon another from his citation to these materials to support his otherwise unsubstantiated and non-verifiable conclusion that he had sufficient evidence to proceed with claims of wrongdoing against Edwards. In truth, as reflected in Edwards' deposition and his supplemental affidavit, he has no involvement in any fraud perpetrated by Rothstein (Edwards' deposition of March 23, 2010 at 301-302; Edwards Affidavit attached to Statement of Undisputed Facts as Exhibit ''N" at paragraphs 8-10, paragraph 20, paragraphs 22-23; Exhibit "H" - Deposition of Scott Rothstein at pp. 62-63, 114, and 121-124). Therefore, any allegations relating to Rothstein' s activities simply have no bearing on the legitimacy of any of the claims against Edwards. Edwards could not have possibly "pumped" cases to investors when he never participated in any communications with investors. Rather, Edwards had a duty to his clients to zealously pursue discovery to achieve a maximum recovery against Epstein. Edwards cannot be liable for taking appropriate action that his ethical duties as an attorney required. The evidence also reflects that Edwards filed all three of his cases almost a year before he was hired by RRA or even knew Scott Rothstein (Edwards' Affidavit, Exhibit "N" attached to Statement of Undisputed Facts). The language set fmih in his Complaints remain virtually unchanged from the first filing in 2008 and, as the evidence shows, the claims asserted against Epstein from the outset were true. The citation to public documents is a convenient ruse; Epstein was not only liable for the molestation of the clients of Brad Edwards, he was also a serial molester of minors - e...
NOT A CERTIFIED COPY Case No.: 502009CA040800XXXXMBAG Edwards' Opposition to Epstein's Motion for Summary Judgment Page 5 of 15 Federal Statute providing for compensation to victims of child abuse.. (Exhibit "A" - Edwards' Statement of Undisputed Material Facts, paragraphs 41-43). On July 6, 2010 Epstein ultimately paid to settle all three of the cases Edwards had filed against him (Exhibit "A" - Edwards' Statement of Undisputed Material Facts, paragraphs 84-85). At Epstein's request, the terms of the settlement were kept confidential. The sum that he paid to settle all these cases in therefore not filed with this pleading and will be provided to the court for in camera review. Epstein chose to make this payment as a result of a Federal Court ordered mediation process which he himself sought. Epstein entered into the settlements in July 2010 more than seven months after he filed his lawsuit against Edwards and before he filed his Second Amended Complaint alleging abuse of process on August 22, 2011. Further, Epstein could not have been the victim of any scheme to pump the cases against him because he never paid to settle the cases until well after Edwards had left RRA and severed all connection with Rothstein in December 2009 (Edwards' Affidavit attached to Statement of Undisputed Facts as Exhibit "N," paragraph 20). Moreover, Epstein could not have suffered any damage as a result of the perpetration of the Ponzi scheme by Rothstein because he was not an investor in the scheme. Perhaps the most significant evidence presented in opposition to Epstein's Motion for Summary Judgment is the telephone interview of Virginia Roberts submitted in Support of Edwards' Motion for Punitive Damages (Exhibit "D''). In addition to the specious claims against Edwards relating to his alleged involvement in a Ponzi scheme, Epstein, in asserting his claims, primarily relied upon the pursuit by Edwards of testimony from his close friends and associates (See Second...
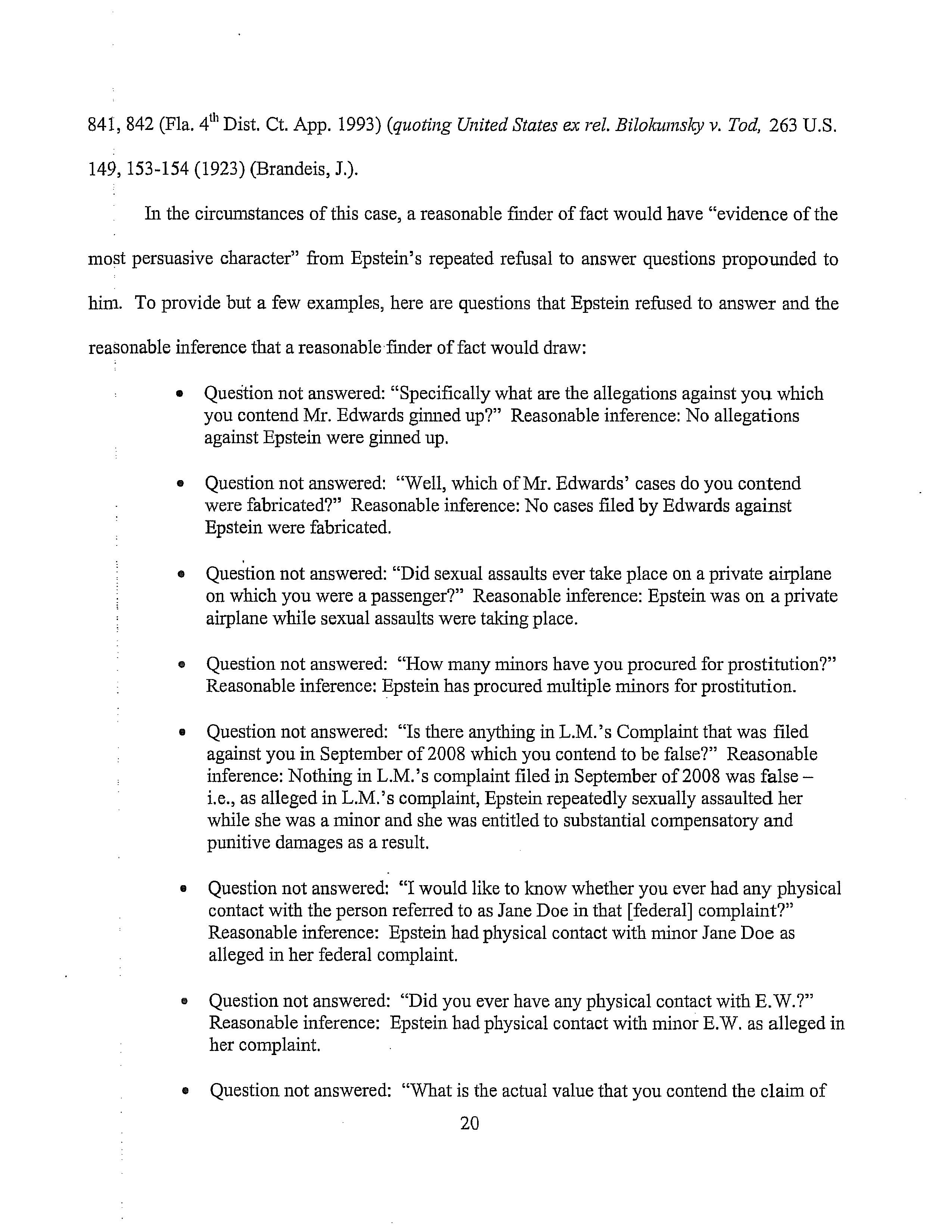
NOT A CERTIFIED COPY Case No.: 502009CA040800:XXXXMBAG Edwards' Opposition to Epstein's Motion for Summary Judgment Page 6 of 15 undisputed facts submitted by Mr. Edwards in support of his Motion for Summary Judgment, Edwards had a sound legal basis for believing that Donald Trump, Allen Dershowitz, Bill Clinton, Tommy Mattola, David Copperfield and Governor Bill Richardson had relevant and discoverable information (Exhibit "A" - Edwards' Statement of Undisputed Facts, paragraphs 69-81). That belief was reinforced by the testimony of Virginia Roberts (Exhibit "D" pp. 10-17, 21-23). Epstein's assertion of impropriety in the pursuit of this discovery clearly evidences his bad faith attempts to attribute wrongdoing to Edwards when he knew, in fact, that the pursuit of that discovery was entirely appropriate under the circumstances of this case. Finally, any attempt by Epstein to rely upon what he claims are undisputed facts to support his Motion for Summary Judgment are undennined by his refusal to provide any testimony on the key issues and evidence which would demonstrate the validity and strength of each of the claims brought against him by Brad Edwards. Epstein's depositions of March 17, 2010 and January 25, 2012 were replete with refusals of Epstein to testify based upon his Fifth Amendment privilege. Questions that Epstein refused to answer in his depositions and the reasonable inferences that a fact finder would draw and which would otherwise bear on the arguments submitted by Epstein in support of his Motion for Summary Judgment are as follows: • Question not answered: "I want to know whether you have any knowledge of evidence that Bradley Edwards personally ever participated in devising a plan through which were sold purported confidential assignments of a structured payout settlement?" Reasonable inference: No knowledge that Brad Edwards ever participated in the Ponzi scheme. • Question not answered: "Specifically what are the allegat...
NOT A CERTIFIED COPY Case No.: 502009CA040800XXXXMBAG Edwards' Opposition to Epstein's Motion for Summary Judgment Page 7 of 15 • Question not answered: "Did sexual assaults ever take place on a private airplane on which you were a passenger?" Reasonable inference: Epstein was on a private airplane while sexual assaults were taking place. • Question not answered: "How many minors have you procured for prostitution?" Reasonable inference: Epstein has procured multiple minors for prostitution. • Question not answered: "Is there anything in L.M.' s Complaint that was filed against you in September of2008 which you contend to be false?" Reasonable inference: Nothing in L.M.'s complaint filed in September of2008 was false -i.e., as alleged in L.M.' s complaint, Epstein repeatedly sexually assaulted her while she was a minor and she was entitled to substantial compensatory and punitive damages as a result. • Question not answered: "I would like to know whether you ever had any physical contact with the person referred to as Jane Doe in that [federal] complaint?" Reasonable inference: Epstein had physical contact with minor Jane Doe as alleged in her federal complaint. • Question not answered: "Did you ever have any physical contact with E.W.?" Reasonable inference: Epstein had physical contact with minor E.W. as alleged in her complaint. • Question not answered: "What is the actual value that you contend the claim of E.W. against you has?" Reasonable inference: E.W.'s claim against Epstein had substantial actual value. (See Exhibit "A" -Edwards' Statement of Undisputed Material Facts, paragraphs 93-120 for page references.) A jury could conclude, therefore, from the adverse inferences drawn against Epstein that he was liable for the claims brought by Brad Edwards and that he had no basis for the pursuit of his efforts to intimidate and extort Edwards and his clients in the pursuit of those claims. The Litigation Privilege Does Not Bar the...
NOT A CERTIFIED COPY
Case No.: 502009CA040800XXXXMBAG
Edwards' Opposition to Epstein's Motion for Summary Judgment
Page 8 of 15
on rehearing and, thus, is not a final opinion. As a result, it is not binding, nor persuasive. Moreover,
Wolfe undercuts the long-standing recognition of the viability of a claim for malicious prosecution in its
own District and other Florida state and federal courts. See, SCI Funeral Svs. of Fla., Inc. v. Henry, 839
So. 2d 702, n.4 (Fla. 3d DCA 2002) ("As the Levin court cited Wright v. Yw·ko, 446 So. 2d 1162, 1165
(Fla. 5th DCA, 1984), with approval, presumably the cause of action for malicious prosecution continues
to exist and would not be barred by the litigation privilege."); Boca Investors Group, Inc. v. Potash, 835
So. 2d 273, 275 (Fla. 3d DCA 2002) (Cope, J., concurring) (litigation privilege would not be a bar to a
malicious prosecution action); North Star Capital Acquisitions, LLC v. Krig, 611 Fed. Supp. 2d 1324
(M.D. Fla. 2009) ("However, not every event bearing any relation to litigation is protected by the
privileged because, ... "if the litigation privilege applied to all actions preliminary to or during judicial
proceedings, an abuse of process claim would never exist, nor would a claim for malicious prosecution");
Cruz v. Ange/ides, 574 So. 2d 278 (Fla. 3d DCA 1991)("the law is well settled that a witness in a judicial
proceeding, ... is absolutely immune from any civil liability, save perhaps malicious prosecution, for
testimony or other sworn statements which he or she gives in the course of the subject proceeding.");
Johnson v. Libow, 2012 WL 4068409 (Fla. 15th Jud. Cir. March 1, 2012)(the purpose of the litigation
privilege does not preclude the tort of malicious prosecution).
In Wright v. Yurko supra, the Fifth District Court of Appeal rejected the application of the
litigation privilege to a malicious prosecution action brought by a physician against his patients and an
expert after he successful...
NOT A CERTIFIED COPY Case No.: 502009CA040800XXXXMBAG Edwards' Opposition to Epstein's Motion for Summary Judgment Page 9 of 15 which might otherwise apply to a defamation claim for statements made during the course of a judicial proceeding did not bar a malicious prosecution claim. In light of the implicit recognition by the Supreme Court in Levin that a claim of malicious prosecution is not barred by the litigation privilege - an implicit recognition acknowledged by the Third District itself - Epstein's reliance on Wolfe is misplaced. Wolfe is also factually distinguishable from Edwards' claims against Epstein. Wolfe involved a malicious prosecution action against attorneys. Separate policy considerations might serve to impose additional limitations on the assertion of malicious prosecution claims against attorneys - against whom alternative remedies exist such as bar disciplinary proceedings. See Taylor v. McNichols, 243 P.2d 642 (Idaho 2010). Moreover, in light of the decisions in W,·ight v. Yurko, supra and Olson v. Johnson, supra, the weight of authority supports the proposition that the litigation privilege would not apply to malicious prosecution claims. Both the Third and Fourth Districts have applied the litigation privilege to abuse of process claims. However, Wolfe itself, and the decisions of the Third and Fourth Districts cited in Wolfe, involved the litigation privilege as applied to claims of abuse of process by attorneys. None of the cases involved the extraordinary actions of an individual party like Epstein who carried out a course of action against Plaintiffs counsel with a singular purpose unrelated to any legitimate judicial goal. Under the compelling facts of this case, where the actions of Epstein are coupled with the elements of malice and absence of probable cause arising from the unfounded filing of the claims against Edwards, the litigation privilege should not have any applicability to the abuse of process claim ass...
NOT A CERTIFIED COPY Case No.: 502009CA040800XXXXMBAG Edwards' Opposition to Epstein's Motion for Summary Judgment Page 10 of 15 Flea Mkt., 36 So. 3d 909, 917 (Fla. 4th DCA 2010)(citation omitted). The case law is clear that on an abuse of process claim a "plaintiff must prove that the process was used for an immediate purpose other than that for which it was designed." Id. (citation omitted). Where the actions taken by a party in a particular lawsuit are designed to coerce another into taking some collateral action not properly involved in the proceeding a claim of abuse of process is stated. Miami Herald Publishing Company v. Ferre, 8636 F. Supp. 970 (S.D. Fla. 1985). In a case for abuse of process, the question of whether the plaintiffs case satisfies the requisite elements is largely a question for a jury. See Patrick John McGinley, 21 Fla. Prac., Elements of an Action § 50:1 (2013-2014 ed.)(citing Gatto v. Publix Supermarket, Inc., 387 So. 2d 377 (Fla. 3d DCA 1980)). The usual case of abuse of process involves some form of extortion. Scozari v. Barone, 546 So. 2d 750, 751(Fla. 3d DCA 1989) (citing Rothmann v. Harrington, 458 So. 2d 1163, 1169 (Fla. 3d DCA 1984)). That is exactly what has transpired here. Epstein employed the extraordinary financial resources at his disposal to intimidate his molestation victims and Edwards into abandoning their legitimate claims or resolving those claims for substantially less than their just and reasonable value. Consequently, since Epstein's sole purpose and ulterior motive for filing the complaint without probable cause was in an effort to extort, to wit: to force his molestation victims and Edwards to settle for minimal amounts, that filing and everything subsequently done to pursue the claims constitutes an abuse of process. See Exhs. A at 18- 27, C at 4-7. Because Edwards has conclusively demonstrated that Epstein's actions in pursuing his claims were designed to coerce Edwards (and his client) to take...
NOT A CERTIFIED COPY Case No.: 502009CA040800XXXXMBAG Edwards' Opposition to Epstein's Motion for Summary Judgment Page 11 oflS claim for abuse of process have been satisfied. This case, then, falls within the parameters of the Third District's Decision in Scozari v. Barone, supra in which the court reversed the entry of summary judgment for the defendant on claims of malicious prosecution and abuse of process. With respect to the abuse of process claim, the court stated that "if there was no reasonable basis in law and fact to bring the action to impress a lien on property, and this was done without any reasonable justification under law and to force or compel the appellant to resolve some custody dispute, induce the appellant to pay money, or tie up the appellant's property, then there has been an abuse of process." Id at 752. There are Disputed Issues of Fact Precluding Summary Judgment on the Claim of Malicious Prosecution Here, Epstein's voluntary dismissal of his abuse of process claims against Edwards amounted to a bona fide tennination of the proceedings. He knew his allegations were unsupported by evidence (See discussion above at pages 3-6). Knowing he lacked any verifiable evidence against Edwards, on the eve of the summary judgment hearing, Epstein effectively conceded that fact by voluntarily dismissing his claims. Hence, it is evident that Epstein took volunta.ry dismissal of his claims because he knew he did not have probable cause or an evidentiary basis to support the allegations. See Cohen v. Corwin, 980 So. 2d 1153 at 1156 (citing Union Oil of California, Amsco Division v. Watson, 468 So. 2d 349 at 354 (stating that "where a dismissal is taken because of insufficiency of the evidence, the requirement of a favorable termination is met")). Accordingly, the manner of termination reflects on the merits of the case and there was a bona fide tennination of Epstein's civil proceeding against Edwards (See Judge Crow's Order of March ...
NOT A CERTIFIED COPY Case No.: 502009CA040800XXXXMBAG Edwards' Opposition to Epstein's Motion for Summary Judgment Page 12 of15 reliance on public filings, including the Scherer Complaint against Rothstein is unavailing. As discussed above, the evidence warrants the finding that Epstein knew that Edwards was legitimately pursuing the claims on behalf of his clients which included the effort to secure testimony from Epstein's close confidants. Therefore, Epstein cannot rely upon the referenced public documents to support his claims against Edwards given that he knows that information to be untrue and he refuses to answer questions about the veracity of the information. See Exh. G at pgs. 53:6-24; 78:16-24; 87:20-88:14. Consequently, Epstein had no good faith basis to rely on such infonnation. Epstein's Assertion of his Fifth Amendment Privilege Gives Rise to Adverse Inferences Pertinent to His Motion for Summary Judgment and Precludes His Reliance on Purported Undisputed Facts As discussed above, Epstein's multiple invocations of his Fifth Amendment Privilege results in adverse inferences which directly impact the issues advanced in his Motion for Summary Judgment. "It is well settled that the Fifth Amendment does not forbid adverse inferences against parties to civil actions when they refuse to testify in response to probative evidence offered against them." Baxter v. Palmigiano, 425 U.S. 308, 318 (1976); Accord, Vasquez v. State, 777 So. 2d 1200, 1203 (Fla. at 2001). The reason for this rule "is both logical and utilitarian. A party may not trample upon the rights of others and then escape the consequences by invoking a constitutional privilege - at least not in a civil setting." Fraser v. Security and INV. Corp, 615 So. 2d. 841, 842 (Fla. 4th DCA 1993). The adverse inferences drawn from Epstein's assertion of the Fifth Amendment undercut his claim of justifiable reliance based upon the purported undisputed material facts to support his Motio...
NOT A CERTIFIED COPY Case No.: 502009CA040800:XXXXMBAG Edwards' Opposition to Epstein's Motion for Summary Judgment Page 13 ofl5 arguments advanced in support of his Motion for Summary Judgment. Under the well-established "sword and shield" doctrine, Epstein could not seek damages from Edwards while at the same time asserting a Fifth Amendment privilege to block relevant discovery. See Exhs. Bat 14-21, Cat 18-25, G at 53:6-24; 78:16-24; 87:20-88:14. The same policies which underlie the sword and shield doctrine as applied to the recovery of affirmative relief should also apply to attempts to advance positions with respect to a Motion for Summary Judgment which would have the effect of securing relief against certain claims. "[T}he law is well settled that a plaintiff is not entitled to both his silence and his lawsuit." Boys & Girls Clubs of Marion County, Inc. v. JA., 22 So. 3d 855, 856 (Fla. 5th DCA 2009)(Griffin, J., concurring specially). Thus, "a person may not seek affirmative relief in a civil action and then invoke the fifth amendment to avoid giving discovery, using the fifth amendment as both a 'sword and a shield."' DePalma v. DePalma, 538 So. 2d 1290, 1290 (Fla. 4th DCA 1989)(quoting Delisi v. Bankers Insurance Co., 436 So. 2d 1099 (Fla. 4th DCA 1983)). Put another way, "[a} civil litigant's fifth amendment right to avoid self-incrimination may be used as a shield but not a sword. This means that a plaintiff seeking affirmative relief in a civil action may not invoke the fifth amendment and refuse to comply with the defendant's discovery requests, thereby thwarting the defendant's defenses." Rollins Burdick Hunter of New York, Inc. v. Euroclassic Limited, Inc., 502 So. 2d 959 (Fla. 3d DCA 1983) .. For the same reasons, Epstein should be precluded from advancing arguments based on purported statements of undisputed fact which cannot be effectively challenged in light of his assertion of the Fifth Amendment. Epstein has done precisely...
NOT A CERTIFIED COPY Case No.: 502009CA040800XXXXMBAG Edwards' Opposition to Epstein's Motion for Summary Judgment Page 14 of 15 I HEREBY CERTIFY that a true and correct copy of the foregoing was sent via E-Serve to all . .,;. Counsel on the attached list, this / / day ofc::;J f?-vlv, , 2014. WILLIAMB.KING / Florida Bar No.: 181773 Attorney E-Mail: wbk@searcylaw.com and kar@searcylaw.com Primary E-Mail: eservice@searcylaw.com Secondary E-Mail: _ScarolaTeam@searcylaw.com Searcy Denney Scarola Barnhart & Shipley, P.A. 2139 Palm Beach Lakes Boulevard West Palm Beach, Florida 33409 Phone: (561) 686-6300 Fax: (561) 383-9456 Attorney for Bradley J. Edwards
NOT A CERTIFIED COPY Case No.: 502009CA040800:XXXXMBAG Edwards' Opposition to Epstein's Motion for Summary Judgment Page 15 ofl5 COUNSEL LIST William Chester Brewer, Esquire wcblaw@aol.com; wcbcg@aol.com 250 S Australian Avenue, Suite 1400 West Palm Beach, FL 33401 Phone: (561)-655-4777 Fax: (561)-835-8691 Attomeys for Jeffrey Epstein Jack A. Goldberger, Esquire jgoldberger@agwpa.com; smahoney@agwpa.com Atterbury, Goldberger & Weiss, P.A. 250 Australian Avenue South, Suite 1400 West Palm Beach, FL 33401 Phone: (561)-659-8300 Fax: (561)-835-8691 Attomeys for Jeffrey Epstein Bradley J. Edwards, Esquire staff.efile@pathtojustice.com Fanner, Jaffe, Weissing, Edwards, Fistos & Lelmnan,FL 425 North Andrews A venue, Suite 2 Fort Lauderdale, FL 33301 Phone: (954)-524-2820 Fax: (954)-524-2822 Attorneys for Jeffrey Epstein Fred Haddad, Esquire Dee@FredHaddadLaw .corn; haddadfm@aol.com; fred@fredhaddadlaw.com Fred Haddad, P.A. One Financial Plaza, Suite 2612 Fort Lauderdale, FL 33394 Phone: (954)-467-6767 Fax: (954)-467-3599 Attorneys for Jeffrey Epstein Marc S. Nurik, Esquire marc@nuriklaw.com Law Offices of Marc S. Nurik One E Broward Blvd., Suite 700 Fort Lauderdale, FL 33301 Phone: (954)-745-5849 Fax: (954)-745-3556 Attomeys for Scott Rothstein Tonja Haddad Coleman, Esquire tonja@tonjahaddad.com; Debbie@Tonjahaddad.com; efiling@tonjahaddad.com Tonja Haddad, P.A. 315 SE 7th Street, Suite 301 Fort Lauderdale, FL 3330 l Phone: (954)-467-1223 Fax: (954)-337-3716 Attorneys for Jeffrey Epstein
NOT A CERTIFIED COPY
JEFFREY EPSTEIN,
Plaintiff,
vs.
SCOTT ROTHSTEIN, individually, and
BRADLEY J. EDWARDS, individually,
Defendants,
I
--------------~
IN THE CIRCUIT COURT OF THE 15TH
JUDICIAL CIRCUIT IN AND FOR PALM
BEACH COUNTY, FLORIDA
Case No.:50 2009 CA 040800XXXXMBAG
STATEM:ENT OF UNDISPUTED FACTS
Defendant Bradley J. Edwards, Esq., offers the following specific facts as the undisputed
material facts in this case. Each of the following facts is numbered separately and individually to
facilitate Epstein's required compliance with Fla. R. Civ. P. 1.510(c) ("The adverse party shall
identify ... any _summary judgment evidence on which the adverse party relies.").
All
referenced exhibits and attachments have previously been filed with the Court and provided to
Epstein.
Sexual Abuse of Children By Epstein
1.
Defendant Epstein has a sexual preference for young children. Deposition of
Jeffrey Epstein, Mar. 17, 2010, at 110 (hereinafter "Epstein Depa.") (Deposition Attachment
#1).1
1 When questioned about this subject at his deposition, Epstein invoked his Fifth Amendment right to
remain silent rather than make an incriminating admission. Accordingly, Edwards is entitled to the
adverse inference against Epstein that, had Epstein answered, the answer would have been unfavorable to
him. "[I]t is well-settled that the Fifth Amendment does not o "d adverse inferences against parties to
EXHIBIT
A
NOT A CERTIFIED COPY
2.
Epstein repeatedly sexually assaulted more than forty (40) young girls on
numerous occasions between 2002 and 2005 in his mansion in West Palm Beach, Florida. These
sexual assaults incl:uded vaginal penetration. Epstein abused many of the girls dozens if not
hundreds of times. Epstein Depo. at 109 ("Q: How many times have you engaged in oral sex
with females under the age of 18?" A: [Invocation of the Fifth Amendment]); Deposition of Jane
Doe, September 24, 2009 and continued March 11, 2010, at 527 (minor girl sexually abused at
least 17 times by Epstein) (hereinafter "Jane Doe Depo") (Deposition Attachment #2); id. 564-67
(vaginal penetration by Epstein with his finger), 568 (vaginal penetration by Epstein with a
massager); Deposition of L.M., September 24, 2009, at 73 (hereinafter "L.M. Depo")
(Deposition Attachment #3) ( describing the manner in which Epstein abused her beginning when
LM was 13 years old, touching her vagina with his fingers and vibrator) at 74, line 12-13 (she
was personally molested by Epstein more than 50 times), at 164, line 19-23 and 141, line 12-13
and 605, line 3-6 (describing that in addition to being personally molested by Epstein she was
paid $200 per underage girl she brought Epstein and she brought him more than seventy (70)
underage girls - she told him that she did not want to bring him any more girls and he insisted
that she continue to bring him underage girls); Deposition of E.W., May 6, 2010 (hereinafter
"E.W. Depo") (Deposition Attachment #4) at 115-116, 131 and 255 (describing Epstein's abuse
of her beginning at age 14 when he paid her for touching her vagina, inserting his fingers and
civil actions when they refuse to testify in response to probative evidence offered against them." Baxter
v. Palmigiano, 425 U.S. 308, 318 (1976); accord Vasquez v. State, 777 So.2d 1200, 1203 (Fla. App.
2001). The reason for this rule "is both logical and utilitarian. A party may not trample upon the...
NOT A CERTIFIED COPY using a vibrator and he also paid her $200 for each other underage female E.W. brought him to molest. She brought him between 20 and 30 underage females); Deposition of Jane Doe #4, date (hereinafter "Jane Doe #4 Depo") (Deposition Attachment #5) at 32-34, and 136 (she describes first being taken to Epstein at 15 years old, "Being fingered by him, having him use a vibrator on [me], grabbing my nipples, smelling my butt, jerking off in front ofme, licking my clit, several times."). 3. At all relevant times Edwards has had a good faith basis to conclude and did conclude2 that Epstein was able to access a large number of underage girls through a pyramid abuse scheme in which he paid underage victims $200-$300 cash for each other underage victim that she brought to him. See Palm Beach Police Incident Report at 87 (hereinafter «Incident Report") (Exhibit "A").3 The Palm Beach Police Incident Report details Epstein's scheme for molesting underage females. Among other things, the Incident Report outlines some of the experiences of other Epstein victims. When S.G, a 14 year old minor at the time, was brought to Epstein's home, she was taken upstairs by a woman she believed to be Epstein's assistant. The woinan started to fix up the room, putting covers on the massage table and bringing lotions out. The "assistant" then left the room and told S.G. that Epstein would be up in a second. Epstein walked over to S.G. and told her to take her clothes off in a stem voice. S.G. states in the report she did not know what to do, as she was the only one there. S.G. took off her shirt, leaving her bra on. Epstein, then in a towel told her to take off everything. S.G. removed her pants leaving 2 In support of all assertions concerning the actions Edwards took, what Edwards learned in the course of his representation of his clients, Edwards's good faith beliefs and the foundation for those beliefs, see Edwards Affidavit and specifically paragraph...
NOT A CERTIFIED COPY on her thong panties. Epstein then instructed S.G to give him a massage. As S.G gave Epstein a massage, Epstein turned around and masturbated. S.G. was so disgusted, she did not say anything; Epstein told her she "had a really hot body." Id. at 14. In the report, S.G. admitted seeing Jeffrey Epstein's penis and stated she thought Epstein was on steroids because be was a "really built guy and his wee wee was very tiny." Id. at 15. 4. The exact number of minor girls who Epstein assaulted is known only to Epstein. However, Edwards had a good faith basis to believe and did in fact believe that Epstein's victims were substantially more than forty ( 40) in number. In addition to the deposition excerpts from two of his many victims above about the number of underage girls brought to Epstein and the Palm Beach incident report, there is overwhelming proof that the number of underage girls molested by Epstein through his scheme was in the hundreds. See Complaint, Jane Doe 102 v. Epstein, (hereinafter Jane Doe 102 complaint) (Exhibit "B''); see also Deposition of Jeffrey Epstein, April 14, 2010, at 442, 443, and 444 (Epstein invoking the 5th on questions about his daily abuse and molestation of children) (Deposition Attachment #6). 5. At all relevant times Edwards has had a good faith basis to believe and did in fact believe that Epstein and his attorneys knew of the seriousness of the criminal investigation against him and corresponded constantly with the United States Attorney's Office in an attempt to avoid the filing of numerous federal felony offenses, which effort was successful. See Correspondence from U.S. Attorney's Office to Epstein (hereinafter "U.S. Attorney's Correspondence") (Composite Exhibit "C) (provided in discovery during the Jane Doe v. Epstein case). 4
NOT A CERTIFIED COPY 6. At all relevant times Edwards has had a good faith basis to believe and did in fact believe that, more specifically, Epstein's attorneys lmew of Epstein's scheme to recruit minors for sex and also lmew that these minors had civil actions that they could bring against him. In fact, there was much co:rnmunication between Epstein's attorneys and the United States Prosecutors in a joint attempt to minimize Epstein's civil exposure. For example, on October 3, 2007, Assistant U.S. Attorney Marie Villafana sent an email (attached hereto as Exhibit "D") to Jay Lefkowitz, counsel for Epstein, with attached proposed letter to special master regarding handling numerous expected civil claims against Epstein. The letter reads in pertinent part, "The undersigned, as counsel for the United States of America and Jeffrey Epstein, jointly write to you to provide information relevant to your service as a Special Master in the selection of an attorney to represent several young women who may have civil damages cli;iims against Mr. Epstein. The U.S. Attorney's Office and the Federal Bureau of Investigation (jointly referred to as the "United States") have conducted an investigation of Jeffrey Epstein regarding his solicitation of minor females in Palm Beach County to engage in prostitution. Mr. Epstein, through his assistants, would recruit underage females to travel to his home in Palm Beach to engage in lewd conduct in exchange for money. Based upon the investigation, the United States has identified forty ( 40) young women who can be characterized as victims pursuant to 18 USC 2255. Some of those women went to Mr. Epstein's home only once, some went there as much as 100 times or more. Some of the women's conduct was limited to performing a topless or nude massage while Mr. Epstein-masturbated himself. For other women, the conduct escalated to full sexual intercourse. As part of the resolution of the case, Epstein has agreed that he wo...
NOT A CERTIFIED COPY
minor females that the United States Attorney's Office recognized as a victim. L.M. 's sworn
deposition testimony and the adverse inference drawn from Epstein's refusal to testify confirm
that Epstein began sexually assaulting L.M. when she was 13 years old and continued to molest
her on more than fifty (50) occasions over three (3) years. Epstein Depa., Attachment #1, at 17
("Q: Did you ... ever engage in any sexual conduct with L.M.?" A: [Invocation of the Fifth
Amendment].); see also Epstein Depa., April 14, 2010, Attachment #6, at 456 ("Q: LM was an
underage female that you first abused when she was 13 years old; is that correct?" A: [Invocation
of Fifth Amendment].) .
8.
Epstein was also given ample opportunity to explain why he engaged in sexual
activity with L.M. beginning when L.M. was 13 years old and why he has molested minors on an
everyday basis for years, and he invoked his 5th amendment right rather than provide
explanation.
See Epstein Deposition, February 17, 2010, at 11-12, 30-31 (Deposition
Att~chment # 7).
9.
Epstein also sexually assaulted E.W., beginning when she was 14 years old and
did so on numerous occasions. See E.W. Depa., Attaclnnent #4 at 215-216.
10.
Another of the minor girls Epstein sexually assaulted was Jane Doe; the abuse
began when Jane Doe was 14 years old. Rather than incriminate himself, Epstein invoked the
5th amendment to questions about him digitally penetrating Doe's vagina, using vibrators on her
vagina and masturbating and ejaculating in her presence.
Epstein Depa., April 14, 2010,
Attachment #6, at 420, 464, 468.
11.
When Edwards's clients L.M., E.W., and Jane Doe were 13 or 14 years old, each
was brought to Epstein's home multiple times by another underage victim. Epstein engaged in
6
NOT A CERTIFIED COPY one or more of the following acts with each of the then-minor girls at his mansion: receiving a topless or completely nude massage; using a vibrator on her vagina; masturbating in her presence; ejaculating in her presence; touching her breast or buttocks or vagina or the clothes covering her sexual organs; and demanding that she bring him other underage girls. Epstein and his co-conspirators used the telephone to contact these girls to entice or induce them into going to his mansion for sexual abuse. Epstein also made E.W. perform oral sex on him and was to perform sex acts on Nadia Marcinkova (Epstein's live-in sex slave) in Epstein's presence. See Plaintiff Jane Doe's Notice Regarding Evidence of Similar Acts of Sexual Assault, filed in Jane Doe v. Epstein, No. 08-cv-80893 (S.D. Fla. 2010), as DE 197, (hereinafter "Rule 413 Notice") (Exhibit "E"); Jane Doe Depa., Attachment #2, at 379-380; L.M. Depa., Attachment #3, at 416; E.W. Depa, Attachment #4, at 205. 12. At all relevant times Edwards has had a good faith basis to believe and did in fact believe that yet another of the minor girls Epstein sexually assaulted was C.L. When she was approximately 15 years old, C.L. was brought to Epstein's home by another underage victim. While a minor, she was at Epstein's home on multiple occasions. Epstein engaged in one or more of the following acts with her while she was a minor at his house - topless or completely nude massage on Epstein; Epstein used a vibrator on her vagina; Epstein masturbated in her presence; Epstein ejaculated in her presence; Epstein also demanded that she bring him other underage girls. See Rule 413 Notice, Exhibit "E"; Incident Report, Exhibit "A." 13. At all relevant times Edwards has had a good faith basis to believe and did in fact believe that yet another girl Epstein sexually assault was A.H. When she was approximately 16 years old, she was brought to Epstein's home by another underage victim. While ...
NOT A CERTIFIED COPY was at Epstein's home on multiple occasions. Epstein engaged in one or more of the following acts with her while she was a minor at his house - topless or completely nude massage on Epstein; Epstein used a vibrator on her vagina; Epstein masturbated in her presence; Epstein ejaculated in her presence; Epstein touched her breast or buttock or vagina or the clothes covering her sexual organs; was made to perform sex acts on Epstein; made to perform sex acts on Nadia Marcinkova in Epstein's presence. Epstein also forcibly raped this underage victim, as he held her head down against her will and pumped his penis inside her while she was screaming "No". See Rule 413 Notice, Exhibit "E"; Incident Repmi, Exhibit "A", at 41 (specifically discussing the rape): "[A.H.] remembered that she climaxed and was removing herself from the massage table. [A.H.] asked for a sheet of paper and drew the massage table in the master bathroom and where Epstein, Marcinkova and she were. Epstein turned [A.H.] on to her stomach on the massage bed and inserted his penis into her vagina. [A.H.] stated Epstein began to pump, his penis in her vagina. [A.H.] became upset over this. She said her head was being held against the bed forcibly, as he continued to pump inside her. She screamed no, and Epstein stopped .... " "[A.H.] advised there were times that she was so sore when she left Epstein's house. [A.H.] advised she was ripped, torn, in her vagina area. [A.H.] advised she had difficulty walking to the car after leaving the house because she was so sore." 14. Without detailing each fact known about Epstein's abuse of the many underage girls, Edwards has had a good faith basis to believe and did in fact believe at all relevant times that Epstein also abused other victims in ways closely similar to those described in the preceding paragraphs. Epstein's additional victims include the following (among many other) young girls: S.G.; A.D.; V.A.; N.R.; J.S.;...
NOT A CERTIFIED COPY 15. One of Mr. Epstein's household employees, Mr. Alfredo Rodriguez, saw numerous underage girls coming into Epstein's mansion for purported "massages." See Rodriguez Depa. at 242-44 (Deposition Attachment #8). Rodriguez was aware that "sex toys" and vibrators were found in Epstein's bedroom after the purported massages. Id. at 223-28. Rodriguez thought what Epstein was doing was wrong, given the extreme youth of the girls he saw. Id. at 230-31.. 16. Alfredo Rodriguez took a journal from Epstein's computer that reflected many of the names of underage females Epstein abused across the country and the world, including locations such as Michigan, California, West Palm Beach, New York, New Mexico, and Paris, France. See Journal (hereinafter "The Journal" or "Holy Grail") (Exhibit "F") (identifying, among other Epstein acquaintances, females that Rodriguez believes were underage under the heading labeled "Massages"). 17. Rodriguez was later charged in a criminal complaint with obstruction of justice in connection with trying to obtain $50,000 from civil attorneys pursuing civil sexual assault cases against Epstein as payment for producing the book to the attorneys. See Criminal Complaint at 2, U.S. v. Rodriguez, No. 9:10-CR-80015-KAM (S.D. Fla. 2010) (Exhibit "G"). Rodriguez stated he needed money because the journal was his "property" and that he was afraid that Jeffrey Epstein would make him "disappear" unless he had an "insurance policy" (i.e., the journal). Id. at 3. Because of the importance of the information in the journal to the civil cases, Mr. Rodriguez called it "The Holy Grail." 18. In the "Holy Grail" or "The Journal," among the many names listed (along with the abused girls) are some of the people that Epstein alleges in his Complaint had "no connection 9
NOT A CERTIFIED COPY whatsoever" with the litigation in this case. See, e.g., Journal, Exhibit F, at 85 (Donald Trump); at 9 (Bill Clinton phone numbers listed under "Doug Bands"). Federal Investigation and Plea Agreement With Epstein 19. In approximately 2005, the FBI and the U.S. Attorney's Office in the Southern District of Florida learned of Epstein's repeated sexual abuse of minor girls. They began a criminal investigation into federal offenses related to his crimes. See U.S. Attorney's Correspondence, Exhibit "C". 20. At all relevant times Edwards has had a good faith basis to believe and did in fact believe that to avoid the Government learning about his abuse of minor girls, Epstein threatened his employees and demanded that they not cooperate with the government. Epstein's aggressive witness tampering was so severe that the United States Attorney's Office prepared negotiated plea agreements containing these charges. For example, in a September 18, 2007, email from AUSA Villafafia to Lefkowitz (attached hereto as Exhibit "H"), she attached the proposed plea agreement describing Epstein's witness tampering as follows: "UNITED STATES vs. JEFFREY EPSTEIN PLEA PROFFER" On August 21, 2007, FBI Special Agents E. Nesbitt Kuyrkendall and Jason Richards traveled to the home of Leslie Groff to serve her with a federal grand jury subpoena with an investigation pending in the Southern District of Florida. Ms. Groff works as the personal assistant of the defendant. Ms. Groff began speaking with the agents and then excused herself to go upstairs to check on her sleeping child. While upstairs, Ms. Groff telephoned the defendant, Jeffrey Epstein, and informed him that the FBI agents were at her home. Mr. Epstein instructed Ms. Groff not to speak with the agents and reprimanded her for allowing them into her home. Mr. Epstein applied pressure to keep Ms. Groff from complying with the grand jury subpoenas that the agents had served upon her. In pa...
NOT A CERTIFIED COPY appearance before the grand jury in the Southern District of Florida. This conversation occurred when Mr. Epstein was aboard his privately owned civilian aircraft in Miami in the Southern District of Florida. His pilot had filed a flight plan showing the parties were about to return to Teterboro, NJ. After the conversation with Ms. Groff, Mr. Epstein became concerned that the FBI would try to serve his traveling companion, Nadia Marcinkova, with a similar grand jury subpoena. In fact, the agents were preparing to serve Ms. Marcinkova with a target letter when the flight landed in Teterboro. Mr. Epstein then redirected his airplane, making the pilot file a new flight plan to travel to the US Virgin Islands instead of the New York City area, thereby keeping the Special Agents from serving the target letter on Nadia Marcinkova., During the flight, the defendant verbally harassed Ms. Marcinkova, harassing and pressuring her not to cooperate with the grand jury's investigation, thereby hindering and dissuading her from reporting the commission of a violation of federal law to a law enforcement officer, namely, Special Agents of the FBI. Epstein also threatened and harassed Sarah Kellen against cooperating against hini as well. 21. Edwards learned that the Palm Beach police department investigation ultimately led to the execution of a search warrant at Epstein's mansion in October 2005. See Police Incident Report, Exhibit "A". 22. Edwards learned that at around the same time, the f alm Beach Police Department also began investigating Epstein's sexual abuse of minor girls. They also collected evidence of Epstein's involvement with minor girls and his obsession with training sex slaves, including pulling information'from Epstein's trash. Their investigation showed that Epstein ordered from Amazon.com on about September 4, 2005, such books as: SMlOl: A Realistic Introduction, by Jay Wiseman; SlaveCraft: Roadmaps for Erotic Ser...
NOT A CERTIFIED COPY Edwards with some insight into how far-reaching Epstein's power was and how addicted Epstein was to sex with children. See Incident Report, Exhibit "A". 24. The Palm Beach Police Department also collected Epstein's message pads, which provided other nariies of people that also knew Epstein's scheme to molest children. See Message Pads (Exhibit "J") (note: the names of underage females have been redacted to protect the anonymity of the underage sex abuse victims). Those message pads show clear indication that Epstein's staff was frequently working to schedule multiple young girls between the ages of 12 and 16 years old literally every day, often two or three times per day. Id. 25. In light of all of the information of numerous crimes committed by Epstein, Edwards learned that the U.S. Attorney's Office began preparing the filing of federal criminal charges against Epstein. For example, in addition to the witness tampering and money laundering charges the U.S. Attorney's Office prepared an 82-page prosecution memo and a 53- page indictment of Epstein related to his sexual abuse of children. On September 19, 2007, at 12:l4 PM, AUSA Villafana wrote to Epstein's counsel, Jay Lefkowitz, "Jay - I hate to have to be firm about this, but we need to wrap this up by Monday. I will not miss my indictment date when this has dragged on for several weeks already and then, if things fall apart, be left in a less advantageous position than before the negotiations. I have had an 82-page pros memo and 53- page indictment sitting on the shelf since May to engage in these negotiations. There has to be an ending date, and that date is Monday." These and other communications are within the correspondence attached as Composite Exhibit "C." 26. Edwards learned that rather than face the filing of federal felony criminal charges, Epstein (through his attorneys) engaged in plea bargain discussions. As a result of those 12
NOT A CERTIFIED COPY discussions, on September 24, 2007, Epstein signed an agreement with the U.S. Attorney's Office for the Southern District of Florida. Under the agreement, Epstein agreed to plead guilty to an indictment pending against him in the 15th Judicial Circuit in and for Palm Beach County charging him with solicitation of prostitution and procurement of minors for prostitution. Epstein also agreed that he would receive a thirty month sentence, including 18 months of jail time and 12 months of community control. In exchange, the U.S. Attorney's Office agreed not to pursue any federal charges against Epstein. See Non-Prosecution Agreement (Exhibit "K"). 27. Part of the Non-Prosecution Agreement that Epstein negotiated was a provision in which the federal government agreed not to prosecute Epstein's co-conspirators. The co- conspirators procured minor females to be molested by Epstein. One of the co-conspirators - Nadia Marcink:ova -even participated in the sex acts with minors (including E.W.) and Epstein. See Incident Report, Exhibit "A", at 40-42, 49-51; Deposition of Nadia Marcink:ova, April 13, 2010, (hereinafter "Marcink:ova Depo.") at 11 (Deposition attachment #9). 28. Under the Non-Prosecution Agreement, Epstein was to use his "best efforts" to enter into his guilty pleas by October 26, 2007. However, Edwards learned that Epstein violated his agreement with the U.S. Attorney's Office to do so and delayed entry of his plea. See Letter from U.S. Attorney R. Alexander Acosta to Lilly Ann Sanchez, Dec. 19, 2007 (Exhibit "L"). 29. On January 10, 2008 and again on May 30, 2008 E.W. and L.M. received letters from the FBI advising them that "[t]his case is currently under investigation. This can be a lengthy process and we request your continued patience while we conduct a thorough investigation." Letters attached at Composite Exhibit "M". This document is evidence that the FBI did not notify E.W. and L.M. that a plea agreement had al...
NOT A CERTIFIED COPY block federal prosecution of Epstein. Nor did the FBI notify E.W. and L.M. of any of the parts of the plea agreement. Nor did the FBI or other federal authorities confer with E.W. and L.M. about the plea. See id. 30. In 2008, Edwards believed in good faith that criminal prosecution of Epstein was extremely important to his clients E.W. and L.M. and that they desired to be consulted by the FBI and/ or other representatives of the federal government about the prosecution of Epstein. The letters that they had received around January 10, 2008, suggested that a criminal invesJigation of Epstein was on-going and that they would be contacted before the federal government reached any final resolution of that investigation. See id. Edwards Agrees to Serve as Legal Counsel for Three Victims of Epstein's Sexual Assaults 31. In about April 2008, Bradley J. Edwards, Esq., was a licensed attorney in Florida, practicing as a sole practitioner. As a former prosecutor, he was well versed in civil cases that involved criminal acts, including sexual assaults. Three of the many girls Epstein had abused - L.M., E.W., and Jane Doe - all requested that Edwards represent them civilly and secure appropriate monetary damages against Epstein for repeated acts of sexual abuse while they were minor girls. Two of the girls (L.M. and E.W.) also requested that Edwards represent them in connection with a concern that the Federal Bureau of Investigation (FBI) and U.S. Attorney's Office might be arranging a plea bargain for the criminal offenses committed by Epstein without providing them the _legal rights to which they were entitled (including the right to be notified of plea discussions and the right to confer with prosecutors about any plea arrangement). See 14
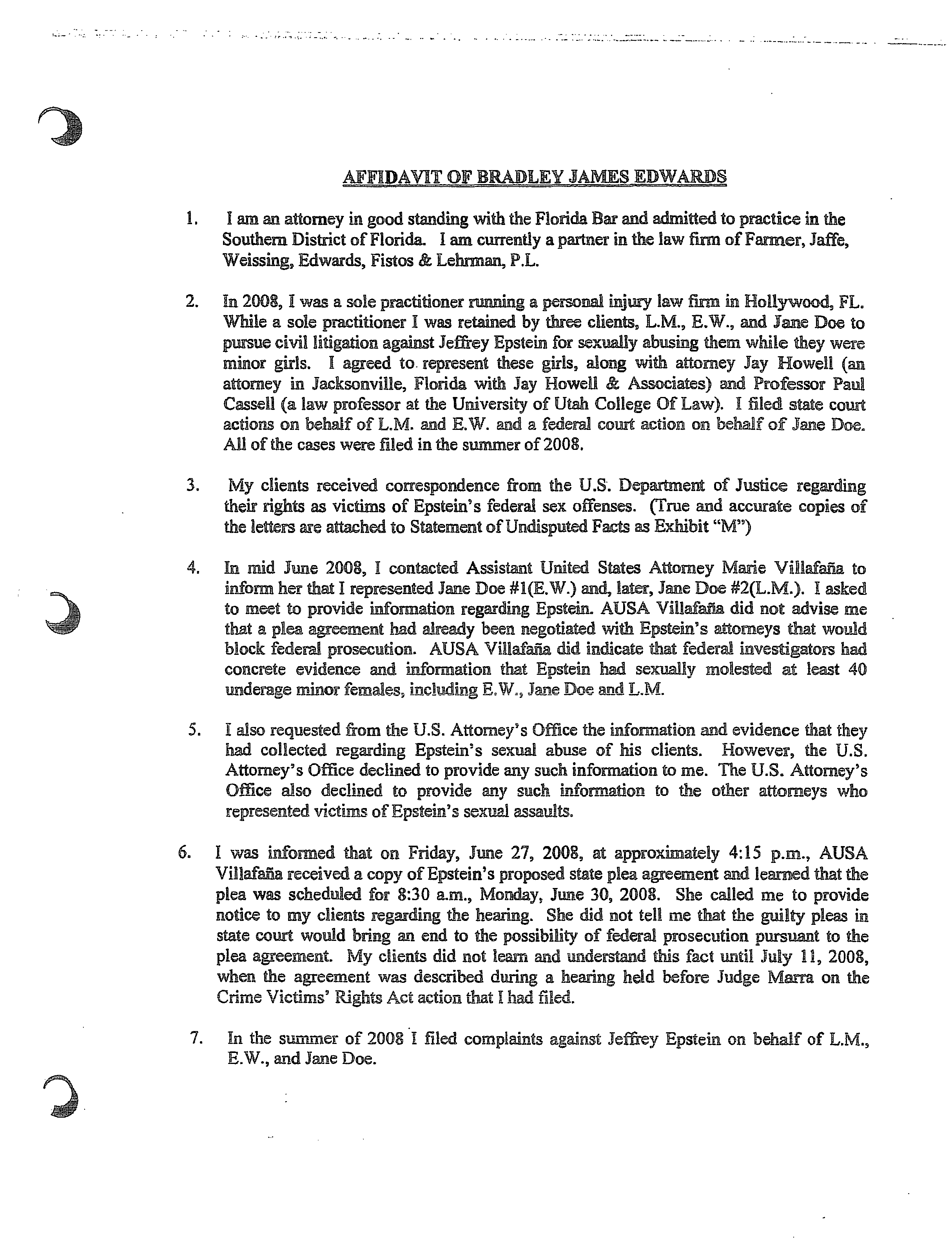
NOT A CERTIFIED COPY Affidavit of Bradley J. Edwards, Esq. at ifl - 2, if4 (hereinafter "Edwards Affidavit") (Exhibit "N"). 32. On June 13, 2008, attorney Edwards agreed to represent E.W.; on July 2, 2008, attorney Edwards agreed to represent Jane Doe; and, on July 7, 2008, attorney Edwards agreed to represent L.M. in connection with the sexual assaults committed by Epstein and to insure that their rights as victims of crimes were protected in the criminal process on-going against Epstein. Mr. Edwards and his three clients executed written retention agreements. See id. at ,r2. 33. In mid June of 2008, Edwards contacted AUSA Villafana to inform her that he represented Jane Doe #1 and, later, Jane Doe #2. AUSA Villafana did not advise that a plea agreement had already been negotiated with Epstein's attorneys that would block federal prosecution. To the contrary, AUSA Villafana mentioned a possible indictment. AUSA Villafana did indicate that federal investigators had concrete evidence and information that Epstein had sexually molested many underage minor females, including E.W., LM, and Jane Doe. See id. at if 4. 34. Edwards also requested from the U.S. Attorney's Office the information that they had collected regarding Epstein's sexual abuse of his clients. However, the U.S. Attorney's Office, declined to provide any such information to Edwards. It similarly declined to provide any such information to the other attorneys who represented victims of Epstein's sexual assaults. At the very least, this includes the items that were confiscated in the search warrant of Epstein's home, including dildos, vibrators, massage table, oils, and additional message pads. See Property Receipt (Exhibit "O"). 15
NOT A CERTIFIED COPY 35. On Friday, June 27, 2008, at approximately 4:15 p.m., AUSA Villafana received a copy of Epstein's proposed state plea agreement and learned that the plea was scheduled for 8:30 a.m., Monday, June 30, 2008. AUSA Villafana called Edwards to provide notice to his clients regarding the hearing. AUSA Villafana did not tell Attorney Edwards that the guilty pleas in state court would bring an end to the possibility of federal prosecution pursuant to the plea agreement. See Edwards Affidavit, Exhibit "N", at i[6. 36. Under the Crime Victims' Rights Act (CVRA), 18 U.S.C. § 3771, victims of federal crimes - including E.W. and L.M. - are entitled to basic rights during any plea bargaining process; including the right to be treated with fairness, the right to confer with prosecutors regarding any plea, and the right to be heard regarding any plea. The process that was followed leading to the non-prosecution of Epstein violated these rights of E.W. and L.M. See Emergency Petn. for Victim's Enforcement of Crime Victim's Rights, No. 9:08-CV-80736- KAM (S.D. Fla. 2008) (Exhibit "P"). 37. Because of the violation of the CVRA, on July 7, 2008, Edwards filed an action in the U.S. District Court for the Southern District of Florida, Case No. 9:08-CV-80736, seeking to enforce the rights of E.W. and L.M. That action alleged that the U.S. Attorney's Office had failed to provide E.W. and L.M. the rights to which they were entitled under the Act, including the right to be notified about a plea agreement and to confer with prosecutors regarding it. See id. 38. On July 11, 2008, Edwards took E.W. and L.M. with him to the hearing on the CVRA action. It was only at this hearing that both victims learned for the first time that the plea deal was already done with Epstein and that the criminal case against Epstein had been 16
NOT A CERTIFIED COPY effectively terminated by the U.S. Attorney's office. See Hearing Transcript, July 11, 2008 (Exhibit "Q"). 39. Edwards learned that Jane Doe felt so strongly that the plea bargain was inappropriate that she made her own determination to appear on a television program and exercise her First Amendment rights to criticize the unduly lenient plea bargain Epstein received in a criminal case. 40. The CVRA action that Edwards filed was recently administratively closed and Edwards filed a Motion to reopen that proceeding. See No. 9:08--CV-80736 (S.D. Fla.). Epstein's Enny of Guilty Pleas to Sex Offenses 41. Ultimately, on June 30, 2008, in the Fifteenth Judicial Circuit in Palm Beach County, Florida, defendant Epstein, entered pleas of "guilty" to various Florida state crimes involving the solicitation of minors for prostitution and the procurement of minors for the purposes of prostitution. See Plea Colloquy (Exhibit "R"). 42. As a condition of that plea, and in exchange for the Federal Government not prosecuting the Defendant, Epstein additionally entered into an agreement with the Federal Government aclmowledging that approximately thirty-four (34) other young girls could receive payments from hi~ under the federal statute providing for compensation to victims of child sexual abuse, 18 U.S.C. § 2255. As had been agreed months before, the U.S. Attorney's Office did not prosecute Epstein federally for his sexual abuse of these minor girls. See Addendum to Non-Prosecution Agreement (Exhibit "S") (in redacted form to protect the identities of the minors involved). . 17
NOT A CERTIFIED COPY 43. Because Epstein became a convicted sex offender, he was not to have contact with any of his victims. During the course of his guilty pleas on June 30, 2008, Palm Beach Circuit Court Judge Deborah Dale Pucillo ordered Epstein "not to have any contact, direct or indirect" with any victims. She also expressly stated that her no-contact order applied to "all of the victims." Similar orders were eritered by the federal court handling some of the civil cases against Epstein. The federal court stated that it "finds it necessary to state clearly that Defendant is under this court's order not to have direct or indirect contact with any plaintiffs .... " Order, Case No. 9:08-cv-80119 (S.D. Fla. 2008), [DE 238] at 4-5 (emphasis added); see also Order, Case No. 9:08-cv-80893, [DE 193] at 2 (emphasis added). Edwards Files Civil Suits Against Epstein 44. Edwards had a good faith belief that his clients felt angry and betrayed by the criminal system and wished to prosecute and punish Epstein for his crimes against them in whatever avenue remained open to them. On August 12, 2008, at the request of his client Jane Doe, Brad Edwards filed a civil suit against Jeffrey Epstein to recover damages for b,is sexual assault of Jane Doe. See Edwards Affidavit, "N" at if7. Included in this complaint was a RICO count that explained how Epstein ran a criminal conspiracy to procure young girls for him to sex~ally abuse. See Complaint, Jane Doe v. Epstein (Exhibit "T"). 45 .. On September 11, 2008, at the request of his client E.W., Brad Edwards filed a civil suit against Jeffrey Epstein to recover damages for his sexual assault of E.W. See Complaint, E.W. v. Epstein (Exhibit "U"). 18
NOT A CERTIFIED COPY 46. On September 11, 2008, at the request of his client L.M .. , Brad Edwards filed a civil suit against Jeffrey _Epstein to recover damages for his sexual assault of L.M. See Complaint, L.M. v. Epstein, (Exhibit "V"). 47. Jane Doe's federal complaint indicated that she sought damages of more than $50,000,000. Listing the amount of damages sought in the complaint was in accord with other civil suits that were. filed against Epstein (before any lawsuit filed by Edwards). See Complaint, Jane Doe #4 v. Epstein (Exhibit "W") (filed by Herman and Mermelstein, PA). 48. At about the same time as Edwards filed his three lawsuits against Epstein, other civil attorneys were filing similar lawsuits against Epstein. For example, on or about April 14, 2008 another law firm, Herman and Mermelstein, filed the first civil action against Epstein on behalf of one of its seven clients who were molested by Epstein. The complaints that attorney Hennan filed on behalf of his seven clients were similar in tenor and tone to the complaint that Edwards filed on behalf of his three clients. See id. 49. Over the next year and a half, more than 20 other similar civil actions were filed by various attorneys against Epstein alleging sexual assault of minor girls. These complaints were also similar in tenor and tone to the complaint that Edwards filed on behalf of his clients. These complaints are all public record and have not been attached, but are available in this Court's files and the files of the U.S. District Court for the Southern District of Florida. 50. In addition to the complaints filed against Epstein in Florida, a female in New York, Ava Cordero, filed a lawsuit against Epstein in New York making similar allegations - that Epstein paid her for a massage then forced her to give him oral sex and molested her in other ways when she was only 16 years old. Cordero was born a male, and in her complaint she 19
NOT A CERTIFIED COPY alleges that Epstein told her during the "massage", "I love how young you are. You have a tight butt like a baby". See Jeff Epstein Sued for "Repeated Sexual Assaults" on Teen, New York Post, October 17, 2007, by Dareh Gregorian, link at: http:/ /www.nypost.com/p/news/regional/item 44zlWyL UFH7Rl OUtKYGPbP;j sessionid=6CA3 EBF1BEF68F5DE14BFB2CAA5C37E0. See Article attached hereto as Exhibit "X". 51. Edwards's three complaints against Epstein contained less detail about sexual abuse than (as one example) a complaint filed by attorney Robert Josephsberg from the law firm of Podhurst Orseck. See Complaint, Jane Doe 102 v. Epstein (Exhibit "B"). As recounted in detail in this Complaint, Jane Doe 102 was 15 years old when Ghislaine Maxwell discovered her and lured her to Epstein's house. Maxwell and Epstein forced her to have sex with both of them and within weeks Maxwell and Epstein were flying her all over the world. According to the Complaint, Jane Doe 102 was forced to live as one of Epstein's underage sex slaves for years and was forced to have sex with not only Maxwell and Epstein but also other politicians, businessmen, royalty, academicians, etc. She was even made to watch Epstein have sex with three 12-year-old French girls that were sent to him for his birthday by a French citizen that is a friend of Epstein's. Luckily, Jane Doe 102 escaped to Australia to get away from Epstein and Maxwell's sexual abuse. 52. Edwards learned that inaddition to civil suits that were filed in court against Epstein, at around the same time other attorneys engaged in pre-filing settlement discussions with Epstein. Rather than face filed civil suits in these cases, Epstein paid money settlements to more than 15 other women who had sexually abused while they were minors. See articles regarding settlements attached hereto as Composite Exhibit "Y." 20
NOT A CERTIFIED COPY Epstein's Obstruction of Normal Discove,y and Attacks on His Victims 53. Once Edwards filed bis civil complaints for bis three clients, be began the normal process of discovery for cases such as these. He sent standard discovery requests to Epstein about bis sexual abuse of the minor girls, including requests for admissions, request for production, and interrogatories. See Edwards Affidavit, Exhibit "N", at ,r,r11-19 and 25. Rather than answer any substantive questions about bis sexual abuse and bis conspiracy for procuring minor gi~ls for him to abuse, Epstein invoked bis 5th amendment right against self- incrimination. An example of Epstein's refusal to answer is attached as Composite Exhibit "Z" ( original discovery propounded to Epstein and bis responses invoking 5th amendment). 54. During the discovery phase of the civil cases filed against Epstein, Epstein's deposition was tak~n at least five times. During all of those depositions, Epstein refused to answer any substantive questions about bis sexual abuse of minor girls. See, e.g., Deposition Attachments 1, 6 and 7. 55. During these depositions, Epstein further attempted to obstruct legitimate questioning by inserting a variety of irrelevant information about bis case. As one of innumerable examples, on March 8, 2010, Mr. Horowitz, representing seven victims, Jane Doe's 2-8, asked, "Q: In 2004, did you rub Jane Doe 3's vagina? A: Excuse me. I'd like to answer that question, as I would like to answer mostly every question you've asked me here today; however, upon advice of counsel, I cannot answer that question. They've advised me I must assert my Sixth Amendment, Fifth Amendment and Fourteenth Amendment Rights against self--excuse me, against--under the Constitution. And though your partner, Jeffrey Herman, was disbarred after filing this lawsuit [a statement that was untrue], Mr. Edwards' partner sits in jail for 21
NOT A CERTIFIED COPY fabricating cases of a sexual nature fleecing unsuspecting Florida investors and others out of millions of dollars for cases of a sexual nature with--I'd like to answer your questions; however if I--I'm told that if I do so, I risk losing my counsel's representation; therefore I must accept their advice." Epstein deposition, March 8, 2010, at 106 (Deposition attachment #10). 56. Wben Edwards bad the opportunity to take Epstein's deposition, be only asked reasonable questions, all of which related to the merits of the cases against Epstein. All depositions of Epstein in which Mr. Edwards participated on behalf of bis clients are attached to this motion. See Edwards Affidavit, Exhibit "N" at if 11 and Deposition attachments # 1, 6, 7, 10, 11, 12, and 13. Cf. with Deposition of Epstein taken by an attorney representing BB (one in which Edwards was not participating), http://www.youtube.com/watcb?v=V-dgoEyYXx4; and http://www.youtube.com/watcb?v=YCNiYltW-rO 57. Edwards's efforts to obtain information about Epstein's organization for prncuring young girls was also blocked because Epstein's co-conspirators took the Fifth. Deposition of Sarah Kellen, March 24, 2010 (hereinafter "Kellen Depa.") (Deposition attachment #14); Deposition of Nadia Marcinkova, April 13, 2010, (Deposition attachment #9); Deposition of Adriana Mucinska Ross, March 15, 2010 (hereinafter "Ross Depa.") (Deposition attachment #15). Each of these co-conspirators invoked their respective rights against self- incrimination as to all relevant questions, and the depositions have been attached. 58. At all relevant times Edwards has had a good faith basis to believe and did in fact believe Sarah Kellen was an employee of Epstein's and had been identified as a defendant in at least one of the complaints against Epstein for her role in bringing girls to Epstein's mansion to be abused. At the deposition, she was represented by Bruce Reinhart. She invoked the Fifth on ...
NOT A CERTIFIED COPY all substantive questions regarding her role in arranging for minor girls to come to Epstein's mansion to be sexually abused. Reinhart had previously been an Assistant United States Attorney in the U.S. Attorney's Office for the Southern District of Florida when Epstein was being investigated criminally by Reinhart's office. Reinhart left the United States Attorney's Office and was immediately hired by Epstein to represent Epstein's pilots and certain co- conspirators during the civil cases against Epstein. See Edwards Affidavit, Exhibit ''N" at ~11. 59. Edwards also had other lines of legitimate discovery blocked through the efforts of Epstein and others. For example, Edwards learned through deposition that Ghislaine Maxwell was involved in managing Epstein's affairs and companies. See deposition of Epstein's house manager Janusz Banziak, February 16, 2010 at page 14, lines 20-23 (Deposition Attachment #16); See deposition of Epstein's housekeeper Louella Rabuyo, October 20, 2009, page 9, lines 17-25 (Deposition Attachment #17); • See deposition of Epstein's pilot Larry Eugene Morrison, October 6, 2009, page 102-103 (Deposition Attachment #18); See deposition of Alfredo Rodriguez, August 7, 2009, page 302-306 and 348 (Deposition Attachment #8); See also Prince Andrew's Friend, Ghislaine Maxwell, Some Underage Girls and A Very Disturbing Story, September 23, 2007 by Wendy Leigh, link at http:/ /www.redicecreations.com/article.php?id= 1895OHANNA SJOBERG. Exhibit "AA". 60. Alfredo Rodriguez testified that Maxwell took photos of girls without the girls' knowledge, kept the images on her computer, knew the names of the underage girls and their respective phone numbers and other underage victims were molested by Epstein and Maxwell together. See Deposition of Rodriguez, Deposition attachment# 8 at 64, 169-170 and 236. 23
NOT A CERTIFIED COPY 61. In reasonable reliance on this and other information, Edwards served Maxwell for deposition in 2009. See Deposition Notice attached as Exhibit "BB." Maxwell was represented by Brett Jaffe of the New York firm of Cohen and Gresser, and Edwards understood that her attorney was paid for ( directly or indirectly) by Epstein. She was reluctant to give her deposition, and Edwards tried to work with her attorney to take her deposition on terms that would be acceptable to both sides. The result was the attached confidentiality agreement, under which Maxwell agreed to drop any objections to the deposition, attached hereto as Exhibit "CC." Maxwell, however, contrived to avoid the deposition. On June 29, 2010, one day before Edwards was to fly to NY to take Maxwell's deposition, her attorney informed Edwards that Maxwell's mother was deathly ill and Maxwell was consequently flying to England with no intention of returning to the United States. Despite that assertion, Ghislaine Maxwell was in fact in the country on July 31, 2010, as she attended the wedding of Chelsea Clinton (former President Clinton's _daughter) and was captured in a photograph taken for OK magazine. Photos from Issue 809 of the publication See US Weekly dated August 16, 2010 are attached hereto as Exhibit "DD" and Edwards Affidavit, Exhibit "N" at ,i12. 62. Maxwell is not the only important witness to lie to avoid deposition by Edwards. Upon review of the.message pads that were taken from Epstein's home in the police trash pulls, see Exhibit "J" supra, many were from Jean Luc Brunel, a French citizen and one of Epstein's . . closest pals. He left messages for Epstein. One dated 4/1/05 said, "He has a teacher for you to teach you how to speak Russian. She is 2x8 years old, not blonde. Lessons are free and you can have your 1st today if you call." See Messages taken from Jean Luc Brunel are attached hereto as Exhibit "EE." In light of these circumstances of ...
NOT A CERTIFIED COPY Edwards that Brunel might have been procuring two eight-year-old girls for Epstein to sexually abuse. According _to widely circulated press reports reviewed by Edwards, Brunel is in his sixties and has a reputation throughout the world (and especially in the modeling industry) as a cocaine addict that has for years molested children through modeling agencies while acting as their agent - conduct that has been the subject of critical reports, books, several news articles, and a 60 Minutes . documentary on Brunel's sexual exploitation of underage models. See http://bradmillershero.blogspot.com/2010/08/women-are-objects.html, attached hereto as Exhibit "FF." 63. Edwards learned that Brunel is also someone that visited Epstein on approximately 67 o.ccasions while Epstein was in jail. See Epstein's jail visitor log attached as Exhibit "GG." 64. Edwards learned that Brunel currently runs the modeling agency MC2, a company foTwhich Epstein provides financial support. See Message Pad's attached as Exhibit "J" supra and Sworn Statement of MC2 employee Maritza Vasquez, June 15, 2010, "Maritza Vasquez Sworn Statement" attached at Exhibit "llli" at 1-16. 65. Employees of MC2 told Edwards that Epstein's numerous condos at 301 East 66 Street in New York were used to house young models. Edwards was told that MC2 modeling agency, affiliated with Epstein and Brunel brought underage girls from all over the world, promising them modeling contracts. Epstein and Brunel would then obtain a visa for these girls, then would charge the underage girls rent, presumably to live as underage prostitutes in the condos. See Maritza Vasquez Sworn Statement, Exhibit "llli" at 7-10, 12-15, 29-30, 39-41, 59- 60 and 62-67. 25
NOT A CERTIFIED COPY 66. In view of this information suggesting Brunel could provide significant evidence of Epstein's trafficking in young girls for sexual abuse, Edwards had Brunel served in New York for deposition. See Notice of Deposition of Jean Luc Brunel attached hereto as Exhibit "IT." Before the deposition took place, Brunel's attorney (Tama Kudman of West Palm Beach) contacted Edwards to delay the deposition date. Eventually Kudman informed Edwards in January 2009 that Brunel had left the country and was back in France with no plans to return. This information was untrue; Brunel was actually staying with Epstein in West Palm Beach. See Banasiak deposition, deposition attachment #16 at 154-160 and 172-175; see also pages from Epstein's probation file evidencing Jean Luc Brunel. (JLB) staying at his house during that relevant period of time attached Exhibit "JJ". As a result, Edwards filed a Motion for Contempt, attached hereto as Exhibit "KK" (Because Epstein settled this case, the motion was never ruled upon.) 67. Edwards was also informed that Epstein paid for not only Brunel's representation during the civil process but also paid for legal representation for Sarah Kellen (Epstein's executive assistant and procurer of girls for him to abuse), Larry Visoski (Epstein's personal pilot), Dave Rogers (Epstein's personal pilot), Larry Harrison (Epstein's personal pilot), Louella Rabuyo (Epstein's housekeeper), Nadia Marcinkova (Epstein's live-in sex slave), Ghislaine Maxwell (manager of Epstein's affairs and businesses), Mark Epstein (Epstein's brother), and Janusz Banasiak (Epstein's house manager) It was nearly impossible to take a deposition of someone that would have helpful information that was not represented by an attorney paid for by Epstein. See Edwards Affidavit, Exhibit "N" at ,r11. 26
NOT A CERTIFIED COPY 68. While Epstein and others were preventing any legitimate discovery into his sexual abuse of minor girls, at the same time he was engaging (through his attorneys) in brutal questioning of the girls who had filed civil suits against him, questioning so savage that it made local headlines. See Jane Musgrave, Victims Seeking Sex offender's Millions See Painful Pasts Used Against Them, Palm Beach Post News, Jan. 23, 2010, available at http://www. palmbeachpost. com/news/ crime/victims-seeking-sex-offenders-millions-see-painful- pasts-192988 .html attached hereto as Exhibit "LL." Edwards Pursues Other Lines of Discove,y 69. Because of Epstein's thwarting of discovery and attacks on Edwards's clients, Edwards was forced to pursue other avenues of discovery. Edwards only pursued legitimate discovery designed· to further the cases filed against Epstein. See Edwards Affidavit, Exhibit ''N" at 'if l 1. 70. Edwards notified Epstein's attorneys ofhis intent to take Bill Clinton's deposition. Edwards possessed a legitimate basis for doing so: (a) Clinton was friends with Ghislaine Maxwell who was Epstein's longtime companion and helped to run Epstein's companies, kept images of naked underage children on her computer, helped to recruit underage children for Epstein, engaged in lesbian sex with underage females that she procured for Epstein, and photographed underage females in sexually explicit poses and kept child pornography on her computer; (b) it was national news when Clinton traveled with Epstein aboard Epstein's private plane to Africa and the news articles classified Clinton as Epstein's friend. (c) the complaint filed on behalf of Jane Doe No. 102 stated generally that she was required by Epstein to be sexually exploited by not only Epstein but also Epstein's "adult male peers, including royalty, 27
NOT A CERTIFIED COPY politicians, academicians, businessmen, and/or other professional and personal acquaintances" - categories Clinton and acquaintances of Clinton fall into. The flight logs showed Clinton traveling on Epstein's plane on numerous occasions between 2002 and 2005. See Flight logs attached hereto as Exhibit "MM." Clinton traveled on many of those flights with Ghislaine Maxwell, Sarah Kellen, and Adriana Mucinska, - all employees and/or co-conspirators of Epstein's that were closely connected to Epstein's child exploitation and sexual abuse. The documents clearly show that Clinton frequently flew with Epstein aboard his plane, then suddenly stopped - raising the suspicion that the friendship abruptly .ended, perhaps because of events related to Epstein's sexual abuse of children. Epstein's personal phone directory from his computer contains e-mail addresses for Clinton along with 21 phone numbers for him, including those for his assistant (Doug Band), his schedulers, and what appear to be Clinton's personal numbers. This information certainly leads one to believe that Clinton might well be a source of relevant information and efforts to obtain discovery from him were reasonably calculated to lead to admissible evidence. See Exhibits "B", "F" "AA", "DD", and "MM" and Edwards Affidavit, Exhibit ''N" at ~15. 71. Bradley J. Edwards, Esq., provided notice that he intended to take the deposition of Donald Trump. Edwards possessed a legitimate basis for doing so: (a) The message pads confiscated from Epstein's home indicated that Trump called Epstein's West Palm Beach mansion on several occasions during the time period most relevant to my Edwards's clients' complaints; (b) Trump was quoted in a Vanity Fair article about Epstein as saying "I've known Jeff for fifteen years. Terrific guy," "He's a lot of fun to be with. It is even said that he likes beautiful women as much as I do, and many of them are on the younger side. No doubt about i...
NOT A CERTIFIED COPY Jeffrey enjoys his social life." Jeffrey Epstein: International Moneyman of Mystery; He's pals with a passel of Nobel Prize-winning scientists, CEOs like Leslie Wexner of the Limited, socialite Ghislaine Maxwell, even Donald Trump. But it wasn't until he flew Bill Clinton, Kevin Spacey, and Chris Tucker to Africa on his private Boeing 727 that the world began to wonder who he is. By Landon Thomas Jr. (See article attached hereto as Exhibit "NN") (c) Trump allegedly banned Epstein from his Maralago Club in West Palm Beach because Epstein sexually assaulted an underage girl at the club; (d) Jane Doe No. 102's complaint alleged that Jane Doe 102 was initially approached at Trump's Maralago by Ghislaine Maxwell and recruited to be Maxwell and Epstein's underage sex slave; (e) Mark Epstein (Jeffrrey Epstein's brother) testified that Trump flew on Jeffrey Epstein's plane with him (the same plane that Jane Doe 102 alleged was used to have sex with underage girls); (f) Trump had been to Epstein's home in Palm Beach; (g) Epstein's phone· directory from his computer contains 14 phone numbers for Donald Trump, including emergency numbers, car numbers, and numbers to Trump's security guard and houseman. Based on this information, Edwards reasonably believed that Trump might have relevant information to provide in the cases against Jeffrey Epstein and accordingly provided notice of a possible deposition. See deposition of Mark Epstein, September 21, 2009, at 48-50 (Deposition Attachment #19); See Jane Doe 102 v. Epstein, Exhibit "B"; Exhibit "F"; "Exhibit"J"; "N" and See Edwards Affidavit, Exhibit ''N" at i[13. 72. Edwards provided notice that he intended to depose Alan Dershowitz. Edwards possessed a legitimate basis for doing so: (a) Dershowitz is believed to have been friends with Epstein for many years; (b) in one news article Dershowitz comments that, "I'm on my 20th book ... The only person outside of my immediate family that I se...
NOT A CERTIFIED COPY Talented Mr. Epstein, By Vicky Ward on January, 2005 in Published Work, Vanity Fair (See article attached as Exhibit "00"); (c) Epstein's housekeeper Alfredo Rodriguez testified that Dershowitz stayed at Epstein's house during the years when Epstein was assaulting minor females on a daily basis; (d) Rodriguez testified that Dershowitz was at Epstein's house at times when underage females where there being molested by Epstein (see Alfredo Rodriguez deposition at 278-280, 385, 426-427); (e) Dershowitz reportedly assisted in attempting to persuade the Palm Beach State Attorney's Office that because the underage females alleged to have been victims of Epstein's abuse lacked credibility and could not be believed that they were at Epstein's house, when Dershowitz himself was an eyewitness to their presence at the house; (f) Jane Doe No. 102 stated generally that Epstein forced her to be sexually exploited by not only Epstein but also Epstein's "adult male peers, including royalty, politicians, academicians, businessmen, and/or other professional and personal acquaintances" - categories that Dershowitz and acquaintances of Dershowitz fall into; (g) during the years 2002-2005 Alan Dershowitz was on Epstein's plane on several occasions according to the flight logs produced by Epstein's pilot and information ( described above) suggested that sexual assaults may have taken place on the plane; (h) Epstein ~onated $30 Million one year to the university at which Dershowitz teaches. Based on this information, Edwards had a reasonable basis to believe that Dershowitz might have relevant information to provide in the cases against Jeffrey Epstein and accordingly provided notice of a possible deposition. See Dershowitz letters to the State Attorney's office attached as Exhibi~ "PP"; Deposition of Alfredo Rodriguez at 278-280; Flight Logs Exhibit "MM"; Exhibits "B" and "00"; and Edwards Affidavit, Exhibit ''N" at ,Il4. 30
NOT A CERTIFIED COPY 73. Epstein's complaint alleges that Edwards provided notice that he wished to take the deposition of Tommy Mattola. That assertion is untrue. Mr. Mattola's deposition was set by the law firm of Searcy Denny Scarola Barnhart and Shipley. See Edwards Affidavit, Exhibit "N" at if16. 74. Edwards gave notice that he intended to take David Copperfield's deposition. Edwards possessed a legitimate basis for doing so. Epstein's housekeeper and one of the only witnesses who did not appear for deposition with an Epstein bought attorney, Alfredo Rodriguez, testified that David Copperfield was a guest at Epstein's house on several occasions. His name also appears frequently in the message pads confiscated from Epstein's house. It has been publicly reported that Copperfield himself has had allegations of sexual misconduct made against hirri by women claiming he sexually abused them, and one of Epstein's sexual assault victims also alleged that Copperfield had touched her in an improper sexual way while she was at Epstein's house. Mr. Copperfield likely has relevant information and deposition was reasonably calculated to lead to the discovery of admissible evidence. See Edwards Affidavit, Exhibit "N" at 75. Epstein also takes issue with Edwards identifying Bill Richardson as a possible witness. Richardson was properly identified as a possible witness because Epstein's personal pilot testified to Richardson joining Epstein at Epstein's New Mexico Ranch. There was information indicating that Epstein had young girls at his ranch which, given the circumstances of the case, raised the reasonable inference he was sexually abusing these girls as he had abused girls in West Palm Beach and elsewhere. Richardson had also returned campaign donations that were given to him by Epstein, indicating that he believed that there was something about Epstein 31
NOT A CERTIFIED COPY with which he did not want to be associated. Richardson was not called to testify nor was he ever subpoenaed to testify. See Edwards Affidavit, Exhibit ''N'' at ,r18. 7 6. Edwards learned of allegations that Epstein engaged in sexual abuse of minors on his private aircraft. See Jane Doe 102 Complaint, Exhibit "B." Accordingly, Edwards pursued discovery to confirm these allegations: 77. Discovery of the pilot and flight logs was proper in the cases brought by Edwards against Epstein. Jane Doe filed a federal RICO claim against Epstein that was an active claim through much of the litigation. The RICO claim alleged that Epstein ran an expansive criminal enterprise that involved and depended upon his plane travel. Although Judge Marra dismissed the RICO claim at some point in the federal litigation, the legal team representing Edwards' clients intended to pursue an appeal of that dismissal. Moreover, all of the subjects mentioned in the RICO claim remained relevant to other aspects of Jane Doe's claims against Epstein, including in particular her claim for punitive damages. See Edwards Affidavit, Exhibit "N" at ,rl9. 78. Discovery of the pilot and flight logs was also proper in the cases brought by Edwards against Epstein because of the need to obtain evidence of a federal nexus. Edwards's client Jane Doe was proceeding to trial on a federal claim under 18 U.S.C. § 2255. Section 2255 is a federal statute which (unlike relevant state statutes) established a minimum level of recovery for victims of the violation of its provisions. Proceeding under the statute, however, required a "federal nexus" to the sexual assaults. Jane Doe had two grounds on which to argue that such a nexus existed to her abuse by Epstein: first, his use of telephone to arrange for girls to be abused; and, second, his travel on planes in interstate commerce. During the course of the litigation, 32
NOT A CERTIFIED COPY Edwards anticipated that Epstein would argue that Jane Doe's proof of the federal nexus was inadequate. These fears were realized when Epstein filed a summary judgment motion raising this argument. In response, the other attorneys and Edwards representing Jane Doe used the flight log evidence to respond to Epstein's summary judgment motion, explaining that the flight logs demonstrated that Epstein had traveled in interstate commerce for the purpose of facilitating his sexual assaults .. Because Epstein chose to settle the case before trial, Judge Marra did not rule on the summary judgment motion. 79. Edwards had further reason to believe and did in fact believe that the pilot and flight logs might contain relevant evidence for the cases against Epstein. Jane Doe No. 102's complaint outlined Epstein's daily sexual exploitation and abuse of underage minors as young as 12 years old and alleged that Epstein's plane was used to transport underage females to be sexually abused by him and his friends. The flight logs accordingly were a potential source of information about either additional girls who were victims of Epstein's abuse or friends of Epstein who may· have witnessed or even participated in the abuse. Based on this information, Edwards reasonably pursued the flight logs in discovery. 80. In the fall of 2009, Epstein gave a recorded interview to George Rush, a reporter with the New York Daily News about pending legal proceedings. In that interview, Epstein demonstrated an utter lack of remorse for his crimes (but indirectly admitted bis crimes) by stating: • People do not like it when people make good and that was one reason he (Epstein) was being targeted by civil suits filed by young girls in Florida; • He (Epstein) bad done nothing wrong; 33
NOT A CERTIFIED COPY • He (Epstein) had gone to jail in Florida _for soliciting prostitution for no reason; • If the same thing (i.e., sexual abuse of minor girls) had happened in New York, he (Epstein) would have received only a $200 fine; • Bradley J. Edwards was the one causing all of Epstein's problems (i.e., the civil suits brought by Jane Doe and other girls); • L.M. came to him as a prostitute and a drug user (i.e., came to Epstein for sex, rather than Epstein pursuing her); • AJl the girls suing him are only trying to get a meal ticket; 111 The only thing he might have done wrong was to maybe cross the line a little too closely; • He (Epstein) was very upset that Edwards had subpoenaed Ghisline Maxwell, that she was a good person that did nothing wrong (i.e., had done nothing wrong even though she helped procure young girls to satisfy Epstein's sexual desires); • With regard to Jane Doe 102 v. Epstein, which involved an allegation that Epstein had repeatedly sexually abused a 15-year-old girl, forced her to have sex with his friends, and flew her on his private plane nationally and internationally for the purposes of sexually molesting and abusing her, he (Epstein) flippantly said that the case was dismissed, indicating that the allegations were ridiculous and untrue. See Affidavit of Michael J. Fisten attached hereto as Exhibit "QQ." 81. The Rush interview also demonstrated perjury ( a federal crime) on the part of Epstein. Epstein lied about not knowing George Rush. See Epstein Deposition, February 17, 2010, taken in L.M. v. Jeffrey Epstein, case 50-2008-CA-028051, page 154, line 4 through 155 line 9, (Deposition ·attachment #7), wherein Jeffrey Epstein clearly impresses that he does not recognize George Rush from the New York Daily News. This impression was given despite the fact that he gave a lengthy personal interview about details of the case that was tape recorded with George Rush. 34
NOT A CERTIFIED COPY Epstein's Harassment of Witnesses Against Him 82. At all relevant times Edwards has a good faith basis to believe and did in fact believe that Epstein engaged in threatening witnesses. See Incident Report, Exhibit "A" at p. 82, U.S. Attorney's Correspondence, Exhibit "C" - Indictments drafted by Federal Government against Epstein; and Edwards Affidavit, Exhibit "N" at if l 1. 83. Despite three no contact orders entered against Epstein (see Exhibit C, supra), Edwards learned that Epstein continued to harass his victims. For example, Jane Doe had a trial set for her civil case against him on July 19, 2010. As that trial date approached, defendant Epstein intimidated her in violation of the judicial no-contact orders. On July 1, 2010, he had a "private investigator" tail Jane Doe -c- following her every move, stopping when she stopped, driving when she drove, refusing to pass when she pulled over. When Jane Doe ultimately drove to her home, the "private investigator" then parked in his car approximately 25 feet from Jane Doe house and flashed his high beam lights intermittently into the home. Even more threateningly, at about 10:30 p.m., when Jane Doe fled her home in the company of a retired police officer employed by Jane Doe's counsel, the "private investigator" attempted to follow Jane Doe despite a request not to do so. The retired officer successfully took evasive action and placed Jane Doe in a secure, undisclosed location that night. Other harassing actions against Jane Doe also followed. See Motion for Contempt filed by Edwards in Jane Doe v. Epstein detailing the event, including Fisten Affidavit attached to Motion, Composite Exhibit "RR." Epstein Settlement of Civil Claims Against Him for Sexual Abuse of Children 84. The civil cases Edwards filed against Epstein on behalf of L.M., E.W., and Jane Doe were reasonably perceived by Edwards to be very strong cases. Because Epstein had 35
NOT A CERTIFIED COPY sexually assaulted these girls, he had committed several serious torts against them and would be liable to them for appropriate damages. See Preceding Undisputed Facts. Because of the outrageousness of Epstein's sexual abuse of minor girls, Edwards reasonably expected that Epstein would also be liable for punitive damages to the girls. Because Edwards could show that Epstein had molested children for years and designed a complex premeditated scheme to procure different minors everyday to satisfy his addiction to sex with minors, the punitive damages would have to be sufficient to deter him from this illegal conduct that he had engaged in daily for years. Epstein was and is a billionaire. See Complaint, i[49 (referring to "Palm Beach Billionaire'.'); see also Epstein Deposition, February 17, 2010, at 172-176 (Deposition Attachment #7) (taking the Fifth when asked whether he is a billionaire). Accordingly, Edwards reasonably believed the punitive damages that would have to be awarded against Epstein would have been substantial enough to punish him severely enough for his past conduct as well as deter him from repeating his offenses in the future. See Edwards Affidavit, Exhibit ''N" at ,Il 9. 85. On July 6, 2010, rather than face trial for the civil suits that had been filed against him by L.M., E.W., and Jane Doe, defendant Epstein settled the cases against him. The terms of the settlement are confidential. The settlement amounts are highly probative in the instant action as Epstein bases his claims that Edwards was involved in the Ponzi scheme on Epstein's inability to settle the L.M., E.W., and Jane Doe cases for "minimal value". His continued inability to settle the claims for "minimal value" after the Ponzi scheme was uncovered would be highly probative in discrediting any causal relationship between the Ponzi scheme and Edwards's settlement negotiations. See Edwards Affidavit, Exhibit ''N" at ,i21. Edwards Non-Involve...
NOT A CERTIFIED COPY
86.
From in or about 2005, through in or about November 2009, Scott Rothstein
appears to have run a giant Ponzi scheme at his law firm of Rothstein, Rosenfeldt and Adler P .A
("RRA"). This Ponzi scheme involved Rothstein falsely informing investors that settlement
agreements had been reached with putative defendants based upon claims of sexual harassment
and/or whistle-blower actions.
Rothstein falsely informed the investors that the potential
settlement agreements were available for purchase. Plea Agreement at 2, United States v. Scott
W. Rothstein, No. 9-60331-CR-COHN (S.D. Fla. Jan. 27, 2010) attached hereto as Exhibit "SS."
87.
It has been alleged that among other cases that Rothstein used to lure investors
into his Ponzi scheme were the cases against Epstein that were being handled by Bradley J.
Edwards, Esq. Edwards had no lmowledge of the fraud or any such use of the Epstein cases. See
Edwards Affidavit, Exhibit ''N" at ,I9.
88.
Bradley J. Edwards, Esq., joined RRA in about April 2009 and left RRA in
November 2009 - a period of less than one year. Edwards would not have joined RRA had he
been aware that Scott Rothstein was running a giant Ponzi scheme at the firm. Edwards left
RRA shortly after learning ofRothstein's fraudulent scheme. Id. at iJ8.
89.
At no time prior to the public disclosure ofRothstein's Ponzi scheme did Edwards
lmow or have reason to believe that Rothstein was using legitimate claims that Edwards was
prosecuting against Epstein for any fraudulent or otherwise illegitimate purpose. Id. at ,I20.
90.
Edwards never substantively discussed the merits of any of his three cases against
Epstein with Rothstein. See Deposition of Bradley J. Edwards taken March 23, 2010, at 110-16.
(hereinafter "Edwards Depa") (Deposition Attachment #22).
37
NOT A CERTIFIED COPY 91. On July 20, 2010, Bradley Edwards received a letter from the U.S. Attorney's Office for the Southern District of Florida - the office responsible for prosecuting Rothstein's Ponzi scheme. The letter indicated that law enforcement agencies had determined that Edwards was "a victim (or potential victim)" of Scott Rothstein's federal crimes. The letter informed Edwards of his rights as a victim of Rothstein's fraud and promised to keep Edwards informed about subsequent developments in Rothstein's prosecution. See Letter attached hereto as Exhibit "TT." 92. Jeffrey Epstein filed a ·complaint with the Florida Bar against Bradley Edwards, Esq., raising allegations that Edwards and others were involved in the wrongdoing of Scott Rothstein. After investigating the claim, the Florida Bar dismissed this complaint. See Edwards Affidavit, Exhibit "N" at i!23. Epstein Takes the Fifth When Asked Substantive Questions About His Claims Against Edwards 93. On March 17, 2010, defendant Epstein was deposed about his lawsuit against Edwards. Rather than answer substantive questions about his lawsuit, Epstein repeatedly invoked his Fifth Amendment privilege. See Epstein Depa. taken 3/17 /10, Deposition Attachment # 1. 94. In h1.s deposition, Epstein took the Fifth rather than answer the question: "Specifically what are the allegations against you which you contend Mr. Edwards ginned up?" Id. at 34. 95. In his deposition, Epstein took the Fifth rather than name people in California that Edwards had tried to depose to increase the settlement value of the civil suit he was handling. Id. at 37. 38
NOT A CERTIFIED COPY 96. In bis deposition, Epstein took the Fifth rather than answer the question: "Do you know former President Clinton personally." Id. 97. In his deposition, Epstein took the Fifth rather than answer the question: '°Are you now telling us that there were claims against you that were fabricated by Mr. Edwards?" Id. at 39 .. 98. In his deposition, Epstein took the Fifth rather than answer the question, "Well, which of Mr. Edwards' cases do you contend were fabricated." Id. 99. In his deposition, Epstein took the Fifth rather than answer the question: "What is the actual value that you contend the claim of E.W. against you bas?" Id. at 45. 100. In his deposition, Epstein took the Fifth rather than answer a question about the actual value of the claim ofL.M. and Jane Doe against him. Id. 101. In bis deposition, taken prior to the settlement of Edwards' s clients claims against Epstein, Epstein took the Fifth rather than answer the question: "Is there any pending claim aga:inst you which you contend is fabricated?" Id. at 71. 102. In his deposition, Epstein took the Fifth rather than answer the question: '°Did you ever have damaging evidence in your garbage?" Id. at 74. 103. In his deposition, Epstein took the Fifth rather than answer the question: "Did sexual assaults ever take place on a private airplane on which you were a passenger?" Id. at 88. 104. In bis deposition, Epstein took the Fifth rather than answer the question: "Does a flight log kept for a private jet used by you contain the names of celebrities, dignitaries or international figures?" Id. at 89. 39
NOT A CERTIFIED COPY 105. In his deposition, Epstein took the Fifth rather than answer the question: "Have you ever socialized-with Donald Trump in the presence of females under the age of 18?" Id. at 89. 106. In his deposition, Epstein took the Fifth rather than answer the question: "Have you ever socialized with Alan Dershowitz in the presence of females under the age of 18." Id. at 90. 107. In his deposition, Epstein took the Fifth rather than answer the question: "Have you ever socialized with Mr. Mottola in the presence of females under the age of 18?" Id. at 91- 92. 108. In his deposition, Epstein took the Fifth rather than answer the question: "Did you ever socialize with David Copperfield in the presence of females under the age of 18?" Id. at 109. In his deposition, Epstein took the Fifth rather than answer the question: "Have you ever socialized with Mr. Richardson [Governor of New Mexico and formerly U.S. Representative and Ambassador to the United Nations] in the presence of females under the age of 18." Id. at 94. 110. In bis deposition, Epstein took the Fifth rather than answer the question: "Have you ever sexually abused children?" Id. at 95. 111. In bis deposition, Epstein took the Fifth rather than answer the question: "Did you have staff members that assisted you in scheduling appointments with underage females; that is, females under the age of 18." Id. at 97-98. 112. In bis deposition, Epstein took the Fifth rather than answer the question: "On how many occasions did.you solicit prostitution." Id. at 102. 40
NOT A CERTIFIED COPY 113. In his deposition, Epstein took the Fifth rather than answer the question: "How many minors have you procured for prostitution?" Id. at 104. 114. In his deposition, Epstein took the Fifth rather than answer the question: "Have you ever coerced, induced or enticed any minor to engage in any sexual act with you?" Id. at 107. 115. In his deposition, Epstein took the Fifth rather than answer the question: "How many times have you engaged in fondling underage females?" Id. at 108. 116. In his deposition, Epstein took the Fifth rather than answer the question: "How many times have you engaged in oral sex with females under the age of 18?" Id. at 110. 117. In his deposition, Epstein took the Fifth rather than answer the question: "Do you have a personal sexual preference for children?" Id. at 111-12. 118. In his deposition, Epstein took the Fifth rather than answer the question: "Your Complaint at page 27, paragraph 49, says that 'RRA and the litigation team took an emotionally driven set of facts involving alleged innocent, unsuspecting, underage females and a Palm Beach billionaire, and sought to turn it into a goldmine,' end of quote. Who is the Palm Beach billionaire referred to in that sentence?" Id. at 112-13. 119. In his deposition, Epstein took the Fifth rather than answer the question: "Who are the people who are authorized to make payment [to your lawyers] on your behalf?" Id. at 120. 120. In his deposition, Epstein took the Fifth rather than answer the question: "Is there anything in L.M. 's Complaint that was filed against you in September of 2008 which you contend to be false?" Id. at 128. 41
NOT A CERTIFIED COPY CERTIFICATE OF SERVICE .~ I HEREBY CERTIFY that on November_~_, 2010 a copy of the foregoing has been served via Fax and U.S. Mail to all those on the attached service list. By: Jack Scarola Searcy, Denney, Scarola, Barnhart & Shipley 2139 Palm Beach Lakes Blvd West Palm Beach, FL 33409 (561) 686- 0 (561 84-581 (fax) 42
NOT A CERTIFIED COPY Christopher E. Knight, Esq. Joseph L. Ackerman, Esq. FOWLER WHITE BURNETT P.A. 901 Phillips Point West 777 South Flagler Drive West Palm Beach, FL 33401 Jack Alan Goldberger, Esq. Atterbury Goldberger et al. 25 0 Australian A venue South Suite 1400 West Palm Beach, FL 33401 Marc S. Nurik, Esq. Law Offices of Marc S. Nurik One E. Broward Blvd., Suite 700 Fort Lauderdale, FL 33301 Gary M. Farmer, Jr. Farmer, Jaffe, Weissing, Edwards, Fistos & Lehrman, P.L. 425 N. Andrews Ave., Suite 2 Fort Lauderdale, FL 33301 SERVICE LIST 43
NOT A CERTIFIED COPY .. - ..... - . - . ·-- ....... •. .. --- ... __ ......_______ . - .. -- . - DEFENDANT BRADLEY 1 EDWARDS'S STATEMENT OF UNDISPUTED FACTS Epstein v. Edwards, et al. Case No.: 50 2009 CA 040800XXXXMBAG I I
NOT A CERTIFIED COPY - •••••·· . •. . -···-· ... -- . -·· -··-· ·- •--;·---·-- .. - ---····-·. AFFIDAVIT OF BRADLEY JAMES EDWARD§ 1. I am an attorney in good standing with the Florida Bar and admitted to practice in the Southern District of Florida. I am currently a partner in the law firm of Fanner, Jaffe, Weissing, Edwards, Fistos & Lehrman. P .L. 2. In 2008, I was a sole practitioner nmning a persomtl injury law finn in Hollywood,, FL. While a sole practitioner I was retained by three clients, L.M., E.W., and Jane Doe to pursue civil litigation against Jeffrey Epstein for sexually abusing them while they were minor girls. I agreed to. represent these girls, along with attorney Jay Howell (an attorney in Jacksonville, Florida with Jay Howell & Associates) and Professor Paw Cassell (a law professor at the Um.versity of Utah College Of Law). I filed state court actions on behalf of L.M. lill.d E.W. !illld a federal court action on behallf of Jane Doe. All of the cases were filed in the summer of 2008. 3. My clients received correspondence from the U.S. Department of Justice regarding their rights as victims of Epstein's federal sex offenses. (True and accurate copies of the letters are attached to Statement of Undisputed Facts as Exhibit "M") 4. In mid June 2008, I contacted Assistant United States Attorney Marie ViHa.fo.iia to inform her that I represented Jane Doe #l(E.W.) and, farer, Jane Doe #2(L.M.). I asked to meet to provide information regarding Epstein. AUSA Villafaiia did not advise me that a plea agreement had already been negotiated with Epstein's attorneys that would block federal prosecution. AUSA Villafana did indicate that federal investigators had concrete evidence and information that Epstein had sexwilly molested at least 40 underage winor females. inclooing E.W., Jane Doe and L.M. 5. I also requested from the U.S. Attorney's Office the information and evidence that they had collected regarding Epstein's sexual abus...
NOT A CERTIFIED COPY
.
-- . -
" ...
~•••.,..•••••••-w•~ ••
•••• • •-••• -• ---•-•- ---••-• •
• • ••
•-
•• •-•- ••-
•••
8.
In the Spring of 2009 (approximately April), I joined the law firm of Rothstein,
Rosenfeldt and Adler. lP .A. ("RRA"). I brought my existing clients with me when I
joined RRA, including L.M., E.W., and Jane Doe. When I joined the furn, I was not
aware that Scott Rothstein was running a Ponzi scheme at RRA. Had I known such a
Ponzi scheme was in place, I would never have joined RRA.
9.
I am· now aware that it has been alleged that Scott Rothstein made fraudulent
presentations ro invesrors about the lawsuits that I had filed on behalf of my clients
against Epstein and that it has been alleged that these lawsuits were used to fraudulently
lure investors into Rothstein's Ponzi scheme. I never met a single investor, had no part
in any such presentations and had no knowledge any such fraud was occurring. If these
allegations a.re true, I had no knowledge that any such fraudulent presentations were
occurring and no knowledge of any such improper use of the case files.
10. Epstein's Complaint against me alleges that Rothstein made false statements about
cases filed against Epstein, i.e., that RRA had 50 ainonymous females who had filed swt
against Epstein; that Rothstein sold an interest in personal injury lawsuits, reached
agreements to share attorneys fees with non-lawyers, paid clients "up front" money; and
that he used the judicial process to further his Ponzi scheme. If Rothstein did any of
these things, I had no knowledge of his actions. Because I maintained close contact
with my clients, EW, LM and Jane Doe, and Scott Rothstein never met any of them, I
know for certain tlmt none of my clients were paid "up front" money by anyone.
11. Epstein alleges that I attempted to take the depositiom of his "high pmfile friends md
acquiai..11ttm.ces" for no legitimate litigation purpose. This is tmtJrue, as all of my actions
in r...
NOT A CERTIFIED COPY 12. In light of information I received suggesting that British socialite Ghislaine Maxwell, former girlfriend and long-time friend of Epstein's, was involved in managing Epstein's affairs and companies I had her served for deposition for August 17, 2009. (Deposition Notice attached to Statement of Undisputed Facts as Exhibit BB). Maxwell was represented by Brett Jaffe of the New York furn. of Cohen and Gresser, and I understood that her attorney was paid for (directly or indirectly) by Epstein. She was reluctant. to give her deposition, and I tried ro work with her attorney to take her deposition on terms that would be acceptable tq both sides. Her attorney and I negotiated a confidentiality agreement, under whlch Maxwell agreed to drop any objections to the deposition. Maxwell, however, still avoided the deposition. On June 29, 2010, one day before I was to fly to NY to take Maxwell's deposition, her attorney informed me that Maxwell's mother was deathly ill and Maxwell was consequently flying to Enghmd with no intention of reruming and certainly wowd not return. to the United States before the conclusion of Jane Doe's trial period (August 6, 2010). Despite that assertion, I later lea.med that Ghislaine Maxwell was in fact in the country on approximately July 31, 2010, as she attended the wedding of Chelsea Clinton (former President Clinton's daughter) and was captured in a photograph ta.ken for US Weekly magazine. 13. Epstein alleges that there was something improper in the fact that I notified him that I intended to take DoMlld Trump's deposition in the civil suits against him. Trump was properly noticed because: (a) after review of the message pads confiscated :from Epstein's home, the legal. and investigative team :!l!Ssisting my clients learned that Trump called Epstein's West Palm Beach mansion on several occasions during the time period most relevant to my clients' complaints; (b) Trump was quoted in a Vanity Fair...
NOT A CERTIFIED COPY .. - --···-. ------------··-·---------· -----•-··· . ·--- ---------- ----- Tromp might have relevant information to provide in the cases against Jeffirey Epstein and accordingly provided notice of a possible deposition. 14. Epstein alleges that there was something improper in the fact that I notified him that I intended to take Alan Dersbowitz' s deposition in the civil suits against him. Dershowitz was properly noticed because: (a) Dershowitz has been friends with Epstein for many years; (11>) in one news article Dershowitz comments mat, "i'm on my 20th book ... Toe only person outside of my immediate family that I send drafts to is Jeffrey" The Talented Mr. Epstein, By Vicky Ward on January, 2005 in Published Work, Vanity Fair; (c) Epstein's housekeeper Alfredo Rodriguez testified that Dershowitz stayed at Epstein's house during the years most relevmt to my clients; (d) Rodriguez testified that Dershowitz was at Epstein's house at times when underage females where there being molested by Epstein (see Alfredo Rodriguez deposition at 278-280, 385, 426- 427); (e) Dershowitz was reportedly involved in persuading the Palm Beach State Attorney's office not to file felony crimmal clrunrges against Epstein because the underage females lacked credibility and thus could not be believed that they were at Epstein's house, despite him being an eyewitness that the underage girls well."e actually there; (f) Jane Doe No. 102 stated generally that Epstein forced her to be sexoolly exploited by not only Epstein but also Epstein's "adult male peers, includin.g royalty, politicians, academicians, businessmen, and/or other professional and personal acquaintances" - categories that Dershowitz and acqwmitances of Dershowitz fall into; (g) during the years 2002-2005 Alan Dershowitz was on Epstein's plane on several occasions according to the flight logs produced by Epstein's pilot and information (described above) suggested that sexual assaults m...
NOT A CERTIFIED COPY exploited by not only Epstein but also Epstein's "adult male peers, including royalty, politicians, academicians, businessmen, and/or other professional and personal acquaintances" - categories Clinton and acquaintances of Clinton fall into; (f) flight logs showed that Clinton took many flights with Epstein, Ghislaine Maxwell, Sarah Kellen, and Adriana Mucinska. -- all employees and/or co-conspirators of Epstein's that were closely .connected to Epstein's child exploitation and sexual abuse; (g) Clinton frequently flew with Epstein aboard his plane, then suddenly stopped - raising the suspicion that the friendship abruptly ended, perhaps because of events related to Epstein's sexual abuse of children; (b.) Epstein's personal phone directory from his computer contains e0 mail addresses for Clinton along with 21 phone numbeirs for him, including those for his assistant (Doug Band), his schedulers, and what appear to be Clinton's personal numbers. Based on this information, I believed that Clinton might have relevant information to provide in the cases against Jeffrey Epstein and accordingly provided notice of a possible deposition. 16. Epstein alleges that Tommy Mottola was improperly noticed with a deposition. I did not notice Mattola for deposition. He was noticed for deposition by a law firm representing another one of Epstein's victims - not by me. 17. Epstein alleges that there was something improper in the fact tlmt I notified him that I intended to take the illusionist David Copperfield's deposition. Copperfield was properly noticed because: (a) Epstein's housekeeper Alfredo Rodriguez testified that David Copperfield was a guest on several occasions at Epstein's house; (b) according to the message pads confiscated from Epstein's house, Copperfield called Epstein quite frequently and left messages that indicated they socialized together; (c) Copperfield himself has had similar allegations made against him by women cl...
NOT A CERTIFIED COPY necessary because: (a) Jane Doe filed a federal RICO claim against Epstein that was an active claim through much of the litigation. Toe RICO claim alleged that Epstein ran an expansive criminal enterprise that involved and depended upon his plane travel. Although Judge Mana dismissed the RICO claim at some point in the federal litigation, the legal team representing my clients intended to pursue an appeal of that dismissal. Moreover, all of the subjects mentioned in the RICO claim remained relevant to other aspects of Jane Doe's claims against Epstein. including in particular he:r claim for punitive drunages; (b) Jane Doo also filed and was proceeding to trial on a federal claim under 18 U.S.C. § 2255. Section 2255 is a federal statute which (unlike other state statutes) guaranteed a minimum level of recovery for Jane Doe. Proceeding tmder the statute, however, required a "federal nexus" to the sexual assaults. Jane Doe had two grounds on which to argue that such a nexus existed to her abuse by Epstein: first, his use of the telephone to arrange for girls to be abused; and, second, his travel on planes in interstate commerce. During the course of the litigation, I anticipated that Epstein would argue that Jane Doe's proof of the federal nexus was inadequate. These fears were realized when Epstein filed a summruy judgment motion raising this rurgwnent. In. respo~nse, the other attorneys and I representing Jane Doe used the flight log evidence to respond to Epstein's summary judgment motion, explaining that the flight logs demonstrated that Epstein had traveled in interstate commerce for the purpose of facilitating his sexual assaults. Because Epstein chose to settle the case before trial, Judge Marra did not rule on the swnmary judgment motion. (c) Jane Doe No. 102's complaint outlined Epstein's daily sexual exploitation and abuse of underage minors as young as 12 years old and alleged that he used his plane to transport und...
NOT A CERTIFIED COPY subsequent developments in his prosecution. A copy of this letter is attached to this Affidavit. (A copy of the letter is attached to Statement of Undisputed Facts as Exhibit UU) 23. Jeffrey Epstein also filed a complaint with the Florida Bar against me. His complaint alleged that I had been involved in Rothstein's scheme and had the.rreby violated various rules of professional responsibility. The Florida Bar investigated and dismissed the complaint. 24. I have reviewed the Statement of Undisputed Facts filed contemporaneously with tllis Affidavit. Each of the assertions concerning what I learned, what I did, a:nd the good faith beliefs formed by me in the course of my prosecutions of claims against Jeffrey Epstein as contained in the Statement of Undisputed Facts is true, and the foundations set out as support for my beliefs Bll!'e true and correct to the best of my knowledge. 25. AU actions taken by me in the course of my prosecution of claims against Jeffrey Epstein were based upon a good faith belief that they were reasonable, necessscy, and ethically proper to fullfiU my obligation to zealously represent the interests of my clients. I declare under penalty of perjury that the foregoing is true and correct. Dated:~ 2010 c.,.-f ~ = ~ 2 Bradley J. Edwards, Esq.
NOT A CERTIFIED COPY JEFFREY EPSTEIN, Plaintiff, vs. SCOTT ROTHSTEIN, individually, and BRADLEY J. EDWARDS, :individually, Defendants, _____________ _____,! IN THE CIRCUIT COURT OF THE 15TH nJDICIAL CIRCUIT IN AND FOR PALM BEACH COUNTY, FLORIDA Case No.: 50 2009CA 040800XXXXIY1BAG DEFENDANT BRADLEY J. EDW ARDS'S RENEWED MOTION FOR FINAL SUMMARY JUDGMENT Defendant, Bradley J. Edwards, Esq., by and through his undersigned counsel and pursuant to Rule 1.510, Florida Rules of Civil Procedure, hereby moves for Final Summary Judgment and in support thereof states as follows: I. INTRODUCTION The pleadings and discovery taken to date show that there is no genuine issue as to any material facts and that Bradley J. Edwards, Esq. is entitled to summary judgn1ent for all claims brought against him in Plaintiff Jeffrey Epstein's Second Amended Complaint. Not only is there an absence of competent evidence to demonstrate that Edwards participated in any fraud against Epstein, the evidence uncontrovertibly demonstrates the propriety of every aspect of Edwards' involvement in the prosecution of legitimate claims against Epstein. Epstein sexually abused three clients of Edwards - L.M., E.W., and Jane Doe - and Edwards properly and successfully EXHIBIT
NOT A CERTIFIED COPY
represented them in a civil action against Epstein. Nothing in Edwards's capable and competent
representation of his clients can serve as the basis for a civil lawsuit against him. Allegations
about Edwards's participation in or knowledge of the use of the civil actions against Epstein in a
"Ponzi Scheme" are not supported by any competent evidence and could never be supported by
competent evidence as they are entirely false.
A.
Epstein's Complaint
Epstein's Second Amended Complaint essentially alleges that Epstein was damaged by
Edwards, acting in ~oncert with Scott Rothstein (President of the Rothstein Rosenfeldt Adler law
firm ("RRA") where Edwards worked for a short period of time). Epstein appears to allege that
Edwards joined Rothstein in the abusive prosecution of sexual assault cases against Epstein to
"pump" the cases to Ponzi scheme investors. As described by Epstein, investor victims were
told by Rothstein that three minor girls who were sexually assaulted by Epstein: L.M., E.W., and
Jane Doe were to be paid up-front money to prevent those girls from settling their civil cases
against Epstein.
In Epstein's view, these child sexual assault cases had "minimal value"
(Complaint & 42(h)), and Edwards's refusal to force his clients to accept modest settlement
offers is claimed to breach some duty that Edwards owed to Epstein. Interestingly, Epstein never
states that he actually made any settlement offers.
The supposed "proof' of the Complaint's allegations against Edwards includes
Edwards's alleged contacts with the media, his attempts to obtain discovery from high-profile
persons with whom Epstein socialized, and use of "ridiculously inflammatory" language in
arguments in court. Remarkably, Epstein has filed such allegations against Edwards despite the
fact that Epstein had sexually abused each of Edwards' s clients and others while they were
2
NOT A CERTIFIED COPY minors. Indeed, in discovery Epstein has asserted his Fifth Amendment privilege rather than answer questions about the extent of the sexual abuse of his many victims. Even more ren:iarkably, since filing his suit against Edwards, Epstein has now settled the three cases Edwards handled for an amount that Epstein insisted be kept confidential. Without violating the strict confidentiality tenns required by Epstein, the cases did not settle for the "minimal value" that Epstein suggested in his Complaint. Because Epstein relies upon the alleged discrepancy between the "minimal value" Epstein ascribed to the claims and the substantial value Edwards sought to recover for his clients, the settlement an1ounts Epstein voluntarily agreed to pay while these claims against Edwards were pending will be disclosed to the court in-camera. B. Summary of the Argument Bradley J. Edwards, Esq., is entitled to summary judgment on Epstein's frivolous claim for at least three separate reasons. First, because Epstein has elected to hide behind the shield of his right against self incrimination to preclude his disclosing any relevant information about the criminal activity at the center of his claims, he is ban-ed from prosecuting this case against Edwards. Under the we11-established "sword and shield" doctrine, Epstein cannot seek daniages from Edwards while at the same time asserting a Fifth Amendment privilege to block relevant discovery. His case must therefore be dismissed. Second, all of Edwards' conduct in the prosecution of valid claims against Epstein is protected by the litigation privilege. Third, and most fundamentally, Epstein's lawsuit should be dismissed because it is not only unsupported by but is also directly contradicted by all of the record evidence. From the 3
NOT A CERTIFIED COPY beginning, Edwards diligently represented three victims of sexual assaults perpetrated by Epstein. As explained in detail below, each and every one of Edwards' s litigation decisions was grounded in prope1:" litigation judgment about the need to pursue effective discovery against Ep~tein, particularly in the face of Epstein's stonewalling tactics. Edwards's successful representation finally forced Epstein to settle and pay appropriate damages. Effective and proper representation of child victims who have been repeatedly sexually assaulted cannot form the basis of a separate, ~'satellite" lawsuit, and therefore Edwards is entitled to summary judgment on these grounds as well. The truth is the record is entirely devoid of any evidence to support Epstein's claims and is completely and consistently corroborative of Edwards' s sworn assertion of innocence. Put simply, Epstein has.made allegations that have no basis in fact. To the contrary, his lawsuit was merely a desperate measure by a serial pedophile to prevent being held accountable for repeatedly sexually abusing minor females. Epstein's ulterior motives in filing and prosecuting this lawsuit are blatantly obvious. Epstein's behavior is another clear demonstration that he feels he lives above the law and that because of his wealth he can manipulate the system and pay for lawyers to do his dirty work - even to the extent of having them assert baseless claims against other members of the Florida Bar. Epstein's Second Amended Complaint against Edwards is nothing short of a far-fetched fictional fairy-tale with absolutely no evidence whatsoever to support his preposterous claims. It was his last ditch effort to escape the public disclosure by Edwards and his clients of the nature, extent, and sordid details of his life as a serial child molester. Edwards's Motion for Summary Judgment should be granted without equivocation. 4
NOT A CERTIFIED COPY ARGUMENT II. EDWARDS IS ENTITLED TO SUMMARY JUDGMENT ON EPSTEIN'S CLAIM BECAUSE THERE ARE NO MATERIAL DISPUTED FACTS AND THE UNDISPUTED FACTS ESTABLISH THAT EDWARDS'S CONDUCT COULD NOT POSSIBLY FORM THE BASIS OF ANY LIABILITY IN FAVOR OF EPSTEIN A. The Summary Judgment Standard. Rule 1.510( c ), Florida Rules of Civil Procedure, provides that a court may enter summary judgment when the•pleadings, depositions and factual showings reveal that there is no genuine issue of material fact and that the moving party is entitled to judgment as a matter of law. See Snyder v. Cheezem Development C01p., 373 So. 2d 719, 720 (Fla. 2d DCA 1979); Rule 1.510(c), Fla. R. Civ. P. Once the moving party conclusively establishes that the nonmoving party cannot prevail, it is incumbent on the nonmoving party to submit evidence to rebut the motion for summary judgment. See Holl v. Talcott, 191 So. 2d 40, 43 (Fla. 1966). It is not enough for the opposing party merely to assert that an issue of fact does exist. Fisel v. VVjmns, 667 So.2d 761, 764 (Fla.1996); Landers v. Milton, 370 So.2d 368,370 (Fla.1979) (same). Moreover, it is well-recognized that the non-moving party faced with a summary judgn1ent motion supported by appropriate proof may not rely on bare, conclusory assertions found in the pleadings to create an issue and thus avoid summary judgment. Instead, the party must produce counter~evidence establishing a genuine issue of material fact. See B1yant v. Shands Teaching Hospital and Clinics, Inc., 479 So.2d 165, 168 (Fla. 1st Dist. Ct. App. 1985); see also Lanzner v. City of North Miami Beach, 141 So.2d 626 (Fla. 3d Dist Ct. App. 1962) (recognizing that mere contrary allegations of complaint were not sufficient to preclude summary judgment on basis of facts established without dispute). Where the nonmoving party fails to 5
NOT A CERTIFIED COPY present evidence rebutting the motion for summary judgment and there is no genuine issue of material fact, then entry of judgment is proper as a matter of law. See Davis v. Hathaway, 408 So. 2d 688,689 (Fla. 2d Dist. Ct. App. 1982); see also Holl, 191 So. 2d at 43. B. Epstein'·s Claim Regarding Edwards Have Absolutely No Factual Basis. This is not a complicated case for granting summary judgment. To the contrary, this is a simple case for summary judgment because each and every one of Epstein's claim against Edwards lacks any merit whatsoever.1 • 1. Epstein's allegations regarding Edwards' involvement in Rothstein's "Ponzi Scheme" are unsupported and unsupportable because he was simply not involved in any such scheme. a. Edwards Had No Involvement in the Ponzi Scheme. The bulk of Epstein's claims against Edwards hinge on the premise that Edwards was involved in a Ponzi· scheme run by Scott Rothstein. Broad allegations of wrongdoing on the part of Edwards are scattered willy-nilly throughout the complaint. None of the allegations provide any substance as to how Edwards actually assisted the Ponzi scheme, and allegations that he "knew or should have known" of its existence are based upon an impennissible pyramiding of inferences. In any event, these allegations all fail for one straightforward reason: Edwards was simply not involved in any Ponzi scheme. He has provided sworn testimony and an affidavit in support of that assertion, and there is not ( and could never be) any contrary evidence. Edwards has now been deposed at length in this case. As his deposition makes crystal clear, he had no knowledge of any fraudulent activity in which Scott Rothstein may have been 1 A decision by the Court to grant summary judgment on Epstein's claims against Edwards would not affect Epstein's claims against Scott Rothstein. Epstein has already chosen to dismiss all of his claims against L.M., the only other defendant named in the suit. ...
NOT A CERTIFIED COPY involved. See, e.g., ·Edwards Depo. at 301-02 (Q: " ... [W]ere you aware that Scott Rothstein was trying to market Epstein cases ... ?" A: "No."). Edwards has supplemented his deposition answers with an Affidavit that declares in no uncertain tern1s his lack of involvement in any fraud perpetrated by Rothstein. See, e.g., Edwards Affidavit attached to Statement of Undisputed Material Facts as Exhibit ''N" at if8-10, ,r20, if22-23. Indeed, no reasonable juror could find that Edwards was involved in the scheme, as Edwards joined RRA well after Rothstein began his fraud and would have been already deeply in debt. In fact, the evidence of Epstein's crimes is now clear, and Edwards's actions in this case were entirely in keeping with his obligation to provide the highest possible quality of legal representation for his clients to obtain the best result possible. In view of this clear evidence rebutting all allegations against him, Epstein must now "produce counter-evidence establishing a genuine issue of material fact." See B1yant v. Shands Teaching Hospital and Clinics, Inc., 479 So.2d 165, 168 (Fla. 1st Dist. Ct. App. 1985). Epstein cannot do this. Indeed, when asked at his deposition whether he had any evidence of Edwards's involvement, Epstein declined to answer, purportedly on attorney-client privilege grounds: Q. I want to know whether you have any knowledge of evidence that Bradley Edwards personally ever participated in devising a plan through which were sold purported confidential assignments of a structured payout settlement? ... A. I'd like to answer that question by saying that the newspapers have reported that his firm was engaged in fraudulent structured settlements in order to fleece unsuspecting Florida investors. With respect. to my personal knowledge, I'm unfortunately going to, today, but I look forward to at some point being able to disclose it, today I'm going to have to assert the attorney/client privilege...
NOT A CERTIFIED COPY b. Epstein's Allegations of Negligence by Edwards are Unfounded and Not Actionable in Any Event. In his Second Amended Complaint Epstein recognizes at least the possibility that Edwards was not involved in any Rothstein Ponzi scheme. Therefore, seemingly as a fallback, Epstein alleges without explanation that Edwards "should have known" about the existence of this concealed Ponzi scheme. Among other problems, this fallback negligence position suffers the fatal flaw that it does not link at all to the intentional tort of abuse of process alleged in the complaint. Epstein's negligence claim is also deficient because it simply fails to satisfy the requirements for a negligence cause of action: "Four elements are necessary to sustain a negligence claim: 1. A duty, or obligation, recognized by the law, requiring the [defendant] to conform to a certain standard of conduct, for the protection of others against unreasonable risks. 2. A failure on the [defendant's] part to confonn to the standard required: a breach of the duty . . . . 3. A reasonably close causal connection between he conduct and the resulting injury. This is what is commonly known as 'legal cause,' or 'proximate cause,' and which includes the notion of cause in fact. 4. Actual loss or damage. Curd v. Mosaic Fertilizer, LLC, _ So.2d _, 2010 WL 2400384 at *9 (Fla. 2010). Epstein does not allege a particular duty on the part of Edwards that has been breached. Nor does Epstein explain how any breach of the duty might have proximately caused him actual damages. Summary judgment is therefore appropriate for these reasons as well. Finally, for the sake of completeness, it is worth noting briefly that no reasonable jury could find Edwards to have been negligent in failing to anticipate that a managing partner at his law firm would be involved in an unprecedented Ponzi scheme. Scott Rothstein deceived not 8
NOT A CERTIFIED COPY
only Edwards but also more than 60 other reputable lawyers at a major law film.
Cf. Sun
Sentinel, Fort Lauderdale, Dec. 11, 2009, 2009 WLNR 25074193 at *1 ("Sure, some outlandish
John Grisham murder plot[s] sound far-fetched. But if you asked me a few months ago if Scott
Rothstein was fabricating federal court orders and forging a judge's signature on documents to
allegedly fleece his friends, as federal prosecutors allege, I would have said that was far-fetched,
too:"). No reasonable lawyer could have expected that a fellow member of the bar would have
been involved in such a plot. Nobody seemed to know ofRothstein's Ponzi scheme, not even his
best friends, or the people he did business with on a daily basis, or even his wife. Many of the
attorneys at RRA h~d been there for years and knew nothing. Edwards was a lawyer at RRA for
less than 8 months and had very few personal encounters with Rothstein during his time at the
firn1, yet Epstein claims that he should have known of Rothstein's intricate Ponzi scheme. No
doubt for this reason the U.S. Attorney's Office has now listed Edwards as a "victim" of
Rothstein' s crimes .. See Statement of Undisputed Facts filed contemporaneously.
Epstein's Complaint does not offer any specific reason why a jury would conclude that
Edwards was negligent, and he chose not to offer any explanation of his claim at his deposition.
Accordingly, Edwards is entitled to summary judgment to the extent the claim against him is
somehow dependent upon his negligence in failing to discover Rothstein's Ponzi scheme.
2.
Edwards is Entitled to Summary Judgment to the Extent the Claim Against
Him is Dependent on Allegations Regarding "Pumping the Cases" Because
He Was Properly Pursuing the Interests of His Three Clients Who Had Been
Sexually Abused by Epstein.
Epstein alleges that Edwards somehow improperly enhanced the value of the three civil
cases he had filed against Epstein. Edwards represented thre...
NOT A CERTIFIED COPY mmors. Epstein purports to fmd a cause of action for this by alleging that Edwards somehow was involved in '"pumping' these three cases to investors." As just explained, to the extent that Epstein is alleging that Edwards somehow did something related to the Ponzi scheme, those allegations fail for the simple reason that Edwards was not involved in any such scheme. Edwards, for example, could not have possibly "pumped" the cases to investors when he never participated in any communication with investors. Epstein's "pumping" claims, however, fail for an even more basic reason: Edwards was entitled - indeed ethically obligated as an attorney - to secure the maximum recovery for his clients during the course of his legal representation. As is well lmown, "[a]s an advocate, a lawyer zealously asserts the client's position under the rules of the adversary system." Fla. Rules of Prof. Conduct, Preamble. Edwards therefore was required to pursue (unless otherwise instructed by his clients) a maximum recovery against Epstein. Edwards, therefore, cannot be liable for doing something that his ethical duties as an attorney required.2 Another reason that Epstein's claims that Edwards was "pumping" cases for investors fails is that Edwards filed all three cases almost a year before he was hired by RR.A or even lmew of Scott Rothstein. Epstein makes allegations that the complaints contained sensational allegations for the purposes of luring investors; however, language in the complaints remained virtually unchanged from the first filing in 2008 and from the overwhelming evidence the Court cari see for itself that all of the facts alleged by Edwards in the complaints were true. Epstein ultimately paid to settle all three of the cases Edwards filed against him for more money than he paid to settle any of the other claims against him. At Epstein's request, the terms 2 In a further effort to harass Edwards, Epstein also filed a bar complaint...
NOT A CERTIFIED COPY of the settlement were kept confidential. The sum that he paid to settle all these cases is therefore not filed with this pleading and will be provided to the court for in-camera review. Epstein chose to make this payment as the result of a federal court ordered mediation process, which he himself sought ( over the objection of Jane Doe, Edwards' client in federal court) in an effort to resolve the case. See Defendant's Motion for Settlement Conference, or in the Alternative, Motion to Direct Parties back to Mediation, Doe v. Epstein, No. 9:08-CV-80893 (S.D. Fla. J:une 28, 2010) (Marra, J.) (doc. #168) attached hereto as Exhibit "A". Notably, Epstein sought this settlement conference - and ultimately made his payments as a result of that conference - in July 2010, more than seven months after he filed this lawsuit against Edwards. Accordingly, Epstein could not have been the victim of any scheme to "pump" the cases against him, because he never paid to settle the cases until well after Edwards had left RRA and had severed all com1ection with Scott Rothstein (December 2009). In addition, if Epstein had thought that there was some improper coercion involved in, for example, Jane Doe's case, his remedy was to raise the matter before Federal District Court Judge Kenneth A. Marra who was presiding over the matter. Far from raising any such claim, Epstein simply chose to settle that case. He is therefore now barred by the doctrine of res judicata from somehow re-litigating what happened in (for example) the Jane Doe case. "The doctrine of res judicata makes a judgment on the merits conclusive 'not only as to every matter which was offered and received to sustain or defeat the claim, but as to every other matter which might with propriety have been litigated and determined in that action." AMEC Civil, LLC v. State Dept. of Transp., _ So.2d _, 2010 WL 1542634 at *2 (Fla. 1st Dist. Ct. App. 2010) (quoting Kimbrell v. Paige, 448 So....
NOT A CERTIFIED COPY particular case could have been resolved in that ve,y case rather than now re-litigated in satellite litigation. 3. Edwards is Entitled to Summary Judgment on the Claim of Abuse of Process Because He Acted Properly Within the Boundaries of the Law in Pursuit of the Legitimate Interests of his Clients. Epstein's Second Amended Complaint raises several claims of "abuse of process." An abuse of process claim requires proof of three elements: "(l) that the defendant made an illegal, improper, or perverted use of process; (2) that the defendant had ulterior motives or purposes in exercising such illegal, improper, or perverted use of process; and (3) that, as a result of such action on the part of the defendant, the plaintiff suffered damage." S & I Investments v. Payless Flea Market, Inc., 36 So.3d 909, 917 (Fla. 4th Dist. Ct. App. 2010) (internal citation omitted). In fact, this Court is very familiar with this cause of action, as Edwards has correctly stated this cause in his counterclaim against Epstein. Edwards is entitled to summary judgment because Epstein cam1ot prove these elements. The first element of an abuse of process claim is that a defendant made "an illegal, improper, or perverted use of process." On the surface, Epstein's Complaint appears to contain several allegations of such improper process. On examination, however, each of these allegations amounts to nothing other than a claim that Epstein was unhappy with some discovery proceedi~g, motion or argument made by Edwards. This is not the stuff of an abuse of pro'cess claim, particularly where Epstein fails to allege that he was required to do something as the'result of Edwards' pursuit of the claims against him. See Marty v. Gresh, 501 So.2d 87, 90 (Fla. 1st Dist. Ct. App. 1987) (affirming summary judgment on an abuse of process claim where "appellant's lawsuit. caused appellee to do nothing against her will"). 12
NOT A CERTIFIED COPY In any event, none of the allegations of "improper" process can survive summary judgment scrutiny, because every action Edwards took was entirely proper and reasonably calculated to lead to the successful prosecution of the pending claims against Epstein as detailed in Edwards' Affidavit. Epstein also fails to meet the second element of an abuse of process claim: that Edwards had some sort of ulterior motive. The case law is clear that on an abuse of process claim a "plaintiff must prove that the process was used for an immediate purpose other than that for which it was designed." S&I Investments v. Payless Flea Market, Inc., 36 So.3d 909, 917 (Fla. 4th Dist. Ct. App. 2010) (citing Biondo v. Powers, 805 So.2d 67, 69 (Fla. 4th Dist. Ct. App. 2002). As . a consequence, "[ w ]here the process was used to accomplish the result for which it was intended, regardless of an incidental or concurrent motive of spite or ulterior purpose, there is no abuse of process." Id. (internal quotation omitted). Here, Edwards has fully denied any improper motive, See Statement of Undisputed Facts, and Epstein has no evidence of any such motivation. Indeed, it is revealing that Epstein chose not to ask even a single question about this subject during the deposition of Edwards. In addition, all of the actions that Epstein complains about were in fact used for the immediate purpose of furthering the lawsuits filed by L.M., E.W., and Jane Doe. In other words, these actions all were both intended to accomplish and, in fact, successfully "accomplished the results for which they were intended" -- whether it was securing additional discovery or presenting a legal issue to the court handling the case or ultimately maximizing the recovery of damages from Epstein on behalf of his victims. Accordingly, Edwards is entitled to summary judgment on any claim that he abused process for this reason as well. 13
NOT A CERTIFIED COPY 4. Edwards is Entitled to Summary Judgment to the Extent His Claim is Based On Pursuit of Discovery Concerning Epstein's Friends Because All Such Efforts Were Reasonably Calculated to Lead to Relevant and Admissible Testimony About Epstein's Abuse of Minor Girls. Epstein has ~lso alleged that Edwards improperly pursued discovery from some his close friends. Such discovery, Epstein claims, was improper because Edwards knew that these individuals lacked any discoverable information about the sexual assault cases against Epstein. Here again, Edwards is entitled to summary judgment, as each of the friends of Epstein were reasonably beFeved to possess discoverable information. The undisputed facts show the following with regard to each of the persons raised in Epstein's complaint: • With regard to Donald Trump, Edwards had sound legal basis for believing Mr. Trump had relevant and discoverable information. See Statement of Undisputed Facts. • With regard to Alan Dershowitz (Harvard Law Professor), Edwards had sound legal basis for believing Mr. Dershowitz had relevant and discoverable information. See Statement of Undisputed Facts. = With regard to fonner President Bill Clinton, Edwards had sound legal basis for believing former President Clinton had relevant and discoverable information. See Statement of Undisputed Facts. • With regard to fom1er Sony Record executive Tommy Mottola, Edwards was not the attorney that noticed Mr. Mottola's deposition. See Statement of Undisputed Facts. • With regard to illusionist David Copperfield, Edwards had sound legal basis for believing Mr. Copperfield had relevant and discoverable information. See Statement of Undisputed Facts. • With regard to former New Mexico Governor Bill Richardson, Edwards had sound legal basis for naming Forn1er New Mexico Governor Bill Richardson on his witness list. See Statement of Undisputed Facts. It is worth noting that the standard for discovery ...
NOT A CERTIFIED COPY admissible evidence. Otherwise, every deposition that tumed out to be a false alarm would lead to an "abuse of process" claim. Moreover, the rules of discovery themselves provide that a deposition need only be "reasonably calculated to lead to the discovery of admissible evidence." Fla. R. Civ. P. 1.280(b) (emphasis added). Moreover, the discovery that Edwards pursued has to be considered against the backdrop of Epstein's obstructionist tactics. As the Court is aware, in both this case and all other cases filed against him, Epstein has asserted his Fifth Amendment privilege rather than answer any substantive questions. Epstein has also helped secure attomeys for his other household staff who assisted in the process of recruiting the minor girls, who in tum also asserted their Fifth Amendment rights rather than explain what happened behind closed doors in Epstein's mansion in West Palm Beach. See Statement of Undisputed Facts. It is against this backdrop that Edwards followed up on one of the only remaining lines of inquiry open to him: discovery aimed at Epstein's friends who might have been in a position to corroborate the fact that Epstein was sexually abusing young girls. In the context of the sexual assault cases that Edwards had filed against Epstein, any act of sexual abuse had undeniable relevance to the case - even acts of abuse Epstein committed against minor girls other than L.M., E.W., or Jane Doe. Both federal and state evidence rules make acts of child abuse against other girls admissible in the plaintiff's case in chief as proof of "modus operandi" or "motive" or "common scheme or plan." See Fed. R. Evid. 415 (evidence of other acts of sexual abuse automatically admissible in a civil case); Fla. Stat. Ann. 90.404(b) (evidence of common scheme admissible); Williams v. State, 110 So.2d 654 (Fla. 1959) (other acts of potential sexual misconduct admissible). 15
NOT A CERTIFIED COPY A second reason exists for making discovery of Epstein's acts of abuse of other minor girls admissible. Juries considering punitive damages issues are plainly entitled to consider "the existence and :frequency of similar past conduct." TXO Production C01p. v. Alliance Resources C01p., 509 U.S. 443, 462 n.28 (1993). This is because the Supreme Court recognizes "that a recidivist may be punished more severely than a first offender ... [because] repeated misconduct is more reprehensible than an individual instance of malfeasance." BMW of North America, Inc. v. Gore, 517 U.S. 559,577 (1996) (supporting citations omitted). In addition,juries can consider other similar acts evidence as part of the deterrence calculation in awarding punitive damages, because "evidence t.hat a defendant has repeatedly engaged in prohibited conduct while knowing ... that it was unlawful would provide relevant support for an argument that strong medicine is required to cure the defendant's disrespect for the law." Id. at 576-77. In the cases Edwards filed against Epstein, his clients were entitled to attempt to prove that Epstein "repeatedly engaged in prohib~ted conduct" - i.e., because he was a predatory pedophile, he sexually assaulted dozens and dozens of minor girls. The discovery of Epstein's friends who might have haci direct or circumstantial evidence of other acts of sexual assault was accordingly entirely proper. Edwards is therefore entitled summary judgment to the extent his claim is based on efforts by Edwards to obtain discovery of Epstein's friends. m. EPSTEIN'S LA WSIDT MUST BE DISMISSED BECAUSE OF ms REFUSAL TO PARTICIPATE IN REASONABLE DISCOVERY. As is readily apparent from the facts of this case, Epstein has filed a lawsuit but then refysed to allow any real discovery about the merits of his case. Instead, when asked hard questions about whether he has any legitimate claim at all, Epstein has hidden behind the Fifth 16
NOT A CERTIFIED COPY Amendment. As a result, under the "sword and shield doctrine" widely recognized in Florida caselaw, his suit must be dismissed. "[T]he law is well settled that a plaintiff is not entitled to both his silence and his lawsuit." Boys & Girls Clubs of Marion County, Inc. v. J.A., 22 So.3d 855, 856 (Fla. 5th Dist. Ct. App. 2009) (Griffin, J., concurring specially). Thus, "a person may not seek affirmative relief in a civil action and then invoke the fifth amendment to avoid giving discovery, using the fifth amendment as both a 'sword and a shield."' DePalma v. DePalma, 538 So.2d 1290, 1290 (Fla. 4th Dist. Ct. App. 1989) (quoting DeLisi v. Bankers Insurance Co., 436 So.2d 1099 (Fla. 4th Dist. Ct. App. 1983)). Put another way, "[a] civil litigant's fifth amendment right to avoid self- incrimination may be used as a shield but not a sword. This means that a plaintiff seeking aff:irmative relief in a civil action may not invoke the fifth amendment and refuse to comply with the defendant's discovery requests, thereby thwarting the defendant's defenses." Rollins Burdick Hunter of New York, Inc. v. Euroclassic Limited, Inc., 502 So. 2d 959 (Fla. 3rd Dist. Court App. 1983). Here, Epstein is trying to do precisely what the "well settled" law forbids. Specifically, he is trying to obtain "affirmative relief' - i.e., forcing Edwards to pay money damages -while simultaneously precluding Edwards from obtaining legitimate discovery at the heart of the allegations that form the basis for the relief Epstein is seeking. As recounted more fully in the statement of undisputed facts, Epstein has refused to answer such basic questions about his lawsuit as: • "Specifically what are the allegations against you which you contend Mr. Edw~rds ginned up?" 111 "Well, which of Mr. Edwards' cases do you contend were fabricated?" 17
NOT A CERTIFIED COPY 11 "Is there anything in L.M. 's Complaint that was filed against you in September of 2008_ which you contend to be false?" 11 "I would like to lmow whether you ever had any physical contact with the person referred to as Jane Doe in that [federal] complaint?" • "Did you ever have any physical contact with E.W.?" • "What is the actual value that you contend the claim of E.W. against you has?" The matters addressed in these questions are the central focus of Epstein's claims against Edwards. Epstein's refusal to answer these and literally every other substantive question put to him in discovery has deprived Edwards of even a basic understanding of the evidence alleged to support claims against him. Moreover, by not offering any explanation of his allegations, Epstein is depriving Edwards of any opportunity to conduct third party discovery and opportunity to challenge Epstein's allegations. It is the clear law that "the chief purpose of our discovery rules is to assist the truth- finding function of our justice system and to avoid trial by surprise or ambush," Scipio v. State, 928 So.2d 1138 (Fla.2006), and "full and fair discovery is essential to these important goals," McFadden v. State, 15 So.3d 755, 757 (Fla. 4th Dist. Ct. App. 2009). Accordingly, it is important for the Court to insure "not only compliance with the technical provisions of the discovery rules, but also adherence to the purpose and spirit of those rules in both the criminal and civil context." McFadden, 15 So.3d at 757. Epstein has repeatedly blocked "full and fair discovery," requiring dismissal of his claim against Edwards. 18
NOT A CERTIFIED COPY IV. EDWARDS IS ENTITLED TO ADVERSE INFERENCES FROM EPSTEIN'S INVOCATION OF THE FIFTH AMENDMENT AND THEREFORE TO SUMMARY JUDGMENT ON EPSTEIN'S CLAIM. Edwards is entitled to summary judgment on the claim against him for a second and entirely independent reason: Epstein's repeated invocations of the Fifth Amendment raise adverse inferences against him that leave no possibility that a reasonable factfinder could reach a verdict in his favor. In ruling on a summary judgment motion, the court must fulfill a "ga:tekeeping function" and should ask whether "a reasonable trier of fact could possibly" reach a verdict in favor of the plaintiff. Willingham v. City of Orlando, 929 So.2d 43, 48 (Fla. 5th Dist. Ct. App. 2006) ( emphasis added). Given all of the inferences that are to be drawn against Epstein, no reasonable finder of fact could conclude that Epstein was somehow the victim of improper civil lawsuits filed against him. Instead, a reasonable finder of fact could only find that Epstein was a serial molester of children who was being held accountable through legitimate suits brought by Edwards and others on behalf of the minor girls that Epstein victimized. "[I]t is well-settled that the Fifth Amendment does not forbid adverse inferences against parties to civil actions when they refuse to testify in response to probative evidence offered against them." Baxter v. Palmigiano, 425 U.S. 308, 318 (1976); accord Vasquez v. State, 777 So.2d 1200, 1203 (Fla. App. 2001). The reason for this rule "is both logical and utilitarian. A party may not trample upon the rights of others and then escape the consequences by invoking a constitutional privilege - at least not in a civil setting." Fraser v. Security and Inv. C01p., 615 So.2d 841, 842 (Fla. 4th Dist. Ct. App. 1993). And, in the proper circumstances, '"Silence is often evidence of the most persuasive character."' Fraser v. Security and Inv. Co1p., 615 So.2d 19
NOT A CERTIFIED COPY 841, 842 (Fla. 4th Dist. Ct. App. 1993) (quoting United States ex rel. Bilolaansky v. Tod, 263 U.S. 149, 153-154 (1923) (Brandeis, J.). In the circumstances of this case, a reasonable finder of fact would have "evidence of the most persuasive character" from Epstein's repeated refusal to answer questions propounded to him. To provide but a few examples, here are questions that Epstein refused to answer and the reasonable inference that a reasonable fmder of fact would draw: • Question not answered: "Specifically what are the allegations against you which you contend Mr. Edwards ginned up?" Reasonable inference: No allegations against Epstein were ginned up. • Question not answered: "Well, which of Mr. Edwards' cases do you contend were fabricated?" Reasonable inference: No cases filed by Edwards against Epstein were fabricated. • Question not answered: "Did sexual assaults ever take place on a private airplane on which you were a passenger?" Reasonable inference: Epstein was on a private airplane while sexual assaults were taking place. • Question not answered: "How many minors have you procured for prostitution?" Reasonable inference: Epstein has procured multiple minors for prostitution. • Question not answered: "Is there anything in L.M. 's Complaint that was filed against you in September of 2008 which you contend to be false?" Reasonable inference: Nothing in L.M. 's complaint filed in September of 2008 was false - i.e., as alleged in L.M. 's complaint, Epstein repeatedly sexually assaulted her while she was a minor and she was entitled to substantial compensatory and punitive damages as a result. • Question not answered: "I would like to know whether you ever had any physical contact with the person referred to as Jane Doe in that [federal] complaint?" Reasonable inference: Epstein had physical contact with minor Jane Doe as alleged in her federal complaint. • Question not answered: "Did you ever have any p...
NOT A CERTIFIED COPY E.W. against you has?" Reasonable inference: E.W. 's claim against Epstein had substantial actual value. Without repeating each and every invocation of the Fifth Amendment that Epstein has made and the reasonable inferences to be drawn from those invocations of privilege, the big picture is unmistakably clear: No reasonable finder of fact could rule in Epstein's favor on his claims against Edwards. Accordingly, Edwards is entitled to summary judgment based on the Fifth Amendment inferences that the Jury would draw. The inferences against Epstein are not limited to those ansmg from his privilege assertions. Epstein's guilt is also reasonably infe1Ted from his harassment of, intimidation of, efforts to exercise control over, and limitation of access to witnesses who might testify against him. Epstein's efforts to intimidate his victims support the inference that Epstein knew that they were going to provide compelling testimony against him. The evidence that Epstein tampered with witnesses (later designated as his accomplices and co-conspirators) will be admissible to demonstrate his consciousness of guilt. "[I]t is precisely because of the egregious nature of such conduct that the law expressly permits the jury to make adverse inferences from a partJ's efforts to intimidate witnesses .... " Jost v. Ahmad, 730 So.2d 708, 711 (Fla. 2nd Dist. Ct. App. 1998) (internal quotation omitted). To be clear, Epstein's attempt to tamper with witnesses is "not simply admissible as impeachment evidence of the tampering party's credibility. The opposing party is entitled to introduce facts regarding efforts to intimidate a witness as substantive evidence." Id. at 711 (emphasis in original) (internal citation omitted). This substantive evidence of Epstein's witness intimidation provides yet another reason why no reasonable jury could find in favor of his claims against Edwards. 21
NOT A CERTIFIED COPY V. EDWARDS IS ENTITLED TO SUMMARY JUDGMENT ON THE BASIS OF ms AFFIRMATIVE DEFENSE OF PRIVILEGE Absolute immunity must be afforded any act occurring during course of judicial proceeding, regardless of whether act involves defamatory statement or other tortious behavior, such as tortious interference with business relationship, so long as act has some relationship to proceeding. See Levin, Middlebrooks, Mabie, Thomas, Mayes & Mitchell, P.A. v. U.S. Fire Ins. Co., 639 So. 2d 606 (Fla. 1994). The immunity afforded to statements made during the course of a judicial proceeding extends not only to the parties in a proceeding but to judges, witnesses, and counsel as well. Id. The litigation privilege applies in all causes of action, whether for common- law torts or statutory violations. See Echevarria, McCalla, Raynier, Barrett & Frappier v. Cole, 950 So. 2d 3 80 (Fla. 2007). Defamatory statements made by lawyer while interviewing a witness in preparation for and connected to pending litigation are covered by the absolute immunity conferred by the litigation privilege. See DelMonico v. Traynor, 50 So. 3d 4 (Fla. Dist. Ct. App. 4th Dist. 2010), review granted, 47 So. 3d 1287 (Fla. 2010). The privilege extends to statements in judicial proceedings or those "necessarily preliminary thereto. See Stewart v. Sun Sentinel Co., 695 So.2d 360 (Fla. 4th DCA 1997)(an attorney's delivery of a copy of a notice of claim to a reporter, which notice was a required filing prior to instituting suit, was protected by absolute immunity). CONCLUSION For all the foregoing reasons, defendant, the Court should grant defendant Bradley J. Edwards, Esq., summary judgment in his favor on the only remaining claim filed against him by plaintiff Jeffrey Epstein, and any other relief that the Court deems just and proper. 22
NOT A CERTIFIED COPY CERTIFICATE OF SERVICE /1).j)._/ I HEREBY CERTIFY that on November _V_, 2011 a copy of the foregoing has been served via Fax and U.S. Mail to all those on the attached service list. By: Jack Scarola Searcy, Dem1ey, Scarola, Barnhart & Shipley 2139 Palm Beach Lakes Blvd West Palm Beach, FL 33409 (561) 68 - (561 84-581 (fax) 23
NOT A CERTIFIED COPY Christopher E. Knight, Esq. Joseph L. Ackerman, Esq. FOWLER WHITE BURNETT P.A. 901 Phillips Point West 777 South Flagler Drive W~st Palm Beach, FL 33401 Jack Alan Goldberger, Esq. Atterbury Goldberger et al. 250 Australian Avenue South Suite 1400 West Palm Beach, FL 33401 Mate S. Nurik, Esq. Law Offices of Marc S. Nurik One E. Broward Blvd., Suite 700 Fort Lauderdale, FL 33301 Gary M. Farmer, Jr: Farmer, Jaffe, Weissing, Edwards, Fistos & Lehi71lan, P .L. 425 N. Andrews Ave., Suite 2 Fort Lauderdale, FL 33301 SERVICE LIST 24
NOT A CERTIFIED COPY IN THE CIRCUIT COURT OF THE FIFTEENTH JUDICIAL CIRCUIT, IN AND FOR PALM BEACH COUNTY, FLORIDA CASE NO.: 502009CA040800XXXXMBAG JEFFREY EPSTEIN, Plaintiff( s), vs. SCOTT ROTHSTEIN, individually, BRADLEY J. EDWARDS, individually, and L.M., individually, Defendant( s ). __ __ ., _ :;COUNTER-PLAINTIFF; EDWARDS' SEC-OND RENEWED MOTI0.N--FOR.LEAVE TO • ASSERT CLAIM FOR PUNITIVE DAMAGES Counter-plaintiff, BRADLEY J. EDWARDS, moves this Honorable Court for entry of an Order granting him leave to assert a claim for punitive damages against the Counter-defendant, ·JEFFREY EPSTEIN, and in support thereof would show that the evidence summarized herein satisfies the statutory prerequisites for the assertion of a punitive damage claim. Specifically, the . evidence establishes that EPSTEIN's Complaint against EDWARDS; 1. was filed in the total absence of evidence to support any allegation of wrongdoing on the part of EDWARDS; 2. was filed in the total absence of evidence that EPSTEIN had sustained damage as a consequence of any misconduct other than his own well-established criminal enterprise; 3. was filed in the absence of any intention to meet his own obligation to provide relevant and material discovery; EXHIBIT C
NOT A CERTIFIED COPY
Edwards adv. Epstein
Case No.: 502009CA040800XXXXMBAG
Second Renewed Motion for Leave to Assert Claim for Punitive Damages
4.
was filed for the sole purpose of attempting to intimidate both EDWARDS and
EDWARDS' clients and others into abandoning their legitimate claims against
EPSTEIN.
APPLICABLE LAW
To plead a claim for punitive damages, the claimant must show a "reasonable basis" for
the recovery of such damages. See Fla.R.Civ.P. 1.190(£); see also Globe Newspaper Co. v. King,
658 So.2d 518, 520 (Fla. 1995). The showing required to amend is minimal. As stated in State
a/Wis. Inv. v. Plantation Squa_i:~-Assoc., 761 F. Supp. 15'?9, 1580 (S-.D. Fla.---1991):-
--·-·
[T] he court:freli-lveslff'hiust ufrhiiately be-a iesset standard than that required for-
summary judgment. Though the burden is on [the plaintiff] to survive a §768. 72
challenge of insufficiency, see Will v. Systems Engineering Consultants, 554
So.2d 591, 592 (Fla. 3rd DCA 1989), the standard of proof required to assert
Plaintiff's punitive claim must be lower than that needed to survive a summary
adjudication on its m~pts. As the Florida courts have noted, a §768.72 challenge
more closely resembles a motion to dismiss that additionally requires an
evidentiary proffer and places the burden of persuasion on the plaintiff. Id. In
considering a motion to dismiss, factual adjudication is inappropriate as all facts
asserted-or here, reasonably established-by the plaintiff are to be taken as true.
Conley v. Gibson, 355 U.S. 41, at 45-46, 78 S. Ct. 99, at 101-102, 2 L.Ed. 2d 80,
1581 at 84. As such, the court has given recognition only to those assertions of
the defendants which would show Plaintiff's factual bases to be patently false or
irrelevant, and has paid no heed whatsoever to the defendants' alternative
evidentiary proffers.
State of Wis. Inv., 761 F. Supp. At 1580; see also Dolphin Cove Assn. v. Square D. Co., 616 So.
2d 553 (Fla. 2d DCA 1993) ("Prejudgi...
NOT A CERTIFIED COPY Edwards adv. Epstein Case No.: 502009CA040800XXXXMBAG Second Renewed Motion for Leave to Assert Claim for Punitive Damages Section 768.72 provides for the amendment of a complaint either through evidence in the record or "proffered by the claimant." As the statute suggests, a proffer of evidence in support of a punitive damage claim is sufficient and a formal evidentiary hearing is not required. See Strasser v. Yalmanchi, 677 So.2d 22, 23 (Fla. 4th DCA 1996), rev. dismissed, 699 So.2d 1372 (Fla. 1997); Solis v. Calvo, 689 So.2d 366,369, n.2 (Fla. 3d DCA 1997). In fact, a hearing is not even required provided the trial court identifies the filings of the parties and indicates that its decision to grant the motion is based upon a review of the file and the respective documents -- filed. •-theUriitedBtiitesDistrictCourt for the Middle-District of Florida has spoken-clearly on_; the nature of a proffer in support of a motion to amend to assert a claim for punitive damages in Royal Marco Point I Condo. Ass'n, Inc. v. QBE Ins. Corp., 2010 WL 2609367 (M.D. Fla. June 30, 2010). As the Court stated:''· It is important to emphasize, at the outset, the limited nature of the review a court may undertake in considering the sufficiency of an evidentiary proffer under Fla. Stat. §768.72. Courts reviewing such proffers have recognized that "a 'proffer' according to traditional notions of the term, connotes merely an 'offer' of evidence and neither the term standing alone nor the statute itself calls for an adjudication of the underlying veracity of that which is submitted, much less for countervailing evidentiary submissions." Estate of Despain v. Avante Group, Inc., 900 So.2d 63 7, 642 (Fla. 5th DCA 2005) ( quoting State of Wisconsin Investment Board v. Plantation Square Associates, Ltd., 761 F. Supp. 1569, 1581 n. 21 (S.D. Fla. 1991)). Therefore, "an evidentiary hearing where witnesses testify and evidence is offered and scrutinized ...
NOT A CERTIFIED COPY Edwards adv. Epstein Case No.: 502009CA040800XXXXMBAG Second Renewed Motion for Leave to Assert Claim for Punitive Damages It is thus neither necessary nor appropriate for a court to make evidentiary rulings, weigh rebuttal evidence, or engage in credibility determinations in considering the sufficiency of the proffer. " ... a proffer should be evaluated by standards akin to those governing a motion to dismiss, where the truth of the plaintiff's allegations are assumed, and not the more rigorous summary judgment standard, where the opposing party must show that there is sufficient admissible evidence in the record to support a reasonable jury finding in his favor." I. INTRODUCTION --- ,;The pleadings and discovery taken to date as confirmed by Epstein's voluntary dismissal- ·of aH: ;claims bi-oughf"by him againsFBradleya: Edwards, show that there: is>an -absence of - competent evidence to demonstrate that Edwards participated in any fraud against Epstein, show the propriety of every aspect of Edwards' involvement in the prosecution of legitimate claims against Epstein, and further support the conclusion that Epstein sued Edwards out of malice and for the purpose of intending to intimidate Edwards and Edwards' clients into abandoning or compromising their legitimate claims against Epstein. Epstein sexually abused three clients of Edwards -L.M., E.W., and Jane Doe- and Edwards properly and successfully represented them in a civil action against Epstein. Nothing in Edwards's capable and competent representation of his clients could serve as the basis for a civil lawsuit against him. Allegations about Edwards's participation in or knowledge of the use of the civil actions against Epstein in a "Ponzi Scheme" were never supported by probable cause or any competent evidence and could never be supported by competent evidence as they are entirely false. 4
NOT A CERTIFIED COPY
Edwards adv. Epstein
Case No.: 502009CA040800XXXXMBAG
Second Renewed Motion for Leave to Assert Claim for Punitive Damages
A.
Epstein's Complaint
Epstein's Second Amended Complaint essentially alleged that Epstein was damaged by
Edwards, acting in concert with Scott Rothstein (President of the Rothstein Rosenfeldt Adler law
firm ("RR.A") where Edwards worked for a short period of time). Epstein appeared to allege that
Edwards joined Rothstein in the abusive prosecution of sexual assault cases against Epstein to
"pump" the cases to Ponzi scheme investors. As described by Epstein, investor victims were
told by Rothstein that three minor girls who were sexually assaulted by Epstein: L.M., E.W., and
Jane Doe were to be paid up-front money to prevent those girls• from settling their- ·civil cases
, --,~" -
i:=•· , -.~:.,:,against· Epstein.
In Epstein ':s: view, · these child sexual assaulFcases ~,.hacl ·"minimal value" -
- --
(Complaint & 42(h)), and Edwards's refusal to force his clients to accept modest settlement
offers was claimed to breach some duty that Edwards owed to Epstein. Interestingly, Epstein
• never states·that he actually made any settlement offers.
The supposed "proof' of the Complaint's allegations against Edwards includes
Edwards's alleged contacts with the media, his attempts to obtain discovery from high-profile
persons with whom Epstein socialized, and use of "ridiculously inflammatory" language in
arguments in court. Remarkably, Epstein has filed such allegations against Edwards despite the
fact that Epstein had sexually abused each of Edwards' s clients and others while they were
minors. Indeed, in discovery Epstein has asserted his Fifth Amendment privilege rather than
answer questions about the extent of the sexual abuse of his many victims. Even more
remarkably, since filing his suit against Edwards, Epstein settled the three cases Edwards
handled for an amount that Epstein insisted be kept confident...
NOT A CERTIFIED COPY Edwards adv. Epstein Case No.: 502009CA040800XXXXMBAG Second Renewed Motion for Leave to Assert Claim for Punitive Damages confidentiality terms required by Epstein, the cases did not settle for the "minimal value" that Epstein suggested in his Complaint. Because Epstein relies upon the alleged discrepancy between the "minimal value" Epstein ascribed to the claims and the substantial value Edwards sought to recover for his clients, the settlement amounts Epstein voluntarily agreed to pay while these claims against Edwards were pending will be disclosed to the court in-camera. B. Summary of the Argument The claims against Bradley J. Edwards, Esq., were frivolous for at least three separate • 0reasons.·· First, because -Ep·stei:ri:~elected- to ·hide behind the"--shield of his right against self-~. :; .. _ · incrimination to preclude his disclosing any relevant information about the criminal activity at the center of his claims, he was barred from prosecuting his case against Edwards. Under the well-established "sword and shield" ,doctrine, Epstein could not legitimately seek damages from Edwards while at the same time asserting a Fifth Amendment privilege to block relevant discovery. His case was therefore subject to summary judgment and on the eve of the hearing seeking that summary judgment Epstein effectively conceded that fact by voluntarily dismissing his claims. Second, all of Edwards' conduct in the prosecution of valid claims against Epstein was protected by the litigation privilege, a second absolute legal bar to Epstein's claims effectively conceded by his voluntary dismissal. Third, and most fundamentally, Epstein's lawsuit was not only unsupported by both the applicable law, it was based on unsupported factual allegations directly contradicted by all of the 6
NOT A CERTIFIED COPY Edwards adv. Epstein Case No.: 502009CA040800XXXXMBAG Second Renewed Motion for Leave to Assert Claim for Punitive Damages record evidence. From the beginning, Edwards diligently represented three victims of sexual assaults perpetrated by Epstein. As explained in detail below, each and every one of Edwards's litigation decisions was grounded in proper litigation judgment about the need to pursue effective discovery against Epstein, particularly in the face of Epstein's stonewalling tactics. Edwards's successful representation finally forced Epstein to settle and pay appropriate damages. Effective and proper representation of child victims who have been repeatedly sexually assaulted cannot form the basis of a separate, "satellite" lawsuit, and therefore Edwards is entitled to summary judgment on these grounds as welL -·The truth-is the tecord·is entirely devoid,0f-any-evidence to support Epstein~s claims-and is completely and consistently corroborative of Edwards's sworn assertion of innocence. Put simply, Epstein made allegations that have no basis in fact. To the contrary, his lawsuit was merely a desperate measure by a serial pedophile to prevent being held accountable for repeatedly sexually abusing minor females. Epstein's ulterior motives in filing and prosecuting this lawsuit are blatantly obvious. Epstein's behavior is another clear demonstration that he feels he lives above the law and that because of his wealth he can manipulate the system and pay for lawyers to do his dirty work - even to the extent of having them assert baseless claims against other members of the Florida Bar. Every one of Epstein's Complaints against Edwards was nothing short of a far-fetched fictional fairy-tale with absolutely no evidence whatsoever to support his preposterous claims. It was his last ditch effort to escape the public disclosure by Edwards and his clients of the nature, extent, and sordid details of Epstein's life as a serial c...
NOT A CERTIFIED COPY Edwards adv. Epstein Case No.: 502009CA040800XXXXMBAG Second Renewed Motion for Leave to Assert Claim for Punitive Damages ARGUMENT II. THE RECORD AND PROFFERED EVIDENCE ESTABLISHES THAT EDWARDS'S CONDUCT COULD NOT POSSIBLY FORM THE BASIS OF ANY LIABILITY IN FAVOR OF EPSTEIN A. The Summary Judgment Standard. Rule 1.510( c ), Florida Rules of Civil Procedure, provides that a court may enter summary judgment when the pleadings, depositions and factual showings reveal that there is no genuine issue of material fact and that the moving,,party is entitled to judgment as-a-matter of'law. See· • Snyder-1i,°Cheezem Development Co,p;, ·J7J-Su~ 2d 719; 720 (Fla. 2d DCA l 97-9)fRule:J .5 l·0( c); • Fla. R. Civ. P. Once the moving party conclusively establishes that the nonmoving party cannot prevail, it is incumbent on the nonmoving party to submit evidence to rebut the motion for summary judgment. See-Holl v. -Taicott;d91 So. 2d 40, 43 (Fla. 1966). It is not enough for the' opposing party merely to assert that an issue of fact does exist. Fisel v. Wynns, 667 So.2d 761, 764 (Fla.1996); Landers v. Milton, 370 So.2d 368,370 (Fla.1979) (same). Moreover, it is well-recognized that the non-moving party faced with a summary judgment motion supported by appropriate proof may not rely on bare, conclusory assertions found in the pleadings to create an issue and thus avoid summary judgment. Instead, the party must produce counter-evidence establishing a genuine issue of material fact. See Bryant v. Shands Teaching Hospital and Clinics, Inc., 479 So.2d 165, 168 (Fla. 1st Dist. Ct. App. 1985); see also Lanzner v. City of North Miami Beach, 141 So.2d 626 (Fla. 3d Dist Ct. App. 1962) (recognizing that mere contrary allegations of complaint were not sufficient to preclude summary 8
NOT A CERTIFIED COPY Edwards adv. Epstein Case No.: 502009CA040800XXXXMBAG Second Renewed Motion for Leave to Assert Claim for Punitive Damages judgment on basis of facts established without dispute). Where the norunoving party fails to present evidence rebutting the motion for summary judgment and there is no genuine issue of material fact, then entry of judgment is proper as a matter of law. See Davis v. Hathaway, 408 So. 2d 688,689 (Fla. 2d Dist. Ct. App. 1982); see also Holl, 191 So. 2d at 43. Faced with these well-established legal principles, Epstein voluntarily dismissed his claims against Edwards on the eve of the hearing on Edwards Motion for Summary Judgment. B. Epstein's Claim Regarding Edwards Had Absolutely No Factual Basis. This was not a complicated case·for granting summary judgment; To the contrary; ·the -" a•'c-:.,c.uncontested • record clearly established that each and every one .. of""Epstein's-daims against -.""·· Edwards lacked any merit whatsoever.1 1. Epstein's allegations regarding Edwards' involvement in Rothstein's "Ponzi Scheme" were unsupported and unsupportable because Edwards was simply not involved in any such scheme. a. Edwards Had No Involvement in the Ponzi Scheme. The bulk of Epstein's claims against Edwards hinged on the premise that Edwards was involved in a Ponzi scheme run by Scott Rothstein. Broad allegations of wrongdoing on the part of Edwards were scattered willy-nilly throughout the complaint. None of the allegations provided any substance as to how Edwards actually assisted the Ponzi scheme, and allegations that he "knew or should have known" of its existence are based upon an impermissible pyramiding of inferences. In any event, these allegations all fail for one straightforward reason: 1 The dismfasal of Epstein's claims against Edwards did not affect Epstein's claims against Scott Rothstein. Epstein had already chosen to dismiss all of his claims against L.M., the only other defendant named ...
NOT A CERTIFIED COPY Edwards adv. Epstein Case No.: 502009CA040800XXXXMBAG Second Renewed Motion for Leave to Assert Claim for Punitive Damages Edwards was simply not involved in any Ponzi scheme. He has provided sworn testimony and an affidavit in support of that assertion (attached), and there is not (and could never be) any contrary evidence. Edwards was deposed at length in this case. As his deposition makes crystal clear, he had no knowledge of any fraudulent activity in which Scott Rothstein may have been involved. See, e.g., Edwards Depa. at 301-02 (Q: " ... [W]ere you aware that Scott Rothstein was trying to market Epstein cases ... ?" A: "No."). -- ,.... . Edwards --supplemented his depositi0n answers -with an Affidavit that declares in nO'",-· .• - - ·uncertain terms his fackc'of--involvement in any fraud perpetrated. by 'Rothstein. -- -See,-- e.g:,-~-- "'~ -"- Edwards Affidavit attached to Statement of Undisputed Material Facts as Exhibit "N" at if8-10, ,r20, if22-23. Rothstein has also given sworn testimony (attached) in which he has clearly and --unequivocally sworn that Edwards had absolutely no knowledge of or participation in the Ponzi scheme. Indeed, no reasonable juror could find that Edwards was involved in the scheme, as Edwards joined RRA well after Rothstein began his fraud and would have been already deeply in debt. In fact, the evidence of Epstein's crimes is now clear, and Edwards' s actions in this case were entirely in keeping with his obligation to provide the highest possible quality of legal representation for his clients to obtain the best result possible. In view of this clear evidence rebutting all allegations against Edwards, Epstein was obliged to "produce counter-evidence establishing a genuine issue of material fact." See B1yant v. Shands Teaching Hospital and Clinics, Inc., 479 So.2d 165, 168 (Fla. 1st Dist. Ct. App. 1985) in order to avoid summary judgment. Epstein could not and did not even attempt to do t...
NOT A CERTIFIED COPY Edwards adv. Epstein Case No.: 502009CA040800XXXXMBAG Second Renewed Motion for Leave to Assert Claim for Punitive Damages Indeed, when asked at his deposition whether he had any evidence of Edwards's involvement, Epstein declined to answer, purportedly on attorney-client privilege grounds: Q. I want to know whether you have any knowledge of evidence that Bradley Edwards personally ever participated in devising a plan through which were sold purported confidential assignments of a structured payout settlement? ... A. I'd like to answer that question by saying that the newspapers have reported that his firm was engaged in :fraudulent structured settlements in order to fleece unsuspecting Florida investors. With respect to my personal knowledge, I'm unfortunately going to, today, but I look forward to at some point being able to disclose it, today I'm going to have to assert the attorney/client privilege. See Deposition of Jeffrey Epstein, Mar. 17, 2010 (hereinafter "Epstein Depo.") at 67-68. Therefore summary judgment would clearly have been granted for Edwards on all ... claims : _- involving any Ponzi scheme by Rothstein had the issue not been mooted by Epstein's dismissal of his claims. b. Epstein's Allegations of Negligence by Edwards Were Unfounded and Not Actionable in Any Event. In his Second Amended Complaint Epstein recognized at least the possibility that Edwards was not involved in any Rothstein Ponzi scheme. Therefore, seemingly as a fallback, Epstein alleged without explanation that Edwards "should have known" about the existence of this concealed Ponzi scheme. Among other problems, this fallback negligence position suffers the fatal flaw that it does not link at all to the intentional tort of abuse of process alleged in the complaint. Epstein's negligence claim was also deficient because it simply fails to satisfy the requirements for a negligence cause of action: 11
NOT A CERTIFIED COPY
Edwards adv. Epstein
Case No.: 502009CA040800XXXXMBAG
Second Renewed Motion for Leave to Assert Claim for Punitive Damages
"Four elements are necessary to sustain a negligence claim: 1. A duty, or
obligation, recognized by the law, requiring the [defendant] to conform to a
certain standard of conduct, for the protection of others against unreasonable
risks. 2. A failure on the [defendant's] part to conform to the standard required: a
breach of the duty . . . . 3. A reasonably close causal connection between he
conduct and the resulting injury. This is what is commonly known as 'legal
cause,' or 'proximate cause,' and which includes the notion of cause in fact. 4.
Actual loss or damage.
Curd v. Mosaic Fertilizer, LLC, _
So.2d _, 2010 WL 2400384 at *9 (Fla. 2010). Epstein
did not allege a particular duty on the part of Edwards that has been breached. Nor could Epstein
explain how any breach of the duty might have proximately caused him actual damages.
· Summary judgment was therefore appropriate for:these reasons as well.
Finally, for the sake of completeness, it is worth noting briefly that no reasonable jury
could find Edwards to have been negligent in failing to anticipate that a managing partner at his
law firm would be involved in an unprecedented Ponzi scheme. Scott Rothstein deceived not
only Edwards but also more than 60 other reputable lawyers at a major law ~firm including
multiple respected former judges. Cf. Sun Sentinel, Fort Lauderdale, Dec. 11, 2009, 2009
WLNR 25074193 at*l ("Sure, some outlandish John Grisham murder plot[s] sound far-fetched.
But if you asked me a few months ago if Scott Rothstein was fabricating federal court orders and
forging a judge's signature on documents to allegedly fleece his friends, as federal prosecutors
allege, I would have said that was far-fetched, too."). No reasonable lawyer could have expected
that a fellow member of the bar would have been involved in such a plot. Nobody ...
NOT A CERTIFIED COPY Edwards adv. Epstein Case No.: 502009CA040800XXXXMBAG Second Renewed Motion for Leave to Assert Claim for Punitive Damages knew nothing. Edwards was a lawyer at RRA for less than 8 months and had very few personal encounters with Rothstein during his time at the firm, yet Epstein claims that he should have known of Rothstein's intricate Ponzi scheme. No doubt for this reason the U.S. Attorney's Office has now listed Edwards as a "victim" of Rothstein's crimes. See Statement of Undisputed Facts filed contemporaneously. Epstein's Complaint does not offer any specific reason why a jury would conclude that Edwards was negligent, and he chose not to offer any explanation of his claim at his deposition. Accordingly, Edwards was entitled to summary judgment to the extent the-claim against-himwas - --somehow dependent upon his negligence -in failing to discover Rothstein' s 0Pdnz:i scheme.· 2. Edwards Was Entitled to Summary Judgment to the Extent the Claim Against Him Was Dependent on Allegations Regarding "Pumping the Cases" Because He Was Properly Pursuing the Interests of His Three Clients Who Had Been Sexually Abused by Epstein. Epstein alleges that Edwards somehow improperly enhanced the value of the three civil cases he had filed against Epstein. Edwards represented three young women- L.M., E.W., and Jane D9e - by filing civil suits against Epstein for his sexual abuse of them while they were minors. Epstein purported to find a cause of action for this by alleging that Edwards somehow was involved in "'pumping' these three cases to investors." As just explained, to the extent that Epstein is alleging that Edwards somehow did something related to the Ponzi scheme, those allegations fail for the simple reason that Edwards was not involved in and was entirely ignorant of the existence of any such scheme. Edwards, for 13
NOT A CERTIFIED COPY Edwards adv. Epstein Case No.: 502009CA040800XXXXMBAG Second Renewed Motion for Leave to Assert Claim for Punitive Damages example, could not have possibly "pumped" the cases to investors when he never knew there were any investors and he never participated in any communication with investors. Epstein's "pumping" claims, however, fail for an even more basic reason: Edwards was entitled - indeed ethically obligated as an attorney - to secure the maximum recovery for his clients during the course of his legal representation. As is well known, "[ a ]s an advocate, a lawyer zealously asserts the client's position under the rules of the adversary system." Fla. Rules of Prof. Conduct, Preamble. Edwards therefore was required to pursue (unless otherwise · ·· instructed by ·his clients} a rnaximUh1:-recovery, against Epstein~--- Edwards, therefore,· cannot be·-·· ,· .... ~•"" liable for doing somethingthathis.ethical·duties·as an attorney required} Another reason that Epstein's claims that Edwards was "pumping" cases for investors fails is that Edwards filed all three cases almost a year before he was hired by RRA or even knew of Scott Rothstein. Epstein makes allegations that the complaints contained sensational allegations for the purposes of luring investors; however, language in the complaints remained virtually unchanged from the first filing in 2008 and from the overwhelming evidence the Cami can see for itself that all of the facts alleged by Edwards in the complaints were true. Epstein ultimately paid to settle all three of the cases Edwards filed against him for more money than he paid to settle any of the other claims against him. At Epstein's request, the terms of the settlement were kept confidential. The sum that he paid to settle all these cases is therefore not filed with this pleading and will be provided to the court for in-camera review. 2 In a further effort to harass Edwards, Epstein also filed a bar complai...
NOT A CERTIFIED COPY Edwards adv. Epstein Case No.: 502009CA040800XXXXMBAG Second Renewed Motion for Leave to Assert Claim for Punitive Damages Epstein chose to make this payment as the result of a federal court ordered mediation process, which he himself sought (over the objection of Jane Doe, Edwards' client in federal court) in an effort to resolve the case. See Defendant's Motion for Settlement Conference, or in the Alternative, Motion to Direct Parties back to Mediation, Doe v. Epstein, No. 9:08-CV-80893 (S.D. Fla. June 28, 2010) (Marra, J.) (doc. #168) attached hereto as Exhibit "A". Notably, Epstein sought this settlement conference - and ultimately made his payments as a result of that conference - in July 2010, more than seven months after he filed this lawsuit against Edwards. •• · ·• ,._ -- '.i\:ceordingly, Epsteincould not have been the victim-ofanyscheme-to "pump:\the~cases against him, because ·he neverpaid tb settle the cases until well'·-after the Ponzi scheme had ·been· fully-- disclosed, and well after Edwards had left RRA and had severed all connection with Scott Rothstein (December 2009). • In addition, if Epstein had thought that there was some improper coercion involved in, for example, Jane Doe's case, his remedy was to raise the matter before Federal District Court Judge Kenneth A. Marra who was presiding over the matter. Far from raising any such claim, Epstein simply chose to settle that case. He was therefore barred by the doctrine of res judicata from somehow re-litigating what happened in (for example)the Jane Doe case. "The doctrine of res judicata makes a judgment on the merits conclusive 'not only as to every matter which was offered and received to sustain or defeat the claim, but as to every other matter which might with propriety have been litigated and determined in that action." AMEC Civil, LLC v. State Dept. of Transp., _ So.2d_, 2010 WL 1542634 at *2 (Fla. 1st Dist. Ct. App. 2010) (quoting Kimbrell v. ...
NOT A CERTIFIED COPY Edwards adv. Epstein Case No.: 502009CA040800XXXXMBAG Second Renewed Motion for Leave to Assert Claim for Punitive Damages particular case could have been resolved in that ve1y case rather than now re-litigated in satellite litigation. 3. Edwards is Entitled to Summary Judgment on the Claim of Abuse of Process Because He Acted Properly Within the Boundaries of the Law in Pursuit of the Legitimate Interests of his Clients. Epstein's Second Amended Complaint raised several claims of "abuse of process." An abuse of process claim requires proof of three elements: "(1) that the defendant made an illegal, improper, or perverted use of process; (2) that the defendant bad ulterior motives or purposes in exercising suah -illegal; improper:, ·or perverted~-use of process;· and -(3} that, ·as--aresult. of·such action ohAhe•part cif the defendant, the plaintiff suffered damage." S & I 1nvestment-s-v. -Payless··- Flea Market, Inc., 36 So.3d 909, 917..(Fla. 4th Dist. Ct. App. 2010) (internal citation omitted). In fact, this Court is very familiar with this cause of action, as Edwards has correctly stated this cause in his counterclaim ,against Epstein. -Epstein could not prove these elements, a fact - effectively conceded by his dismissal of the abuse of process claim on the eve of the Summary Judgment hearing challenging the propriety of that claim. The first element of an abuse of process claim is that a defendant made "an illegal, improper, or perverted use of process." On the surface, Epstein's Complaint appeared to contain several allegations of such improper process. On examination, however, each of these allegations amounted to nothing other than a claim that Epstein was unhappy with some discovery proceeding, motion or argument made by Edwards. This is not the stuff of an abuse of process claim, particularly where Epstein fails to allege that he was required to do something as the result of Edwards' pursuit of the claims agains...
NOT A CERTIFIED COPY Edwards adv. Epstein Case No.: 502009CA040800XXXXMBAG Second Renewed Motion for Leave to Assert Claim for Punitive Damages (Fla. 1st Dist. Ct. App. 1987) (affirming summary judgment on an abuse of process claim where "appellant's lawsuit caused appellee to do nothing against her will"). In any event, none of the allegations of "improper" process can survive summary judgment scrutiny, because every action Edwards took was entirely proper and reasonably calculated to lead to the successful prosecution of the pending claims against Epstein as detailed in Edwards' Affidavit. Epstein also fails to meet the second element of an abuse of process claim: that Edwards -,had.'·some sort -of ulterior motive; --The case· law is dear that on an abuse of process claim a ---- · - "plaintiff must prove that the process-=was :u·sed for an immediate purpose-other- than that -for which it was designed." S&J Investments v. Payless Flea Market, Inc., 36 So.3d 909, 917 (Fla. 4th Dist. Ct. App. 2010) (citing Biondo v. Powers, 805 So.2d 67, 69 (Fla. 4th Dist. Ct. App. 2002). As a consequence, "[ w ]here the process was used to· accomplish the result for which it- was intended, regardless of an incidental or concurrent motive of spite or ulterior purpose, there is no abuse of process." Id. (internal quotation omitted). Here, Edwards has fully denied any improper motive, See· Statement of Undisputed Facts, and Epstein has no evidence of any such motivation. Indeed, it is revealing that Epstein chose not to ask even a single question about this subject during the deposition of Edwards. In addition, all of the actions that Epstein complains about were in fact used for the immediate purpose of furthering the lawsuits filed on behalf of L.M., E.W., and Jane Doe. In other words, these actions all were both intended to accomplish and, in fact, successfully "accomplished the results for which they were intended" -- whether it was securing additional disc...
NOT A CERTIFIED COPY Edwards adv. Epstein Case No.: 502009CA040800XXXXMBAG Second Renewed Motion for Leave to Assert Claim for Punitive Damages ultimately maxumzmg the recovery of damages from Epstein on behalf of his victims. Accordingly, Edwards was entitled to summary judgment on any claim that he abused process for this reason as well-an argument which again was effectively conceded by Epstein's voluntary dismissal. 4. Edwards Was Entitled to Summary Judgment to the Extent Epstein's Claim Was Based On Pursuit of Discovery Concerning Epstein's Friends Because All Such Efforts Were Reasonably Calculated to Lead to Relevant and Admissible Testimony About Epstein's Abuse of Minor Girls. Epstein alleged that Edwards improperly pursued discovery from some of Epstein's close friends. Such discovery, Epstein claims, was improper because Edwards -knew that these individuals lacked any discoverable information about the sexual assault cases against Epstein. Here again, Edwards was entitled to summary judgment, as each of the friends of Epstein were reasonably believed to possess discoverable information. The undisputed facts show the following with regard to each of the persons raised in Epstein's complaint: • With regard to Donald Trump, Edwards had sound legal basis for believing Mr. Trump had relevant and discoverable information. See Statement of Undisputed Facts. • With regard to Alan Dershowitz (Harvard Law Professor), Edwards had sound legal basis for believing Mr. Dershowitz had relevant and discoverable information. See Statement of Undisputed Facts. • With regard to former President Bill Clinton, Edwards had sound legal basis for believing former President Clinton had relevant and discoverable information. See Statement of Undisputed Facts. • With regard to former Sony Record executive Tommy Mottola, Edwards was not the attorney that noticed Mr. Mottola' s deposition. See Statement of Undisputed Facts. 18
NOT A CERTIFIED COPY Edwards adv. Epstein Case No.: 502009CA040800XXXXMBAG Second Renewed Motion for Leave to Assert Claim for Punitive Damages • With regard to illusionist David Copperfield, Edwards had sound legal basis for believing Mr. Copperfield had relevant and discoverable information. See Statement of Undisputed Facts. • With regard to former New Mexico Governor Bill Richardson, Edwards had sound legal basis for naming Former New Mexico Governor Bill Richardson on his witness list. See Statement of Undisputed Facts. It is worth noting that the standard for discovery is a very liberal one. To notice someone for a deposition, of course, it is not required that the person deposed actually end up producing admissible evidence. Otherwise, every deposition that turned out to be a false alarm would lead • ·to an-·"abuse of process'' claim. Moreover; the rules of-discovery themselves provide that a deposition need onlybeo:'reasonably calculated to'·lead tothe-discovery ofadmissible evidence.-'',-•,: - • Fla. R. Civ. P. 1.280(b) (emphasis added). Moreover, the discovery that Edwards pursued has to be considered against the backdrop ·of Epstein's obstructionist tactics. As the Court is aware, in both this case and all other cases filed against him, Epstein asserted his Fifth Amendment privilege rather than answer any substantive questions. Epstein also helped secure attorneys for his other household staff who assisted in the process of recruiting Epstein's minor victims. Those staff members in tum also asserted their Fifth Amendment rights rather than explain what happened behind closed doors in Epstein's mansion in West Palm Beach. See Statement of Undisputed Facts. It is against this backdrop that Edwards followed up on one of the only remaining lines of inquiry open to him: discovery aimed at Epstein's friends who might have been in a position to corroborate the fact that Epstein was sexually abusing young girls. 19
NOT A CERTIFIED COPY Edwards adv. Epstein Case No.: 502009CA040800XXXXMBAG Second Renewed Motion for Leave to Assert Claim for Punitive Damages In the context of the sexual assault cases that Edwards filed against Epstein, any act of sexual abuse had undeniable relevance to the case - even acts of abuse Epstein committed against minor girls other than L.M., E.W., or Jane Doe. Both federal and state evidence rules make acts of child abuse against other victims admissible in the plaintiffs case in chief as proof of "modus operandi" or "motive" or "common scheme or plan." See Fed. R. Evid. 415 ( evidence of other acts of sexual abuse automatically admissible in a civil case); Fla. Stat. Ann. 90.404(b) (evidence of common scheme admissible); Williams v. State, 110 So.2d 654 (Fla. 1959) (other acts of potential sexual misconduct-admissible);··- . -•, -· A secondreason existed to support-the propriety of discovery of Epstein's-acts~ofa:buse· of other minor victims. Juries considering punitive damages issues are plainly entitled to consider ''the existence and frequency of similar past conduct." TXO Production C01p. v. Alliance Resources Corp., 509 U.S. 443, 462 n.28 (1993). This is·"because the Supreme Court recognizes "that a recidivist may be punished more severely than a first offender ... [because] repeated misconduct is more reprehensible than an individual instance of malfeasance." BMW of North America, Inc. v. Gore, 517 U.S. 559, 577 (1996) (supporting citations omitted). In addition, juries can consider other similar acts evidence as part of the deterrence calculation in awarding punitive damages, because "evidence that a defendant has repeatedly engaged in prohibited conduct while knowing ... that it was unlawful would provide relevant support for an argument that strong medicine is required to cure the defendant's disrespect for the law." Id. at 576-77. In the cases Edwards filed against Epstein, his clients were entitled to attempt to pro...
NOT A CERTIFIED COPY Edwards adv. Epstein Case No.: 502009CA040800XXXXMBAG Second Renewed Motion for Leave to Assert Claim for Punitive Damages pedophile, he sexually assaulted dozens and dozens of minor girls. The discovery of Epstein's friends who might have had direct or circumstantial evidence of other acts of sexual assault was accordingly entirely proper. Edwards was therefore entitled summary judgment to the extent Epstein's claim was based on efforts by Edwards to obtain discovery of Epstein's friends. This contention also went unchallenged when Epstein dismissed his claims against Edwards. III. EPSTEIN'S LAWSUIT MUST BE DISMISSED BECAUSE OF HIS REFUSAL TO PARTICIPATE IN REASONABLE DISCOVERY. As is readily apparent from the facts of this case, Epstein filed a lawsuit but then refused to allow·any real discovery about the merits. of his case. Instead, when -asked: direct- questions . about whether he had any legitimate claim at all, Epstein hid behind the Fifth Amendment. As a result, under the "sword and shield doctrine" widely recognized in Florida case law, his suit could not have been legitimately prosecuted. "[T]he law is well settled that a plaintiff is not entitled to both his silence and his lawsuit." Boys & Girls Clubs of Marion County, Inc. v. JA., 22 So.3d 855, 856 (Fla. 5th Dist. Ct. App. 2009) (Griffin, J., concurring specially). Thus, "a person may not seek affirmative relief in a civil action and then invoke the Fifth Amendment to avoid giving discovery, using the fifth amendment as both a 'sword and a shield."' DePalma v. DePalma, 538 So.2d 1290, 1290 (Fla. 4th Dist. Ct. App. 1989) (quoting DeLisi v. Bankers Insurance Co., 436 So.2d 1099 (Fla. 4th Dist. Ct. App. 1983)). Put another way, "[a] civil litigant's fifth amendment right to avoid self- incrimination may be used as a shield but not a sword. This means that a plaintiff seeking affirmative relief in a civil action may not invoke the Fifth Amendment and refuse to co...
NOT A CERTIFIED COPY Edwards adv. Epstein Case No.: 50l009CA040800XXXXMBAG Second Renewed Motion for Leave to Assert Claim for Punitive Damages with the defendant's discovery requests, thereby thwarting the defendant's defenses." Rollins Burdick Hunter of New York, Inc. v. Euroclassic Limited, Inc., 502 So. 2d 959 (Fla. 3rd Dist. Court App. 1983). Here, Epstein's suit against Edwards purported to do precisely what the "well settled" law forbids. Specifically, he ostensibly sought to obtain "affirmative relief' - i.e., forcing Edwards to pay money damages - while simultaneously precluding Edwards from obtaining legitimate discovery at the heart of the allegations that formed the basis for the relief Epstein .. -.. ,. -· claimed to be seeking. As recounted more fully in the statement ofundisputed-facts,·Epstein .,, •• '"refused to answer such basic .questions about his lawsuit as: • "Specifically what are the allegations against you which you contend Mr. Edwards ginned up?" • "Well, which of Mr. Edwards' cases do you contend were fabricated?" • "Is there anything in L.M. 's Complaint that was filed aga1nst you in September of 2008 which you contend to be false?" • "I would like to know whether you ever had any physical contact with the person ref erred to as Jane Doe 111 that [:federal]coinplaint?" • • "Did you ever have any physical contact with E.W.?" • "What is the actual value that you contend the claim of E.W. against you has?" The matters addressed in these questions were the central focus of Epstein's claims against Edwards. Epstein's refusal to answer these and literally every other substantive question put to him in discovery deprived Edwards of even a basic understanding of the evidence alleged to support claims against him. Moreover, by· not offering any explanation of his allegations, 22
NOT A CERTIFIED COPY Edwards adv. Epstein Case No.: 502009CA040800XXXXMBAG Second Renewed Motion for Leave to Assert Claim for Punitive Damages Epstein deprived Edwards of any opportunity to conduct third party discovery and opportunity to challenge Epstein's allegations. It is the clear law that "the chief purpose of our discovery rules is to assist the truth- finding function of our justice system and to avoid trial by surprise or ambush," Scipio v. State, 928 So.2d 1138 (Fla.2006), and ""full and fair discovery is essential to these important goals," McFadden v. State, 15 So.3d 755, 757 (Fla. 4th Dist. Ct. App. 2009). Accordingly, it is important for the Court to insure "not only compliance with the technical provisions of the discovery rules, · but·also adherence to the purpose and spirit of those rules 0in·both the criminal-and civil context:"h .. • .,. ·McFadden, 15 So.3d at-'?57> 0Epstein repeatedly blocked "full and fair·discovery," and clearly· never intended to provide the discovery that would have been essential to any intended legitimate, good faith prosecution of his claims. IV. EDWARDS IS ENTITLED TO ADVERSE INFERENCES FROM EPSTEIN'S INVOCATION OF THE FIFTH AMENDMENT Epstein's repeated invocations of the Fifth Amendment raise adverse inferences against him that leave no possibility that a reasonable fact finder could ever have reached a verdict in his favor. In mling on a summary judgment motion, the court was obliged to fulfill a ""gatekeeping function" and ask whether "a reasonable trier of fact could possibly" reach a verdict in favor of the plaintiff. Willingham v. City of Orlando, 929 So.2d 43, 48 (Fla. 5th Dist. Ct. App. 2006) (emphasis added). Given all of the inferences that are to be drawn against Epstein, no reasonable finder of fact could conclude that Epstein was somehow the victim of improper civil lawsuits 23
NOT A CERTIFIED COPY Edwards adv. Epstein Case No.: 502009CA040800XXXXMBAG Second Renewed Motion for Leave to Assert Claim for Punitive Damages filed against him. Instead, a reasonable finder of fact could only find that Epstein was a serial molester of children who was being held accountable through legitimate suits brought by Edwards and others on behalf of the minor girls that Epstein victimized. "[I]t is well-settled that the Fifth Amendment does not forbid adverse inferences against parties to civil actions when they refuse to testify in response to probative evidence offered against them." Baxter v. Palmigiano, 425 U.S. 308, 318 (1976); accord Vasquez v. Staie, 777 So.2d 1200, 1203 (Fla. App. 2001). The reason for this rule "is both logical and utilitarian. A -· party may- not trample ·upon the Tights of others and~then escape the consequences, by--invoking a constitutional-privilege - at least·not·in a civil- setting:11·-Fraser v. Security and Inv. ··Gorp.;" 615 So.2d 841, 842 (Fla. 4th Dist. Ct. App. 1993). And, in the proper circumstances, "' Silence is often evidence of the most persuasive character."' Fraser v. Security and Inv. Corp., 615 So.2d 841, 842 (Fla. 4th Dist. Ct. App. 1993) (quoting United States ex rel. Bilokumsky v. Tod, 263 U.S. 149, 153-154 (1923) (Brandeis, J.). In the circumstances of this case, a reasonable finder of fact would have "evidence of the most persuasive character" from Epstein's repeated refusal to answer questions propounded to him. To provide but a few examples, here are questions that Epstein refused to answer and the reasonable inference that a reasonable finder of fact would draw: • Question not answered: "Specifically what are the allegations against you which you contend Mr. Edwards ginned up?" Reasonable inference: No allegations against Epstein were ginned up. • Question not answered: "Well, which of Mr. Edwards' cases do you contend were fabricated?" Reasonable inference: No cases filed by ...
NOT A CERTIFIED COPY Edwards adv. Epstein Case No.: 502009CA040800XXXXMBAG Second Renewed Motion for Leave to Assert Claim for Punitive Damages ........ ,· .. • Question not answered: "Did sexual assaults ever take place on a private airplane on which you were a passenger?" Reasonable inference: Epstein was on a private airplane while sexual assaults were taking place. • Question not answered: "How many minors have you procured for prostitution?" Reasonable inference: Epstein has procured multiple minors for prostitution. • Question not answered: "Is there anything in L.M.'s Complaint that was filed against you in September of 2008 which you contend to be false?" Reasonable inference: Nothing in L.M.'s complaint filed in September of 2008 was false - i.e., as alleged in L.M.'s complaint, Epstein repeatedly sexually assaulted her while she was a minor and she was entitled to substantial compensatory and punitive damages as a result. • Question not answered: "I would like to know whether you ever had any physical· • contact with the person re:ferred~td as Jane Doe 'iii ·that [federal]. compfairit?" Reasonable inference: Epstein had physical contact with minor Jane Doe as alleged in her federal complaint. • Question not answered: "Did you ever have any physical contact with E.W.?" Reasonable inference: Epstein had physical contact with minor E.W. as alleged.in .. her complaint. • • • • • Question not answered: "What is the actual value that you contend the claim of E.W. against you has?" Reasonable inference: E.W.'s claim against Epstein had substantial actual value. Without repeating each and every invocation of the Fifth Amendment that Epstein has made and the reasonable inferences to be drawn from those invocations of privilege, the big picture is unmistakably clear: No reasonable finder of fact could rule in Epstein's favor on his claims against Edwards. Accordingly, Edwards was entitled to summary judgment based on the Fifth Ame...
NOT A CERTIFIED COPY Edwards adv. Epstein Case No.: 502009CA040800XXXXMBAG Second Renewed Motion for Leave to Assert Claim for Punitive Damages The inferences against Epstein are not limited to those ansmg from his privilege assertions. Epstein's guilt is also reasonably inferred from his harassment of, intimidation of, efforts to exercise control over, and limitation of access to witnesses who might testify against him. Epstein's efforts to intimidate his victims support the inference that Epstein knew that they were going to provide compelling testimony against him. The evidence that Epstein tampered with witnesses (later designated as his accomplices and co-conspirators) will be •···• · ·· admissible to demonstrate his consciousness of guilt. ''[I]t is precisely because of the egregious ·'" nature of such conduct that the law expressly permits the jury to make aElvetse inferences from a party's efforts to intimidate witnesses .... " Jost V. Ahmad, 730 So.2d 708, 711 (Fla. 2nd Dist. Ct. App. 1998) (internal quotation omitted). To be clear, Epstein's attempt to tamper with ..... - .. witnesses is "not simply admissible as impeachment evidence of the tampering ·party's· credibility. The opposing party is entitled to introduce facts regarding efforts to intimidate a witness as substantive evidence." Id. at 711 (emphasis in original) (internal citation omitted). This substantive evidence of Epstein's witness intimidation provides yet another reason why no reasonable jury could find in favor of his claims against Edwards. V. EDWARDS WAS ENTITLED TO SUMMARY JUDGMENT ON THE BASIS OF ms AFFIRMATIVE DEFENSE OF PRIVILEGE Absolute immunity must be afforded any act occurring during course of judicial proceeding, regardless of whether act involves defamatory statement or other tortious behavior, such as tortious interference with business relationship, so long as act has some relationship to 26
NOT A CERTIFIED COPY Edwards adv. Epstein Case No.: 502009CA040800XXXXMBAG Second Renewed Motion for Leave to Assert Claim for Punitive Damages proceeding. See Levin, Middlebrooks, Mabie, Thomas, Mayes & Mitchell, P.A. v. US. Fire Ins. Co., 639 So. 2d 606 (Fla. 1994). The immunity afforded to statements made during the course of a judicial proceeding extends not only to the parties in a proceeding but to judges, witnesses, and counsel as well. Id. The litigation privilege applies in all causes of action, whether for common- law torts or statutory violations. See Echevarria, McCalla, Raymer, Barrett & Frappier v. Cole, 950 So. 2d 380 (Fla. 2007). Defamatory statements made by lawyer while interviewing a witness in preparation for and connected to pending litigation are covered by the absolute .... ·· -·· · ·· immunity conferred-by-thelitigation privilege; SeeDelMonico'v. Traynor, 50 So; 3d-4 (Fla. Dist;- · · ".· · ,.·. , -... ,,. -~ Ct.App. 4th Dist. 2010); review,granted,47 So: 3d 1287' (Fla; :2010); The privilege extends to-·' ·""' ·' statements in judicial proceedings or those "necessarily preliminary thereto. See Stewart v. Sun Sentinel Co., 695 So.2d 360 (Fla. 4th DCA 1997)(an attorney's delivery of a copy of a notice of ..... - ·- - . claim to a reporter, which notice was a required filing prior to.0instituting suit, was protected by absolute immunity). · CONCLUSION The evidence and law described herein provide not only a reasonable basis, but a compelling and unrebutted foundation supporting the conclusion that Epstein never had legitimate grounds to sue Bradley Edwards. Every one of his now dismissed claims was factually baseless and legally barred. 27
NOT A CERTIFIED COPY Edwards adv. Epstein Case No.: 502009CA040800XXXXMBAG Second Renewed Motion for Leave to Assert Claim for Punitive Damages The lack of foundation and legal impediments were so clearly obvious from the time the claims against Edwards were initiated that there could never have been a good faith belief in their propriety. Equally obvious from the surrounding circumstances is the improper motive behind the litigation. If Edwards and his client, L.M. could be intimidated by the need to defend themselves against the litigation assault of a billionaire opponent, Epstein stood the chance of avoiding or at least limiting his extremely embarrassing and enormously costly civil liability and protecting himself from further-criminal prosecution threatened .. by-Edwards' prnsecution -of an aetion-·in Federal Court-tirider:~the-CrimeVictims' Rights Ach This'calculated effort-at extortion is,0clearl-y-·- supportive of punitive damage exposure. Bradley Edwards' Motion to Amend to Assert a Claim for Punitive Damages should be granted. I HEREBY CERTIFY that a true and correct copy of the foregoing was sent via E-Serve to all Counsel on the attached list, this fq~a Florid~ No.: 169440 Prim -mail: jsx@searcylaw.com Se ary E-mail(s): mep@searcylaw.com S cy Denney Scarola Barnhart & Shipley, P.A. 139 Palm Beach Lakes Boulevard West Palm Beach, Florida 33409 Phone: (561) 686-6300 Fax: (561) 383-9451 Attorneys for Bradley J. Edwards 28
NOT A CERTIFIED COPY Edwards adv. Epstein Case No.: 502009CA040800XXXXMBAG Second Renewed Motion for Leave to Assert Claim for Punitive Damages COUNSEL LIST Jack A. Goldberger, Esquire jgoldberger@agwpa.com; smahoney@agwpa.com Atterbury, Goldberger & Weiss, P.A. 250 Australian A venue South, Suite 1400 West Palm Beach, FL 33401 Phone: (561)-659-8300 Fax: (561)-835-8691 Attorneys for Jeffrey Epstein Marc S. Nurik, Esquire marc@nuriklaw.com Law Offices of Marc S. Nurik One E Broward Blvd., Suite 700 Fort Lauderdale, FL 33301 Phone: (954)-745-5849 Fax: (954)-745-3556 Attorneys for Scott Rothstein Lilly Ann Sanchez, Esquire Bradley J. Edwards, Esquire bj e~efile@pathtojustice.com; staff.efile@pathtojustice.com ---~,.,.-_ ,< - lsanchez@thelsfinn.com ---···'· ·-' ,.·---- -· Farmer; Jaffe/Weissing, Edwards, Fistos & -•• , Lehrman, FL 425 North Andrews Avenue, Suite 2 Fort Lauderdale, FL 33301 Phone: (954)=524-2820 Fax: (954)-524-2822 Fred Haddad, Esquire Dee@FredHaddadLaw.com; haddadfm@aol.com Fred Haddad, P.A. One Financial Plaza, Suite 2612 Fort Lauderdale, FL 33394 Phone: (954)-467-6767 Fax: (954)-467-3599 Attorneys for Jeffrey Epstein The L-S Law Firm · -·- ·· -- - - ,.,,,,,,;__ 1441 Brickell Avenue, 15th Floor"-> 29 Miami, FL 33131 Phone: (305)-503-5503 Fax: (305)-503-6801 Attorneys for Jeffrey Epstein ---·- .. Tonja Haddad Coleman, Esquire tonja@tonjahaddad.com; Debbie@Tonjahaddad.com Tonja Haddad, P.A. 315 SE 7th Street, Suite 301 Fort Lauderdale,FL 33301 Phone: (954)-467-1223 Fax: (954)-337-3716 Attorneys for Jeffrey Epstein
NOT A CERTIFIED COPY JEFFREY EPSTEIN, Plaintiff, vs. SCOTT ROTHSTEIN, individually, BRADLEY J. EDWARDS, individually, and L.M., individually, Defendants. I --------------- IN THE CIRCUIT COURT OF THE FIFTEENTH JUDICIAL CIRCUIT, IN AND FOR PALM BEACH COUNTY, FLORIDA CASE NO.: 502009CA040800XXXXMBAG NOTICE OF FILING COMES NOW the Defendant/CounterClaimant, BRADLEY EDWARDS, by and through his undersigned counsel, and hereby files the attached transcript of the telephone interview of Virginia Roberts to supplement the proffer made in support of Counter-Claimant's Motion for Leave to Amend to Assert Punitive Damages. I HEREBY CERTIFY that a true and correct copy of the foregoing has been furnished by ,,_.. U.S. Mail to all Counsel on the attached list on this ft day of May 2011. Jack Scarola Florida Bar No.: 16 440 Searcy Denney Scarola Barnhart & Shipley, P.A. 2139 Palm Beach Lakes Boulevard West Palm Beach, Florida 33409 Phone: (561) 686-6300 Fax:(561) 383-9451 Attorney for Defendant/CounterClaimant Edwards EXHIBIT
NOT A CERTIFIED COPY Edwards adv. Epstein Case No.: 502009CA040800XXXXMBAG Notice of Filing Supplement COUNSEL LIST Jack A. Goldberger, Esquire jgoldberger@agwpa.com; smahoney@agwpa.com Atterbury, Goldberger & Weiss, P.A. 250 Australian A venue South, Suite 1400 West Palm Beach, FL 33401 Phone: (561)-659-8300 Fax: (561)-835-8691 Attorneys for Jeffrey Epstein Farmer, Jaffe, Weissing, Edwards, Fistos & Lehrman,PL 425 N. Andrews Avenue, Suite 2 Fort Lauderdale, FL 33301 Phone: (954)-524-2820 Fax: (954)-524-2822 Attorneys for Jeffrey Epstein Joseph L. Ackerman, Jr., Esquire jla@fowler-white.com Fowler White Burnett, P.A. 901 Phillips Point West 777 S Flagler Drive West Palm Beach, FL 33401-6170 Phone: (561)-802-9044 Fax: (561)-802-9976 Attorneys for Jeffrey Epstein Marc S. Nurik marc@nuriklaw.com Law Offices of Marc S. Nurik One E Broward Blvd., Suite 700 Fort Lauderdale, FL 33301 Phone: (954)-745-5849 Fax: (954)-745-3556 Attorneys for Scott Rothstein 2 Martin Weinberg, Esquire Martin Weinberg, P.C. 20 Park Plaza, Suite 1000 Suffolk, MA 02116 Attorneys for Jeffrey Epstein
NOT A CERTIFIED COPY Edwards adv. Epstein Case No.: 502009CA040800XXXXMBAG Notice of Filing Supplement 3
NOT A CERTIFIED COPY
NOT A CERTIFIED COPY PRIVILEGED PURSUANT TO FS 766.205(4) and/or WORK PRODUCT TELECON PARTICIPANTS: JACK SCAROLA BRAD EDWARDS VIRGINIA ROBERTS. RE: Edwards adv. Epstein 291874 DATE: April 07, 2011 JS: Virginia, Jack Scarola and Brad Edwards BE: Hi Virginia. V: Hi Jack! Hi Brad! How you guys doing? JS: We're doing fine, thank you. I'm sorry for all of the trouble and before we go any further, let me tell you, if I have your permission, I have started a tape recorder and I want to be able to tape this conversation from the very beginning. Is that alright with you? V: Sure, that's fine, Jack. No problem JS: Ok, good, thank you. I appreciate that. Let me start off by introducing myself. I know that Brad has spoken to you about me but I am Brad's lawyer, and I assume that you can confirm that you and I have never had any communication before. Is that right? V: That's correct. JS: Alright. I have, however, gotten some information from Brad about conversations that you have had with him, and that will enable me, hopefully, to make this a little bit more efficient and take up a minimum amount of your time while still getting the information that we think is going to be helpful to us and to any jury that might ultimately have to hear these facts. So, let me begin by asking you first to tell us what your full name is. V: Virginia Louise Roberts. That's my maiden name. My married name is Virginia Louise *
NOT A CERTIFIED COPY Edwards adv. Epstein Telephone interview with Virginia Roberts Page 2 of23 JS: V: JS: V: JS: V: JS: V: JS: V: JS: V: JS: V: Could you spell your last name for us? That is your married last name: * Alright, thank you, and where are you living right now? I live in Australia. And how long have you resided in Australia. This is my 19th year. That is where you are right now, correct? We've reached you in Australia for this phone conversation? That is correct, yes. And what time is it in Australia right now? I think it's about 9:00 now. Ok. That's 9am, correct? That's correct. Alright. Virginia, the reason for this conversation is because it is our understanding that you know a man by the name Jeffrey Epstein, and I want to begin by asking you please to tell us about the circumstances of your first meeting Mr. Epstein. Ok. I was introduced to Mr. Epstein by Ghislaine Maxwell. I was working at Donald Trump's spa in Mar-a-Lago and I was prompted by Ghislaine to come to Jeffrey's mansion in Palm Beach that afternoon after work to make some extra money and to learn about massage. She met me at the spa, and I was reading a book about anatomy, so I was already interested in massage therapy as it was and not having any of the education or you know anything behind me, I thought this was a great opportunity to work for her and go. So, I went to Jeffrey's mansion about 5 or 6 in the afternoon. My dad drove me there. My dad worked at Mar-a-Lago with me, and he met Ghislaine and she seemed like a nice, proper English lady, and she knows, I mean, you know, one time then _ once before I left to travel overseas, she just seemed really nice and like she would like to help me out. So my dad left, and I had no problem getting home that night, one of her drivers would take me back after my trial. So she led me upstairs, and into Jeffrey's bedroom, and past that is Jeffrey's massage room, which has got his steam room and a sho...
NOT A CERTIFIED COPY Edwards adv. Epstein Telephone interview with Virginia Roberts Page 3 of23 JS: When you say that the room was hidden, Virginia, how was the room concealed? V: It wasn't like a door that you would normally go into, like some kind of special opening, you open that and then a little door, so it looks like it's a little closet so-to-speak, but when you walk in there, it's obviously a lot bigger than just a closet. It wasn't too big, but it was bigger, you know. It wasn't a gigantic room, it was just like a small room, which you know, it probably could fit some shoes in there, _it had racks of shoes, boxes, some sweatshirts neatly folded, and the ceiling to the floor was covered in pornographic pictures of the girls that he had met. JS: When you say ... V: So anyways, that was getting there, and I was introduced to Jeffrey, he was laying naked on top of the massage table, and obviously for one, I'm a 15 year old girl and seeing him on the table was weird but, also learning about anatomy and massage, I thought this would be part of it. So obviously, I thought it was part of the massage program, so I said ok, this is fine. And, he then instructed me on how to touch the body, Jeffrey's body, how to massage him, and for the first hour, it was actually a real massage, maybe not an hour, maybe like 40 minutes or something, but of something like that _and that's when he turned over on the other side and to expose himself fully. So then Ghislaine told me that she wanted me to undress and began to take off my shirt and skirt, my white uniform from Mar-A-Lago, she also took off her shirt and got undressed, and so I was there with just my undies on, and she was completely bare, and made some kind of little flake about the underwear that I was wearing because it wasn't my normal sexy girl underwear and just like, I don't know, had red hearts on it or something like that; just your normal, you know, real cute underwear. Anyways, so du...
NOT A CERTIFIED COPY Edwards adv. Epstein Telephone interview with Virginia Roberts Page 4 of23 V: I've got it written down. It's like - I'm not good with math-hold on-I thought I wrote it down but I didn't. I'm not too sure, I think it was 1998 off the top of my head and around June of 1998, I would say as I was turning 16 at the end of the summer. JS: Alright. You talked about the room where Jeffrey had the pornographic photographs. Did you actually see that room on the occasion of your first visit there? V: No, I got to see that room a few visits after but I was just trying to describe that room to you guys so you knew exactly what room I was talking about. JS: Another question for you, and I don't mean to be prying into your personal life, and if I ask you any questions at all that you're uncomfortable answering, then you just tell me that and we'll move on, because I appreciate your cooperation and the last I thing I want to do is impose upon that cooperation, but can you tell us please just generally what kind of sexual experience you had had prior to this confrontation with Jeffrey? V: Yeah, sure. A close family friend has sexually abused me, and I was on the streets at 13 years old. I was picked up by a 67 year old man named Ron _Eppinger_ who did exactly what Jeffrey did with me abuse and violate my youthfulness _ & I was with him for 6 months. So, he was gone and then I had this boyfriend who was like my school friend from young days but we just kept in contact with each other and we were on and off constantly, and that was Tony Figeroua_, and there was also another younger guy was near my age, Michael, I can't remember his last name, but yeah, there, I mean, there wasn't like a string of men or anything, but there was Ron, like I told you, and he was the first guy expecting me to do so-called disgusting affairs. Jeffrey actually knew Ron, which was quite weird when I told Jeffrey the story about Ron, and Jeffrey had actually ...
NOT A CERTIFIED COPY Edwards adv. Epstein Telephone interview with Virginia Roberts Page 5 of23 had frames, some of them were out of frames, but they were all, like I said, they were all women, they were all sexual in nature. JS: Was it your impression that there were a hundred photos of a hundred different people or were there multiple photos of the same woman or girl? V: There was definitely a lot of different girls. I mean it wasn't easy to sit there and say, you weren't finding 5 girls out of some photos, no. Were there a hundred different ones? There could have been pictures of some girls, I really couldn't get close necessarily to actually recognize faces or anything like that. But if you, you know, the range of them were all different, majority of them were different, yeah. JS: Did there ever come a point in time when you became aware that a photograph of you had been added to the collection? V: Yes, there was. Ghislaine took several nude photographs of me for Jeffrey. So, yeah, there were pictures of me and there were pictures, he wasn't shy, that wasn't the only place in his house that he kept the photos. He liked photos all over his house. If you looked in his den or on his desk or in on the hall table, a giant hall table in his house, there were at least a hundred photos of girls in frames. Not all of them were naked, a lot of the ones that were all around his house were not naked girls posing pornographically, some were pictures of celebrities and politicians he had known_ or things like that or had pants on or whatever, but yeah, there was a lot of mixed photographs in the outside ones. JS: Were there any photographs of girls or young women that you knew or that you subsequently came to know that you saw in the house? V: • Yeah, yeah, there was. There was pictures of Nadia Bjoumik _____ , pictures Sarah Keller, pictures Emmy, pictures of me, pictures of the regulars, but a lot of the girls, sometimes Jeffrey could have li...
NOT A CERTIFIED COPY Edwards adv. Epstein Telephone interview with Virginia Roberts Page 6 of23 a couple of weeks, maybe a week, I had quit Mar-a-Lago and I was working for Jeffrey full time. JS: Ok, let's talk about your job .at Mar-a-Lago, if we could. You said that your Dad was working there. What was his position at Mar-a-Lago? V: He was a maintenance supervisor I think is what it was called? He like managed the tennis courts and air conditioners and things like that. JS: What is your Dad's full name? V: Sky William Roberts. JS: And is he still living here in South Florida now? V: No, he's not, he's in California. JS: Ok. Is your Dad aware of what is currently going on with regard to your having made public statements about your relationship with Jeffrey? V: Yes, he is well aware of it. I told my family even before all this stuff came out, because they were the first ones contacted by the journalists from Mail on Sunday. I know that they the Mail on Sunday printed that I had gone out and tried to, I mean I think one of the photos said that I was angry that I saw Jeffrey and the Prince walking together and that is why I came out and went public with everything. Not true.. I mean, I am angry about how they are still up to their old ways together and that they're still hanging out but I didn't contact the Mail on Sunday and I didn't bring it out. I figured that everyone was going to bring it out anyway and I better bring it out the right way. He's known everything from the start, and my family is very supportive with everything going on. JS: I'm kind of going to jump around a little bit and I apologize for that, but since the subject has come up, tell me first of all why you are providing this cooperation to us, and I am certainly very appreciative of it, but I want you to tell us why it is you've chosen to spend time with us on the telephone and provide this information that you're now providing. V: I'm out to help the bigger ...
NOT A CERTIFIED COPY Edwards adv. Epstein Telephone interview with Virginia Roberts Page 7 of23 JS: Just for the record, neither Brad, nor I, nor anyone representing that they have anything to do with us has made any promises to you. Is that correct? V: That is correct. I'll tell you, since this is our first conversation, that nobody has made me feel like I've been bribed or bought or had to say anything. I've told you anything that I know from my own self, not some things somebody told me. If anything, Brad's been extra careful not to tell me anything and let me do all the talking, so it's quite opposite I think. JS: Alright. Let's get back then to the story of your relationship with Jeffrey, and we've talked about your first encounter with him and how it evolved from that into your full time employment with Jeffrey, but what were you doing at Mar-a-Lago before you quit Mar-a-Lago? V: I was just a locker room attendant and sometimes I did babysitting for the rich and famous. So, I wasn't anything big. I worked in the spa area. That's why I was studying anatomy, because I was really really interested in becoming a _massage therapist_, and at the locker room, I didn't do much. I mean I was making tea for a living, I would, you know, make sure the toilet paper had a little triangle in it after everybody went to the toilet, or wipe down the water from the basin, you know, it was a very easy peasy job. JS: Did you get that job through your Dad? V: Yes, my Dad got me the job. JS: Ok, and you were only 15 years old at the time, were they aware of how old you were at Mar-a-Lago? V: Of course, definitely. We had to go through extensive, you know, we even had to get drug tested and id test and so on and so forth. I mean, Mantas (?) is very strict on employment, yeah, everybody knew. JS: Ok. Was there ever any conversation with Ghislaine about how old you were before you were taken to Jeffrey's mansion? V: No. She didn't ask me how old I...
NOT A CERTIFIED COPY Edwards adv. Epstein Telephone interview with Virginia Roberts Page 8 of23 you know, I was actually interested in making my life better by studying so what they were offering me was a chance to become a legitimate masseuse but it was getting trained. They would have people show me how to work the body and be called a massage therapist and get me books on it, and you know, keep me interested, and every time, you know, I was with Jeffrey, literally was about massages, I don't mean just going in and have sex with him. I mean massage, because it would always start out with massage and then it would lead into sometimes other things. JS: Alright, once this evolved. into full time employment, what did full time employment mean? V: That was entirely having to travel with Jeffrey in every city. When he was in Palm Beach, I stayed at my apartment, and he would call me to his house once or twice a day sometimes, and that's, you know, do things with him. Sometimes we'd go out shopping, sometimes we'd go out and watch a movie. You know, simple things like that, go to an expo or a fair, whatever it was. But when we were in other cities, I was at my apartment_, I lived with him full time. What I mean by full time is even in the middle of the night, I could get a ring on my phone next to me and tell me to come in bis room, you know, so it was literally full time. JS: When you say that when you were in Palm Beach you were living in your apartment, were you living on your own or were you living with members of your family at that time? V: No, after I quit Mar-a-Lago, Jeffrey offered to get me an apartment in Palm Beach somewhere, Royal Palm Beach, and it was a nice apartment. He furnished it for me, it was absolutely beautiful, but yeah, that's the only time I would spend time away from him really. JS: This apartment was on Royal Palm Beach Boulevard or out in the Village of Royal Palm Beach? V: I so honestly don't remember. I'...
NOT A CERTIFIED COPY Edwards adv. Epstein Telephone interview with Virginia Roberts Page 9 of23 JS: Yes, I was talking about a street. Royal Palm Drive is on the island of Palm Beach, and it's a street that is lined with large royal palm trees, and I'm wondering if this was an apartment on the island or was this an apartment out west of town ... V: No, it was actually in Royal Palm Beach, not on the island. JS: Alright. V: I would be driven, it was closer to my family than it was closer to him. I wanted to be close enough to everybody else so that when I was in town, I could just go see them quickly. JS: Ok. So we're not talking about Royal Palm Boulevard. We're talking about the town of Royal Palm west of town. Jeffrey got you an apartment out there. V: That's correct. JS: When he was in Palm Beach, you were generally not staying at the mansion, you were staying at the apartment that he got for you out west of town. V: That's correct. JS: Ok. V: I mean then there was times, I don't wanna say that every time I stayed at my apartment. There was times we'd fly back from some city maybe too late at night to really want to go back home, so you know, it's like 12:00 at night or 1 :00 in the morning. I was just staying in the yellow room, or something like that; one of the guest rooms in Palm Beach. But majority of the time, I would definitely want to get back to my own apartment. JS: Alright. What were the general hours of your full time employment when ... ? V: There was not set hours. It wasn't like logging, and you know, bitting the shift button, nothing like that. The way I would get paid would be, ok, if I was in Palm Beach, I would get $200 an hour to massage Jeffrey or some of bis friends and then go home. So it would be like that. If I was traveling with him, it would be per massage, so I would be getting paid per day. So I wouldn't be getting paid on an hourly rate. He wouldn't say ok, today you're going to work for me fr...
NOT A CERTIFIED COPY Edwards adv. Epstein Telephone interview with Virginia Roberts Page 10 of23 JS: From the time the massage started. Ok. V: Sometimes we'd go there and I would wait for a while or talk with Ghislaine and Jeffrey about something or we'd meet somewhere and talk about something. A lot of times, I'd meet him upstairs in his room where he was ready for me. But then there was a lot of times where it didn't start right away, so he couldn't really pay me from the time I got there sometimes unless it was just paid from the time I massaged him til the time the massage was over. JS: Alright. Did your duties for Jeffrey ever include anything other than providing him massages and sex in connection with the massages? Did he ever give you any other responsibilities to perform? V: I was asked to do the same things that I did to Jeffrey to a few of his fellow colleagues as well. Those were my duties. He looked at it this way is that I was going to be a professional massage therapist, and maybe I needed some clientele, so he had me perform erotic massages on a few people. JS: Did that start here in Palm Beach County? V: It did. The first one did. JS: Ok, and how long after you first met Jeffrey did he first ask you to provide services for one of his friends? V: About 9 months, I think it was. It wasn't a full year, it wasn't 6 months, but between 6 months and a year, which is why I'm saying 9 months. JS: And when you provided services to a friend of Jeffrey's, who paid you for those services? V: Jeffrey would. I would get paid the next time I saw Jeffrey, so if I was invited to the Breakers Hotel to give a massage, I would give a massage, I would go home, and the next day when I saw Jeffrey, he would pay me for what I did. So, it was paid always by him, it was set up by him, so he always knew what to pay me. I did get tips and things like that, if you call it that, you know, like a hundred dollar tip or something from a few of ...
NOT A CERTIFIED COPY Edwards adv. Epstein Telephone interview with Virginia Roberts Page 11 of23 V: In a roundabout way, yes. In so many ways, Jeffrey really really had to train me, and that was why Ghislaine said that she and Jeffrey enjoyed me so much was because they never really had to speak much to me to tell me what they wanted me to do. You know, I wasn't waiting for you know, their directions. Jeffrey would tell me to go give an erotic massage to friends. He wouldn't give me much detail about it, but he would say to treat them like you treat me. JS: Did he refer to it as an erotic massage or are those your words? V: Erotic massage is my words. That's exactly what it was, but he would tell me to treat them how he wanted it, so I'd do what he wanted without having to say to me words more. I mean, I complied with what he wanted because it was somewhat of a, I don't know, I don't know how to say it, it was just very mindboggling how I let him have so much control or power over me basically. The massages would be routine to what Jeffrey wanted with my so called new clientele, and with their own words would ask me to provide them with sexual pleasure after the massage. JS: Did you ever report back to Jeffrey about what happened when you provided massages to his friends? V: Of course, of course, and I knew that his friends were reporting back to him as well because there were times where he would instigate conversation by saying you know, so and so had a great time, you did wonderful, you know so and so gave me a call and told J.E how it went ... JS: Did Jeffrey ever elicit details from you? "Tell me what happened, describe in detail what went on?" V: No, but he would have a laugh, he had a laugh with me a few times about some of their different mannerisms, I guess you would say, like some of them, one guy had a foot fetish and that was really weird and I mentioned it to Jeffrey, and we would have a laugh over it. He didn't want t...
NOT A CERTIFIED COPY Edwards adv. Epstein Telephone interview with Virginia Roberts Page 12 of23 V: No, not at this stage. I just, some of these people are really influential in power, and I don't want to start another shitstorm with a few of them. I'll tell you that there was some erotic massages given to, I'm just afraid to say it to you. JS: Ok, Virginia. V: It's like geez, I don't know ifl want to, I'm really scared of where this is gonna go. JS: Alright. I understand that, and as I told you from the beginning, if I ask you a question that you are uncomfortable answering, you just tell me that, and I will move on, and I understand that at least right now, you are uncomfortable answering, and I am certainly going to respect that. V: Thank you so much, Jack. JS: No, that's quite alright. I am very appreciate of the cooperation you are providing, and I don't want you at any time to feel that we are talcing unfair advantage of that cooperation, so give me the information that you're comfortable giving me, and if we get to a point where you're uncomfortable, I will respect that and we'll move on from there. V: Ok. JS: I want to talk a little bit about the traveling that you did with Jeffrey. About how long into your relationship with him did that first start? V: Immediately. I started traveling immediately. Not internationally until I think about, Gosh, I can't remember even, I think it was a year later that we started doing international travel. Maybe like 9 months to a year again. Not too sure to be honest. JS: So that would have been approximately the summer of 1999? Somewhere around there? V: Yes. Somewhere around there. Somewhere around a year, somewhere around there, I can't pinpoint it exactly. But like I said, we started doing domestic traveling immediately, so my first destination with him was New York and Santa Fe and the Carribean, California, I would take trips with him occasionally. Sometimes we would go to St. Lou...
NOT A CERTIFIED COPY Edwards adv. Epstein Telephone interview with Virginia Roberts Page 13 of23 V: Yes. Just a normal flight, an e-ticket. JS: Like the rest ofus common folk. V: But when I was traveling with Jeffrey, the majority of the time would be on the black jet. JS: Now, when you say there would be times when you would travel by yourself because he was sending you somewhere, tell me about that. How did that come about? V: So, one of his colleagues would be at the Carribean or Santa Fe or even New York, or wherever, and he would call me up on those days where I am not working with him or in Palm Beach with him, and he would ask me to get on the next plane to so and so and go meet so and so, and that's when I would take e-tickets. His secretary or special assistant, whatever, would organize it for me and give me the details and I would just walk up the line and they'd let me right through. JS: Can you give me any ideas as to how many times it happened that Jeffrey would send you off to meet some friend of his at some location outside of Palm Beach? V: How many times it happened? I'm not too sure. Probably about 10-15 times. JS: Ok. And on those occasions, how much time would you spend with one of Jeffrey's friends when you were sent to a location that you would have to travel to? V: Only a couple of days. Only 2 days, that's it. JS: And how were you paid for those trips? V: I would be paid in cash upon my arrival back with Jeffrey. So, whenever I was back with Jeffrey, he would count up how many days I've had, sometimes give me even more than what I deserved, not deserved, but what I earned and give me a little extra. JS: Was there a daily rate for those trips or was that per massage also? V: Per massage. With Jeffrey, I would be honest. I wouldn't tell him I did 15 massages if I didn't. He knew he could trust me. He could always come back to the other person that he sent me to give massages and ask them as well, so you k...
NOT A CERTIFIED COPY Edwards adv. Epstein Telephone interview with Virginia Roberts Page 14 of23 I'd start with his feet, go up to his calves, up his legs, buttocks, back, his neck, his head, his arms, yada yada, and then it would be time to flip over, and some of the men would want me to continue on massaging the front side of them and they would instigate me to begin having sex with them or foreplay, whatever you want to call it. JS: So routinely, these massages involved sexual activity. Is that accurate? V: That is accurate. JS: Ok. Let's talk about the travel that you were involved in when you were on Jeffrey's private plane. Generally speaking, who were the passengers on the plane when you traveled. V: Well, Larry was the pilot, and then there was a short, small solid guy, I don't know his name, but he was a co-pilot, and then he changed and there was another guy brought in later on. Generally spealcing, there was always Jeffrey, sometimes Ghislaine, sometimes Emmy, sometimes a whole bunch of other girls, sometimes famous people, sometimes some politicians or yeah, just about anybody could fly on his plane. There was never no any set routine who would come and who would go. It was an influx of people on Jeffrey's airplane. JS: I want to deal with these things separately in order to respect some of the reservations that you have, so I'm going to ask you who the people were that you remember flying with Jeffrey on his plane when you were personally present without regard to whether there was any sexual activity that occurred on the plane or not. So I'm not asking you to implicate any of these famous people in improper conduct, but just tell me what the names of the people are that you remember that you consider to be famous people. V: Ok, there was Naomi Campbell, Heidi K.lurn, there was Bill Clinton. There was Al(?) Gore, there was a whole bunch of models, I wouldn't really honestly be able to give their names. There was Matt Gro...
NOT A CERTIFIED COPY Edwards adv. Epstein Telephone interview with Virginia Roberts Page 15 of23 what was happening in the house. It would start off with massaging or we would start off with foreplay, sometimes it would lead to, you know, orgies. JS: Were there occasions when you were in Jeffrey's company, whether on the ground or in the air, where there were other girls present whom you knew to be under age 18? V: Yes. There was a constant influx of girls coming in and going out. And we were all very young. On occasion, there was some older girls, and I don't mean older as in like in their 30s or anything, I mean like 28, 29, something like that, just very rarely. The majority of the girls that Jeffrey actually met or had on his plane or in his house were under age. JS: Do you know how it is that Jeffrey established with any of these underage girls? V: Yes, I do. He would send me personally or with other girls to clubs or shops, to _pick up anywhere, I mean we were constantly on the look for other girls that might satisfy Jeffrey. JS: What instructions were you given about what to look for? V: Young, pretty, you know, a fun personality. They couldn't be black. If they were any other descent other than white, they had to be exotically beautiful. That was just about it. JS: Who gave you those criteria? V: They both gave us the instructions, and it wasn't just me, Jeffrey asked most girls to bring a friend and make extra money. They would use us young girls So that way it probably looked a lot more safer to a girl that we were procuring to younger girls that were already doing it. That was the way that Jeffrey had it. JS: Were you given any instruction at all on how to approach these girls? V: Yes. Jeffrey and Ghislaine both taught me to, depending on the circumstances, depending on the girl, you could offer them a job as a massage therapist or you could tell them you have a really rich friend with, you know, great contacts in the ...
NOT A CERTIFIED COPY Edwards adv. Epstein Telephone intemew with Virginia Roberts Page 16 of23 JS: Let me see if we can try to narrow it down a little bit. Is there any doubt in your mind that it was more than 1 0? V: Yes, there was definitely more than 10. JS: Ok, what I want you to do is to give me the highest number that you are comfortable in saying there were definitely more than X number of underage girls that I know Jeffrey Epstein engaged in sex with while I had a relationship with him. How would you fill ii, that blank? Definitely more than how many? V: I'd say definitely more than a hundred. JS: Alright. Did Jeffrey ever help to pick out your clothes? V: Oh yes. I mean he wasn't out to dress me like a porn star or anything. He would always dress me very classy, but·we'djust go shopping all the time together. JS: Did he ever express any style preferences in terms of how he wanted you to dress? Besides dressing classy, I'm, you know, any other suggestion to you about how he wanted you dressed? V: He didn't, like I said, wasn't trying to dress me in any prostitute way or anything like that. It was nice, classy outfits I was wearing like Gucci, Dolce Gabbana, Chanel, things like that. He was buying me a lot of very, very nice clothing. It was provocative. I mean I was wearing miniskirts, and tight short shorts and little shirts that showed my belly and my cleavage and everything, but they were very expensive clothes. JS: Was there every any dress up role playing? V: Yes. There was. Lots of it. Jeffrey loved the latex outfits Ghislane had for us girls, he had bondage outfits, he had all different kinds of outfits; but his favorite was the schoolgirl. JS: Tell me about that. V: Well, you know, Ghislaine would talce me to dress me up to surprise J.E or Jeffrey would ask me to get dressed up, that would include wearing a tiny little skirt with nothing underneath, a white collared shirt that you would be wearing to school wi...
NOT A CERTIFIED COPY Edwards adv. Epstein Telephone interview with Virginia Roberts Page 17 of23 V: Yes, he did. He did all the time. The worst one that I heard from his own mouth was this pretty 12 year old girls he had flown in for his birthday. It was a surprise birthday gift from one of his friends and they were from France. I did see them, I did meet them. Jeffrey bragged afterwards after he met them that they were 12 year olds and flown over from France because they're really poor over there, and their parents needed the money or whatever the case is and they were absolutely free to stay and flew out. Those were the worst ones. He was constantly bragging about girls' ages or where he got them from or their past and how terrible their past was and good he is making it for them. JS: Where were the 12 year old girls flown to from France? Where did they come to? V: Palm Beach. JS: And were they flown in on Jeff's private plane or did they get transported? V: No. They were transported by somebody else. JS: Ok. Was the sexual activity that went on on the airplane conducted in such a way so that any of the crew was aware of what was going on? V: They were told to knock if they had to come out, if the crew had to come out. They were told, you know, to come out as little as possible, so they weren't out there hanging out watching everything, no, but it doesn't talce an idiot to put two and two together to say well there's a whole bunch of half dressed teenagers on board with this old man who is constantly being massaged by them and he wants me to keep the door shut for what reason? I mean, only they could put that together, but yeah, they knew. JS: Did Mr. Epstein ever talk to you about people of power and influence owing him favors? V: He would laugh about it, you know, I never really knew what to talce serious from Je:ffrey because he was such a funny character at times. You never knew if what he was saying was true or not. Yeah, lo...
NOT A CERTIFIED COPY Edwards adv. Epstein Telephone interview with Virginia Roberts Page 18 of23 JS: Ok, well let's back up before we get to those conversations and tell me approximately when it was that you were contacted by the person who you believe was with the FBI. V: Ok. It's hard for me to pinpoint, ifl had to pinpoint it, it would be in 2007 sometime. JS: Alright. And you were living in Australia at that time, correct? V: Correct. JS: You were contacted by telephone? V: That's correct, by my cell phone. JS: Ok and do you have any idea how your name came up leading to that contact. V: No idea. No idea whatsoever. When I did ask, I was told that some girls had revealed my name, I guess, and that's how everybody, the FBI knew to contact me. JS: OK. V: But I don't know offhand or sorry, I just walked into the wrong room. JS: Ok. V: Sorry go on. JS: Yes & I'll never tell her you said that. Virginia, how long was it after that phone call from the FBI person were you contacted by Mr. Epstein's lawyers. V: Like a week. It was back to back to each other, I remember being so scared after talking _ to the FBI thinking what's happening, what's going on. It's been like 6 years, 7 years at that stage, how did they find me & what do I have to do with this? So yeah, I do remember that very well, and it was only about a week later I was called by his attorney. JS: Who was it that contacted you, do you remember? V: I want to say Bill Riley, but he might have been from the FBI. No, it was Bill Riley. Bill Riley. Not sure if that's his correct name, but that's what is coming to mind JS: What do you remember about that conversation? V: I remember a Mr. Goldberger as well, I remember, there might have been two of them. JS: Alright.
NOT A CERTIFIED COPY Edwards adv. Epstein Telephone intervfow with Virginia Roberts Page 19 of23 V: I can't remember which one it was. I want to say Bill Riley is the good one. JS: Alright, so either Bill Riley or a Mr. Goldberger or both of them contacted you, and what do you remember about that? V: I don't know if it was the same guy who contacted me that week later who put me in touch with Jeffrey. I think he was on the phone and he put speakerphone on with Jeffrey. So he connected me with Jeffrey. I don't lmow if it was the same guy or different, but I definitely know that Bill Riley was the first guy to contact me. I'm pretty sure about that. JS: Ok. Tell me about that conversation. V: He asked me what I knew about what's going on with Jeffrey and apparently, there was an investigation being held about some of the girls who had come out and said that Jeffrey had sexual contact with them under the age of a minor and that he was discrediting lot of these girls and making them out to be drug addicts and prostitutes and what have you so they wouldn't be looked upon as worthy in the court's eyes so to speak. And you know, he told me in the first five minutes that, you know, if I stay quiet, that "I'll be looked after" . And that was the exact way it was said. It wasn't like you know, I'm gonna pay you a zillion dollars or anything if you be quiet, but if I stay quiet~ I would "looked after". And I remember saying I don't want any part to do with this. You know, this is not something I want to be a part of, I've got a young family. I wish the best for everybody in this, you know, take care kind of thing. A week later, I was called after the hearing by one of Jeffrey's lawyers. I can't tell you exactly which one it was but he had Jeffrey on the other line and he connected Jeffrey and I, and Jeffrey tried to make some simple conversation, "How are you? How have things been?" You know what I mean, catching up. JS: Do you know if the lawye...
NOT A CERTIFIED COPY Edwards adv. Epstein Telephone interview with Virginia Roberts Page 20 of23 next thing I knew, I was sent my victim's letter, my notification of being a victim through the US Attorney's Office and that's when I knew it was well out there enough not to have Jeffrey's lawyers come back on me and discredit me in the same way he had done to all the other girls. So, I called up Joseph Bird who was the recommended lawyers on my paperwork that they had given me and started going from there. JS: So you contact Mr. Joseph Bergs' office and then you were dealing with his office from that point forward. V: That's correct. JS: Tell me about the ending of your relationship with Jeffrey. That is, at what point in time did your full time employment end and how did that happen? V: Ok. So, it hadn't really ended. I walked away from it all. Jeffrey sent me to Thailand where I met my husband and escaped to Australia, never to return back to the states. About 6 · months prior to that, he came up with a proposition that I thought was really disgustingly sick. And it really showed me for the first time in 4 years I had been with him that nothing was going to change and I was always just going to be used by him(?) which I did not like. He offered me a mansion and some of his money every month, I forget what he called it, a monthly income of what he made to bear one of his children. The proposition was that if anything ever happened between Jeffrey and I, that I would have to sign my child over to him basically and that the child would be his and Ghislaine's, and I would be looking after it as long as nothing happened between Jeffrey and I. So, I was kind of freaked out by all of that. I pushed Jeffrey more to please get me some more training, you know, and I was getting older and not of as much interest to Jeffrey anyways. I was 19 now, and he likes a female a lot younger. So he sent me to Thailand, in September 2002 _. I was first suppos...
NOT A CERTIFIED COPY Edwards adv. Epstein Telephone interview with Virgirua Roberts Page 21 of23 law and that there is people that still believe in it. So that's it. Thank you guys for listening to me, hearing me out and helping me. It's kind of hard to get through. JS: Thank you very much. Yes, I'm sure it has been very difficult and I am very appreciative of the courage you have shown in doing what you have done, which really brings me to the last subject, and that is what was it that motivated you to go public with all of this? V: Sharon Richard contacted me. I like her, I do, I like her a lot. I know she's a journalist, and journalists are normally bloodsucking leeches, but I like her for that, but she is an honest bloodsucking leech. She told me a lot about what was still going on, and she showed me a picture of Jeffrey with a little girl who looks like she could have been 12 years old. I mean it was disgusting. I agreed to talk with her, I never agreed to do anything until she showed me some pictures, and at that stage, being a mother of 3 children and having a daughter who I would do anything for to protect, I would put my neck on the line to make sure she never has to go through what I had to go through, and knowing all of this, and knowing that he's still out there doing the same exact thing with no regrets, no remorse, no worry about what he's doing to those girls, and all those girls feeling the same way that I did, so I, you know, I'm doing it because I believe in my heart of hearts it's the right thing to do. It's what I would want somebody to do for my daughter or my sister or my friend, and it saddens me to know that it's still going on right now. It's like the seashell story. I don't know if you're heard the story about the little kid who throws back a starfish, you know, the little brother tries to ask his sister, "why do you throw them in, they're all gonna die anyways, the little girl says "well, it's this one that I can ...
NOT A CERTIFIED COPY Edwards adv. Epstein Telephone interview with Virginia Roberts Page 22 of23 V: He told me a long time ago that everyone owes him favors. They're all in each other's pockets. JS: When you say you asked him why is Bill Clinton here, where was here? V: On the island. JS: When you were present with Jeffrey Epstein and Bill Clinton on the island, who else was there? V: Ghislaine, Emmy, and there was 2 young girls that I could identify. I never really knew them well anyways. It was just 2 girls from New York. JS: And were all of you staying at Jeffrey's house on the island including Bill Clinton? V: That's correct. He had about 4 or 5 different villas on his island separate from the main house, and we all stayed in the villas. JS: Were sexual orgies a regular occurrence on the island at Jeffrey's house? V: Yes. JS: If we were to take sworn testimony from the people I am going to name, and if those people were to tell the truth about what they knew, do you believe that any of the following people would have relevant information about Jeffrey's taking advantage of underage girls? So I'll just name a name, and you tell me yes if they told the truth, I think they'd have relevant information or no, I don't think they would, or I don't know whether they would or not. Ok? You understand? V: Yes. JS: Ok. Les Wexner. V: I think he has relevant information, but I don't think he'll tell you the truth. JS: Ok. Alan Dershowitz. V: Yes. JS: David Copperfield. V: Don't know. JS: Tommy Matola.
NOT A CERTIFIED COPY Edwards adv. Epstein Telephone interview wHb Virginia Roberts Page 23 of23 V: Don't know. JS: Prince Andrew. V: Yes, he would know a lot of the truth. Again, I don't know how much he would be able to help you with, but seeing he's in a lot of trouble himself these days, I think he might, so I think he may be valuable. I'm not too sure of him. JS: Ok. Virginia, I think that's all I have for you. Let me tell you what I would like to do. As I told you in the beginning of th.is conversation, we've been recording it, and hopefully, we've got a clear enough recording so that we've taken down everything accurately and when it's transcribed, it will be clear and accurate, but what I would like to do is transcribe it, send it to you, have you take a look at it, and if there's anything that we got wrong in the statement, you can write back and you can make changes in the transcript so that the transcript is accurate. Is that fair? V: No worries. That is fair. No problem. JS: Alright, great. 1 really do appreciate that and tell me what the best way is to send the transcript to you. V: Email. If you just want to send it by email or if you want to send it by mail, either or. JS: Ok. Give me your email address if you would please. JS: Let me read that back to you: V: Yep that's it. BE: Thank you Jenna, appreciate it. V: No problem, Brad. JS: Thank you very very much. Bye Bye now. V: Take care Jack. Nice meeting you. JS: You too. *Redaction has been made at the request of the witness.
NOT A CERTIFIED COPY IN THE CIRCUIT COURT OF THE 15TH JUDICIAL CIRCUIT IN AND FOR PALM BEACH COUNTY, FLORIDA CASE NO. 502009CA040800XXXXMBAG JEFFREY EPSTEIN, Plaintiff(s), vs. SCOTT ROTHSTEIN, individually, BRADLEY J. EDWARDS, individually, and L.M., individually, Defendant(s). ------------------------------ VIDEOTAPED DEPOSITION OF JEFFREY EPSTEIN January 25, 2012 9:34 a.m. - 10:03 a.m. SEARCY, DENNEY, SCAROLA, BARNHART & SHIPLEY, PA 2139 Palm Beach Lakes Boulevard West Palm Beach Florida 33409 Stenographically Reported By: Tammy Nestor, RPR EXHIBIT ui ~ ,-- m C I I
NOT A CERTIFIED COPY APPEARANCES: ON BEHALF OF PLAINTIFF: JACK SCAROLA, ESQUIRE SEARCY, DENNEY, SCAROLA BARNHART & SHIPLEY, PA 2139 Palm Beach Lakes Boulevard West Palm Beach, Florida 33409 ON BEHALF OF DEFENDANT: CHRISTOPHER E. KNIGHT, ESQUIRE JOSEPH L. ACKERMAN, JR., ESQUIRE FOWLER WHJTE BURNETT, PA Espirito Santo Plaza 1395 Brickell Avenue, 14th Floor Miami, Florida 33131 2 JACK A. GOLDBERGER, ESQUIRE ATTERBURY, GOLDBERGER & WEISS, PA One Clearlake Centre, Suite 1400 250 Australian Avenue South West Palm Beach, Florida 33401 DARREN K JNDYKE, ESQUIRE 301 East 66th Street, #JOB New York, New York 10065 INDEX EXAMINATION: PAGE By Mr. Scarola 4 EXHIBITS EXHIBIT DESCRIPTION PAGE 3 1 Third Amended Complaint in LM v. Epstein 16 2 THE V1DEOGRAPHER: Today's date is January 25, 2012. The time is approximately 3 9:34 a.m. This is the videotaped deposition of 5 6 Jeffrey Epstein in the matter of Epstein versus Edwards. This deposition is being conducted at 2139 7 Palm Beach Lakes Boulevard, West Palm Beach, 8 9 10 11 12 13 14 15 16 17 18 Florida. The court reporter is Tammy Nestor of Phipps Reporting. The videographer is Chris Kennedy of Legal Video Services, Inc. in association with Phipps Reporting. And will the counsel please announce appearances for the record. MR. SCAROLA: My name is Jack Scarola. I'm counsel for Brad Edwards. Brad is also present. MR. KNIGHT: Christopher Knight on behalf l 9 of Jeffrey Epstein. 4 2 0 MR. GOLDBERGER: Jack Goldberger on behalf 21 22 of Jeffrey Epstein. MR. INDYKE: Darren lndyke on behalf of 2 3 Jeffrey Epstein. 24 MR. ACKERMAN: Joseph Ackerman on behalf 25 of Jeffrey Epstein. JEFFREY EPSTEIN 5 2 Was called as a witness and after being duly sworn on oath was examined and iesiified as ioiiows: EXAMINATION 5 BY MR SCAROLA: 6 7 8 9 10 11 Q Would you please state your full name and your current residence address? A I'm Jeffrey Edward Epstein. A...
NOT A CERTIFIED COPY 1 2 3 4 5 6 7 8 9 10 11 12 13 14 15 16 17 18 19 20 21 22 23 24 25 1 2 3 4 5 6 7 8 9 10 11 12 13 14 15 16 17 18 19 20 21 22 23 24 25 ' ' 6 BY MR. SCAROLA: Q Do you now or have you ever had a sexual addiction? ' MR. KNIGHT: I'm going to instruct him not to answer the question. That's outside of the area of this abuse of process lawsuit. And just to let you know, he's here to answer all the questions you want relative to the abuse of process. The judge has been pretty clear relative to the discovery regarding any of the prior sexual allegations, et cetera. And just so we don't waste your time or our time, I'll be consistent on that per what the judge has previously discussed regarding discovery. MR. SCAROLA: Well, you and l have a very different understanding of what the court's prior rulings have been. But we'll let the court deal with that. BY MR. SCAROLA: Q Do you now or have you ever had a sexual preference for minors? MR. KNIGHT: Same. BY MR. SCAROLA: Q Have you ever acted on a sexual preference for minors? MlR. KN]GHT: Same. BY MR. SCAROLA: 7 Q Have you ever informed anyone other than your legal counsel that you have a sexual preference for minors? MR. KNIGHT: Same. BY MR. SCAROLA: Q Have you ever informed anyone other than your legal counsel that you have acted on a sexual preference for minors? MR. KNIGHT: Same. BY MR. SCAROLA: Q Have you ever sought or received evaluation, counseling, or treatment for any form of sexual addiction? MR. KNIGHT: Same. BY MR. SCAROLA: Q Have you ever sought or received evaluation, counseling, or treatment for any sex-related issue? MR. KNIGHT: Same. BY MR. SCAROLA: Q Have you ever retained the services of a consultant to assist in changing your public image following your arrest on sex-related charges? 1 2 3 4 5 6 7 8 9 10 11 12 13 14 15 16 17 18 19 20 21 22 23 24 25 1 2 3 4 ...
NOT A CERTIFIED COPY 1 2 3 4 5 6 7 B 9 10 11 12 13 14 15 16 17 18 19 20 21 22 23 24 25 10 intention to ask any questions, and you may be, any questions outside of this clearly harassing area relative to issues that are outside of the four corners of the complaint or whether this is just going to be a continuance of questions of this witness that have no other means of advancing this lawsuit but only have means of doing other things of which I won't - I don't care to list them here. Do you plan to go into other areas? MR. SCAROLA: l am - I am planning on taking a very thorough and comprehensive deposition of Mr. Epstein. MR KNIGHT: Are you asking - planning to ask any questions that are not sexual or criminal in nature? MR. SCAROLA: Oh, I'm sure there will be many that you would probably not consider sexual or criminal in nature, but J don't know. MR. KNJGHT: !Let's proceed for a little while, see what we can do, because certainly we have taken the time out to come up here, people's schedules have been made, et cetera, people have traveled long distances, but we may have to quit and go to the court. 2 3 4 5 6 7 8 9 10 11 12 13 14 15 16 17 18 19 20 21 22 23 24 25 for prostitution with respect to the clan m on which you were convicted? A Same answer. 12 Q Who is the minor that }'OU solicited for prostitution with respect to the claim on which you pied guilt,•? A Same answer. Q Did you, in fact, plead guilty to soliciting for prostitution? MR KNIGHT: Asked and answered. THE WITNESS: Yes, sir. BY MR. SCAROLA: Q Did you, in fact, plead guilty to soliciting a minor for prostitution? A No. Q Where was it that you solicited for prostitution in the manner - in the matter in which you pied guilty? A Sarne answer. Q When was it that you solicited for prostitution in the matter in which you pied guilty? A Same answer. Q Have you ever discussed your sex-related arrest or conviction ...
NOT A CERTIFIED COPY 1 2 3 4 5 6 7 8 9 10 11 12 13 14 15 16 17 18 19 20 21 22 23 24 25 1 2 3 4 5 6 7 8 9 10 11 12 13 14 15 16 17 18 19 20 21 22 23 24 25 14 going to take a quick break ifwe can go off the record. THE VIDEOGRAPHER: The time is 9:30 - 9:40. We are going off the record. (Thereupon, a recess was taken at 9:43 a.m.) THE VIDEOGRAPHER: The time is 9:50 a.m. We are back on the record. MR. KNIGHT: As 1 mentioned earlier, we are here to answer questions relevant lo the lawsuit that is at issue. Relative to your question earlier and the instruction not to answer,] do believe it was appropriate, but I'm going to have Mr. Goldberger address what be believes the - is the - our client is entitled to, but at the same time, there are other issues we want to put on the record. l will allow you to ask more questions, but if it's going to stay on this line, we may have to adjourn. MR. GOLDBERGER: Okay. This is Jack Goldberger. A couple issues. First, as to the questions that, Mr. Scarola, you asked concerning conversations that Mr. Epstein may or may not have had with, 1 believe you couched it as news reporters or news media, he would be invoking Fiith Amendment privileges as to those questions in addition to the objection raised by Mr. Knight MR. KNIGHT: I'm withdrawing the instruction. 15 MR. GOLDBERGER; Okay. All right Anyhow he's invoking Fifth Amendment privileges as to that line of questioning. As to the total line of questioning where you are asking Mr. Epstein about sex-related issues, as you know, your client, Mr. Edwards, has filed a lawsuit in federal court where he is seeking to overturn the non-prosecution agreement that Mr. Epstein is a party to. I believe that you are aslting these questions in an effort to further Mr. Edwards' attempts to set aside that non-prosecution agreement, and I think it serves no purpose other than to assist your client in that lawsuit...
NOT A CERTIFIED COPY l 2 3 4 5 6 7 8 9 10 11 12 13 14 15 16 17 18 19 20 21 22 23 24 25 1 2 3 4 5 6 7 8 9 10 11 12 13 14 15 16 17 18 19 20 21 22 23 24 25 A Correct. Q All right. Now, is it your - A I believe that's -- Q Is it your contention - 18 MR. KNIGHT: Finish your answer. Did you finish your answer? THE WITNESS: That's all right. BY MR. SCAROLA: Q Is it your contention that Bradley - MR. KNJGHT: And any time you want to finish your answer, please do so. THE WITNESS: Sure. BY MR SCAROLA: Q Is it your contention that Bradley Edwards abusively prosecuted the state court case on behalf ofLM? A I don't know. Sorry. Q Is it your contention that Bradley Edwards abusively prosecuted the federal court case on behalf ofLM? MR. KNIGHT: Objection, asks for legal conclusions. Obviously there were lawsuits that were raised in this case. MR. SCAROLA: You don't need to make a speaking objection - 19 MR KNIGHT: Okay. MR SCAROLA: -- that's intended to coach the witness, Mr. Knight. MR KNIGHT: I'm going to object. MR SCAROLA: So if you say yon are objecting on the basis that it calls for a legal conclusion, that's fine. And now I would like the witness's answer unless yon are instructing him not to answer. MR. KNIGHT: I'm not instructing him not to answer. lBY MR SCAROLA: Q Okay. Then would you please answer the question? A I'm sorry. Would you repeat it? Q Yes, sir. Is it your contention that Bradley Edwards abusively prosecuted the federal court action on behalf ofLM? A Yes, sir. Q How? A Bradley Edwards filed a 234-count federal complaint in conjunction with his partner Scott Rothstein to enable his partners at RRA to defraud south Florida investors of millions of dollars. His partner Scott Rothstein and his partner 2 3 4 5 6 7 8 9 10 11 12 13 14 15 16 17 18 19 20 21 22 23 24 25 1 2 3 4 5 6 7 8 9 10 11 12 13 14 15 16 17 18 19 20 21 22...
NOT A CERTIFIED COPY l. 2 3 4 s 6 7 8 9 10 11 12 13 14 15 16 17 18 19 20 21 22 23 24 25 1 2 3 4 5 6 7 8 9 10 11 12 13 14 15 16 17 18 19 20 are going off the record. (Thereupon, a recess was taken at 9:58 a.m.) 22 THE VIDEOGRAPHER: The time is 10:00. We are on the record. MR KNIGHT: Okay. We have asked on several occasions that you ask questions that are relevant to the lawsuit at bar. There have been some questions that were getting to it You are back into the sexual stuff which we feel is inappropriate, and also relative to the issues that were rnised by Mr. Goldberger. As such, we are going to recess and ask further direction from the court on what is allowable and what is not allowable in this deposition. MR SCAROLA: So you are terminating the deposition at this time? MR KNIGHT: We are recessing the deposition to get direction from the court MR SCAROLA: Until when? MR. KNIGHT: We will find out what the court says. MR SCAROLA: When? Are you contacting the judge right now? MR. KNIGHT: I am not We are going to file an appropriate motion and we are going to take it to the judge and see what be cioes. Thank you. 23 MR SCAROLA: So that the record is clear, ii is my intention to ask very specific questions about every factual allegation included in every claim brought by Mr. Edwards on behalf of every victim in every case in which it is alleged that Mr. Edwards has abusively prosecuted that claim. I want to know about the connection between Mr.Epstein and each one of those alleged victims. I want to know about every individual who had information concerning the events that are alleged in those complaints, every individual who was in a position to have possibly had information about the events alleged in those complaints. I want to ask this witness about every 2 1 person whose deposition was taken and scheduled 2 2 to be taken, the relationship of those persons 2 3 to Mr. Eps...
NOT A CERTIFIED COPY CERTIFlCATE OF OATH ST A TE OF FLORJDA COUNTY OF BROWARD I, the undersigned authority, certify that 26 JEFFREY EPSTEIN personally appeared before me and was duly sworn. Witness my hand and official seal this 25th day ofJanuary 2012_ Tam~y N~ , Court Reporter Notary Public, State ofFlorida Commission No_: EE 133933 Commission Exp_ Date: 10/23/2015 January 25, 2012 FOWLER WHITE BURNETT, PA 1395 Brickell Avenue, 14th Floor Miami. Florida 33131 ATTN: CHRJSTOPHER E. KNIGHT, ESQUIRE Re: Epstein v Edwards Case No. 502009CA040800XXXXMBAG Please take notice that on the January 25, 2012, you gave your deposition in the above cause. At that time you did not waive your signature. The transcript is now available for your review. Please call (888)811-3408 or email production@phippsreporting.com to schedule and appointment between the hours of9:00 a.m. and 4:00 p.m., Monday through Friday. for you to have access on your computer to a read-only version of the transcript. Jfyou are a party in this action and your attorney has ordered a copy of this transcript, you may wish to read their copy of the transcripL In that event, please execute the Errata Sheet, which can be found at the back of the transcript and return it to us for distnbution to all parties. If you do not read and sign the deposition within thirty (30) days, the original, which has already been forwarded to the ordering attorney, may be filed with the Clerk of the Court. lfyou wish to waive your sib'llalure now, please sign your name in the blank at the bottom of this letter and return it to us_ Very truly yours, TAMMY NESTOR, RPR Phipps Reporting, Inc. 1615 Forum Place, Suite 500 West Palm Beach, Florida 3340 J I do hereby waive my signature. JEFFREY EPSTEIN 27 2 3 5 6 7 8 9 10 11 12 13 14 15 16 17 18 19 20 ERRATA SHEET DO NOT WRJTE ON TRANSCRJPT ENTER CHANGES ON THIS PAGE ln Re: Epstein v Edwards Case No_ 502009CA040800X\.."C...
NOT A CERTIFIED COPY Page 29 A 18:5,6,1119:8,9 2:5,13 4:7,7 5:14 changes 28:2 cons uhant 7 :24 able 20:5 19:11,13 5:19 27:22 changing 7:24 contacting 22:24 abuse 6:6,9 answered 12:10 behalf2:2,7 4:18 cll:rn:rges 7 :25 conteIDdl 17:7,12 abusively 17:7,13 appeaura:nces 2: 1 4:20,22,24 17:3 chris 4: 10 cm:nte:nthm 18:4,9 18:15,19 19:17 4:14 18:15,20 19:18 ch:ristopher 2:8 18:14,18 19:16 20:12 23:11 appeared 26:7 20:13 21 :7,8 23:9 4:18 27:3 20:11 access 27: 10 appointment 27:9 believe 13:19 14:13 circuit 1: 1, 1 continmamce 10:5 ackerman 2:8 4:24 appropriate 14:14 15:1,17 18:3 claim 12:1,5 23:8 continue 24:6 4:24 23:2 believes 14:15 23:11 continmous 24: 1 acted 6:24 7:9 approximately 4:2 best 17:1 20:10,22 claims 24:2,4 conversations action 16:1 19:18 area 6:6 i 0:3 beyond 13:14 dear 6: 10 23:5 14:25 20:3,12 25:15,16 areas 10:10 13:9 bbmk27:18 clearlalke 2: 12 convicted 8:9,12 27:11 24:7 bottom 27: 18 clearly 10:2 12:2 activities 13 :23 arrest 7:25 8:5 bmdevaird 1 :16 2:5 clerk. 27: 16 convictio:irn 8: 5 23:24 12:24 4:7 5:9 client 14:16 15:13 12:24 acts 8:15 aside 15:19 16:2 brad 4:16,16 15:21,25 16:l copy 16:21,23 addiction 6:3 7:15 ask.ed 12:10 14:24 bradley 1 :7 17 :2, 7 21 :15 27:12,12 addition 15:4 22:6 17:12,17 18:9,14 coach 19:2 co:nllers 10:4 address 5:7,9,15 asking 10:14 15:12 18:18 19:17,21 com27:9 correct 13:13 17:19 14:15 15:17 b:reak.14:1 21:24 come 10:22 17:25 18:1 20:14 adjomrllll 14:21 asks 18:21 brickeU 2:10 27:2 commission 26:14 20:18,21 adjm.1rned 24: 11 assert 21 :22 brHlo 5:20 26:14 couched 15: 1 adkr20:1 assist 7:24 15:21 brought 23:8 commit 8:15 counsel 4:13,16 7:4 admitted 20:2 association 4:12 broward 25:4 26:4 committed 23 :25 7:9 25:13,15 advancing 10:7 assume 17: 16 llnmmett 2 :9 27 :2 compfa:imed 20:6 counseling 7:14,19 agreement 15:16 assumption 17:21 complaillllt 3:12 counts 8:13 15:20 16:2 21:16 attempts 15: ...
NOT A CERTIFIED COPY Page 30 dar:ren 2:14 4:22 21 :15 23:8,10 fees 21: 1,2 15:24 19:4 20:4 i111fo :rrmatirnrn 23: 15 date4:1 26:14 27:4 28:3 fifth 8:16,20,25 21:3, 13, 19,22,23 23:18 28:24 ee 26:14 11:615:3,9 21:14 22:1,13 23:1,2 info:rrmed 7:3,8 dated25:17 effort 8:4 15:18 21:19 24:10 initials 17:4 day25:17 26:10 el 5:20 figmre 21 :2 goldberger2:1 l,12 inst:irll]ct 6:4 13: 1 days 20:7 27:15 email 27:8 fiie20:2 23:2 4:20,20 8:16 instrll]cting 19:9,10 deaB 6:18 employee 25: 13,14 fined 15:14 16:1 14:15,22,23 15:8 instruction 13:4,25 declare 28:21 enabBe 19:23 17:1719:2120:5 16:12,15,18 22:12 14:13 15:7 defend21:4 engage 21 :10,17 20:6,7,16,19 guilty 12:6,8,13,18 intended 19:2 de:lfenchmt 1 :9 2:7 enter 28:2 27:16 12:21 intention 10:1 23:6 de:tfnmd 19:23 entitled 14: 16 filing 20:24 interested 25: 16 de1rmey 1:16 2:4 epstein 1:4,10 3:12 financially 25:16 H intimidate 13: 17 deposition 1 :10 4:3 4:4,4, 19,21,23,25 find 20:5 22:22 h3:8 investors 19:24 4:6 10:13 16:5,8 5:1,8 10:13 14:25 fine9:2119:7 hand 26:9 20:3,5 16:22 20:2 22:16 15:12,16 16:3,24 finish 18:5,6, 11 llrnnded 16:21 invoke 8:16,17,18 22:18,20 23:21 23: 13,23 24:1,3 first14:23 harass 13:9 21:13 8:20,25 21:19 24:5,1125:827:6 25:9 26:7 27:4,25 :floor 2:10 27:2 harassing 10:2 invokilllg 11 :5 15 :3 27:15 28:3,4,24 florida 1 :1,17 2:5 13:16 15:9 description 3: 11 epsteins 23 :24 2:10,13 4:8 9:5,8 heBd 9:17 islands 5:10 9:11 different 6: 16 errata 27:13 28:1 13:23 19:24 25:3 hes 6:7 15:9 11 :3 13:19 21:7 espirifo 2:9 26:3,13 27:3,22 homes 5:13 issue 7:20 14:11 direction 22:14,20 esq11.11.ire 2:3,8,8,11 foch 5:19,19 hook 5:9 issues 10:3 14:17 discovery 6:10, 14 2:14 27:3 following 7:25 8:5 lb.ours 27 :9 14:23 15:13 22:12 15:23 d6:1110:23 follows 5:3 I discussed 6:14 8:3 evaluation 7: 14, 19 foregoing 25 :8 J 12:23 13:22 event27:12 28:21 identification 16:9 j 1:7 discussion 9:17 events ...
NOT A CERTIFIED COPY 6:4,22 7:1,6,11,16 7:21 8:1,7 9:12,21 9:25 10:14,20 12:10 13:1,5,7,14 13:16,25 14:9 15:5,6 16:6,17,19 18:5,10,21 19:1,3 19:4, 10 21:23 22:6,19,22 23:1 24:8 27:3 klllow6:7 10:19 15:13 17:11,14 18:17 21:21 23:12 23:14 knowledge 23 :23 L 11 :8 2:8 fakes 1 :16 2:5 4:7 lawsuit 6:6 10:7 13:8 14:11 15:14 15:22 22:8 lawsuits 18 :22 legal4:ll 7:4,9 18:21 19:7 21 :1,1 21:2 letter 27: 18 line 14:20 15:10,11 28:7 list 10:9 little 10 :20 Im 3:12 16:24 17:4 17:14,1718:16,20 19:18 20:13 21:7 21 :8,11,18,21 long 10:24 Jook 16:7 M m 1:8,13,13 4:3 14:6,7 22:3 24:12 27:9, 10 mail!lltain 5: 11 manner 12:17 mark 16:4 ma:rked 16:9,22 matte:r4:4 12:17,21 means 10:6,7 me:;rnt 21:13 media 12:24 13:24 15:2 mentioned! 14:9 mexico 5:13,18 11:14 miami2:10 27:3 mic:rophone 16:11 mike 5:24 mmions i 9:24 mh:ne16:17 m:nno:r 8:14 9:1,7 11:22 12:4, 14 minors 6:21,25 7:5 7:10 13:23 23:25 mi:mnte 9: 14 monday 27:10 motion 23:2 N n 3:1 name4:15 5:6 27:18 nature 10:16,19 need 18:24 needed.20:2 nesfoir 1 :21 4:9 25:6,19 26:13 27:20 never 20: 13, 17,20 20:25 new 2:15,15 5:13 5:14,17,17 11 :11 11:14 news 12:24 13:24 15:2,2 nonprosecution 15:15,19 16:2 notary 26: 13 notes 25:11 notice 27:6 notified 20: 15, 19 0 oath 5:2 26:1 object 19:4 objecting 19:6 objection 13:12 15:4 18:21,25 obviously 18:22 occasions 22:7 odds 17:21 official 26:9 oh 10:17 okay 14:22 15:8 16:19 19:1,13 20:23 22:6 ongoing 24:1 ordered 27:12 o:rdering 27:16 original 27: 15 cmtside 6:5 10:2,3 15:22 overturn 15:15 21:15 p p27:10 pa 1:16 2:4,9,12 27:2 page3:3,ll 28:2,7 palm 1:1,16,17 2:5 2:5,13 4:7,7 5:13 5:19 27:22 pardon 5:21 pa:ris 5:14,18 11 :17 part24:1 parties 25:13,14 27:14 partner 19:22,25 19:25 partners 19:23 party 15:16 16:3 27:11 penalties 28 :21 people 10:24 peoples 10:23 perjury 28 :21 permitted 24:5 pe:rson 23 :21 personally 26:7 pe:rsons 23 :22,23 phipps 4:10,12 27:21 phi...
NOT A CERTIFIED COPY 14:12 22:11 25:12 25:14 relevancy 13:13,14 relevant 14:10 22:8 repeat 19: 15 report 25:8 reported 1 :21 reporter4:9 12:24 13:24 25:1,7 26:13 reporters 15 :2 reporting 4: 10,12 27:21 representative 12:25 13:24 requested 25: 10 residence 5 :7 ,9 residences 5: 11 respect 12: 1,5 23:24 retained 7:23 return 27:13,18 review 25:9 27:7 rico 24:4 right 8:21,25 11:8 15:8 18:2,7 21:20 21 :22 22:25 road 5:18 rothstein 1 :7 19:23 19:25 20:1,6 rothsteins 20:4 rpr 1:21 25:19 27:20 rra 19:23 rulings 6:17 s s 1 :5,9 3:8 santo 2:9 says 22:23 scairofa 1 :16 2:3,4 3:4 4:15,15 5:5 6:1,15,19,23 7:2,7 7:12,17,22 8:2,8 8:22 9:19,22 10:11,17 11 :1,9 12:12 13:3,6,12 13:15,21 14:24 16:4,20 18:8,13 18:24 19:2,5,12 22:17,21,24 23:5 schedule 27:9 scheduled 23:21 schedules 10:23 scott 1 :7 19 :22,25 sea] 26:9 searcy 1:162:4 second 9:13 see 10:21 23:3 seeking 15:15 seen 16:25 served 20:9,13,17 20:20,25 21:5 serves 15 :20 services 4:11 7:23 set 15:19 16:1 sexrelated 7:20,25 8:6 12:23 13:22 15:12 sexual 6:2, 11,20,24 7:4,9,15 10:15,19 21:10,17 22:10 sheet27:13 28:1 shipley 1:16 2:4 show20:3 shut 16:18 side 16:14 sign 2 7: 15, 1 7 signature 27:7, 17 27:23 simply 15:24 21:13 sir 5:21 12:11 17:5 19:16,19 21 :20 solicited 8:23 9:1,4 9:7,10 11:2,10,13 11: 16, 19,22,25 12:4,16,20 solicifollg 8: 13 12:9 12:14 someones 16: 10 soon 16:6 sorry 18:17 19:15 21:12 sought 7:13,18 south 2: 13 19:24 speaking 18 :25 specific 17:15 23:6 stand 9:24 state 5:6 9:5,8 13:23 17:24 18:15 21:8 25:3 26:3,13 stated 28:21 stay 14:20 stenographic 25: 11 stenographicaHy 1:2125:8 sticker 16:7 stop9:12 street 2: 15 5: 1 7 stuff22:10 styled 16:24 substantiaUy 24:7 sued 17:2 suite2:12 27:21 supportive 24:2,4 sure 10: 17 17:8 18:1221:12 sworn 5:2 26:8 T t 3:8 take 9: 19 14 :1 21 :14,24 23:3 27:6 taken 10:22 14:5 22:2 23:21,22 tammy 1 :21 4:9 25:6,19 26:13 27:20 terminating22:l 7 testified...
NOT A CERTIFIED COPY 14th 2:10 27:2 15thl:1 16 3:12 161527:21 2 2012 1:12 4:2 25:17 26:10 27:1,6 28:5 2015 26:14 21391:16 2:5 4:6 22 5:18 23 26:14 234 20:8 234count 19:21 251:12 4:2 27:1,6 28:5 250 2:13 25th 25:17 26:9 3 3014:3 27:15 3012:15 331312:10 27:3 334012:13 27:22 33409 1: 17 2:5 34 1 :13 4:3 358 5:19 'lOi 0-1.::; ~./ .-/•.!.-' 4 4 3:4 27:9 4014:4 43 14:6 5 50 14:7 50027:21 502009ca040800 ... 1:227:5 28:4 58 21 :25 22:3 6 6100 5:9 66th 2:15 7 71st 5:17 ' •·- -. '-~ .. _. ·:· ·----··o.'"· .. :· 8 811340827:8 888 27:8 9 91:13 4:3 5:17 9:15 14:3,4,6,7 21 :25 22:3 27:9 ,,. ' ·.er - -· .• c:.·.·· ~-· .. , .. ,· . -·-·· ,, ,,, ,,, ,,··;;,.,.c-.·--•.... -.• ··-:, www.phippsreporting.com (888) 811-3408 Page 33 1, .: ;, ' I, I, ' }. 1: j; 1, I' '' . . , ', . .',
NOT A CERTIFIED COPY 1 2 3 5 6 7 8 9 10 11 12 13 14 15 16 17 18 19 20 21 22 23 24 25 Page 1 IN THE CIRCUIT COURT OF THE FIFTEENTH JUDICIAL C!RCUJT IN AND FOR PALM BEACH COUNTY, FLORIDA CASE NO. 50 2009CA040800XXXXMB AG Complex Litigation, Fla.R.Civ.Pro. 120 I .JEFFREY EPSTEIN, Plaintiff, -vs- VOLUME I OF 11 SCOTT ROTHSTEIN, individually, BRADLEY J. EDWARDS, individually, and L.M. individually, Defendants. VIDEOTAPED DEPOSITION OF BRADLEY J. EDWARDS, ESQUIRE Tuesday, March 23, 200 IO 10:00 - 5:07 p.m. 2139 Palm Beach Lakes, Boulevard West Palm Beach, Florida 33401 Reported By: Cynthia Hopkins, RPR, FPR Notary Public, State of Florida Prose Court Reporting Job No.: 1333 Page 2 APPEARANCES: On behalf of the Plaintiff: ROBERT D. CRITTON, JR., ESQUIRE BUR1v1AJ\J, CR1TT01~, LUTTIER & COLEivl.AJ...J, LLP 303 Banyan Boulevard Suite 400 West Palm Beach, Florida 33401 Phone: 561.842.2820 and JACK ALAN GOLDBERGER, ESQUIRE ATTERBURY, GOLDBERGER & WEISS, P.A. 250 Australian Avenue South Suite 1400 West Palm Beach, Florida 33401-5012 Phone: 561.659 .8300 and On behalf of the Plaintiff: ALAN M. DERSHOWITZ, ESQU1RE HARVARD LAW SCHOOL Hauser 520 Cambridge, Massachusetts 02138 Phone: 617.496.2020 On behalf of the Defendant: JACK SCAROLA, ESQUIRE SEARCY, DENNEY, SCAROLA, BARNHART & SHIPLEY, P.A. 2139 Palm Beach Lakes Boulevard West Palm Beach, Florida 33409 Phone: 561 .686.6300 ALSO PRESENT: Jeffrey Epstein Joseph Kozak, Videographer Prose Reporting Services m , . .. ·• I• 1 2 3 4 5 6 7 8 9 10 11 12 13 14 15 16 17 18 19 20 21 22 23 24 25 1 ·2 3 4 5 6 7 8 9 10 11 12 13 14 15 16 17 18 19 20 21 22 23 24 ? c; EXHIBIT F Page 3 INDEX EXAMINATION DIRECT CROSS REDIRECT BRADLEY J. EDWARDS, ESQUIRE BY IvIB.. CRITTON 5 EXHIBITS EXHIBIT DESCRIPTION PAGE PLAINTIFF'S EX. 1 ALFREDO RODRIGUEZ CRIMINAL COMPLAINT PLAINTIFF'S EX. 2 COMPLAINT PLAINTIFF'S E...
NOT A CERTIFIED COPY 1 2 3 4 s 6 7 8 9 10 11 12 13 14 15 16 17 18 19 20 21 22 23 24 25 1 2 3 4 5 6 7 8 9 10 11 12 13 14 15 16 17 18 19 20 21 22 23 24 25 Page 5 Plaintiff, Jeffrey Epstein. MR. GOLDBERG: Jack Goldberger on behalf of the Plaintiff, Jeffrey Epstein. MR. DERSHOWITZ: Alan Dershowitz on behalf of the Plaintiff, Jeffrey Epstein, of counsel. MR. SCAROLA: The record should reflect that Ivlr. Epstein is also personally present. My name is Jack Scarola. I am counsel on behalf of the Defendant/Counter-Plaintiff, Brad Edwards. Thereupon, (BRADLEY J. EDWARDS, ESQUIRE) having been first duly sworn or affirmed, was examined and testified as follows: THE WITNESS: Yes. DIRECT EXAiv1INATION BY MR. CRITTON: Q. Would you please tell us your full name and home your home address. A. Bradley James Edwards, 1109 Northeast Second Street, Hallandale Beach, Florida, 33009. Q. Date ofbirth, please. A. Q. Ivlr. Edwards, have you ever had your deposition taken before? Page 6 A. No. Q. Okay. But you've counseled, you've obviously taken a number of depositions both as a Plaintiff and as a Defendant. You're familiar with all the rules? A. I know the rules. Q. All right. Again ifl ask you a question you don't understand, if you would ask me or if you want me to rephrase it, I will be happy to do that. A. Yes. MR. SCAROLA: Mr. Edwards, Mr. Edwards, knows the rules. You can skip the preliminaries. MR. CRITTON: Is that a form objection? IVlR. SCAROLA: No. MR. CRITTON: Just a talk. MR. SCAROLA: It's a, it's a request that you not waste our time. MR. CRITTON: I am not wasting your time. And ifwe hadn't gone through that, we would have been done with them, Jack. BY MR. CRITTON: Q. Mr. Edwards, are you currently employed? A. Yes. Q. And by whom are you currently employed? 1 2 3 4 5 6 7 8 9 10 11 12 13 14 15 16 17 18 19 20 21 22 23 24 25 1 2 3 4 5 6 7 8 9 10 ...
NOT A CERTIFIED COPY 1 2 3 4 5 6 7 8 9 10 11 12 13 14 15 16 17 18 19 20 21 22 23 24 25 1 2 3 4 5 6 7 8 9 10 11 12 13 14 15 16 17 18 19 20 21 22 23 24 25 Page 9 partnership? A. What do you mean by that? Q. Do you understand what an employee is? A. I work for the finn. Q. You are certainly not -- A. I am employed there, so, yes. Q. When did you start your association with the Fanner, Jaffe finn? A. Sometime during the month of November, 2009. Q. And is that when the firm was incorporated as a professional association? A. I believe so. Q. The attorneys who are in the current finn, are they all former Rothstein Rosenfeldt Adler attorneys; that is, the professional staff? A. Yes. Q. Is there anyone -- Let me strike that. Do you have paralegals as well that work there? A. Yes. Q. Are any of the paralegals fonner, and ifl refer to Rothstein Rosenfeldt Adler as RR.A, or RRA, is that all right with you? A. I understand what you mean. Q. Are there any other, are any of the Page 10 paralegals that are currently employed by Farmer, Jaffe in any capacity whether they are independent contractors -- well, let me strike that. As employee's, I probably should ask this question: Does the firm, Fanner, Jaffe have employees -- A. Yes. Q. -- separate and apart from the partners? A. Yes. Q. And they are actually employed by the P.A., correct? A. Correct. Q. Does the firm have any paralegals that came over from the RRA firm, RRA? A. Yes. Q. Who are they? A. Maria and Beth. Q. Does Maria have a last name? A. Yes. Q. What is it, please? A. I believe it's pronounced Kelljian. Q. Can you spell it? A. I can give it my best shot, K-E-L-L-J-I-A-N. Q. And Beth's last name is what, please? A. Williamson. 1 2 3 4 5 6 7 8 9 10 11 12 13 14 15 16 17 18 19 20 21 22 23 24 25 1 2 3 4 5 6 7 8 9 10 11 12 13 14 15 16 17 18 19 20 21 22 23 24 25 Page 11 Q. She'...
NOT A CERTIFIED COPY Page 13 Page 15 1 A. In what time period? What's your question? 1 substitution of counsel. Did you, were the 2 Q. I'm sorry. During the time that you were 2 substitution of counsel's filed the exact date that 3 associated with RRA, did Mrs. Williamson work on 3 you started with RRA? 4 those cases? 4 A. I don't remember. 5 A. Without you needing to ask 20 different 5 Q. When did your association with RRA 6 questions to get to your answer, I will tell you her 6 terminate or end? 7 involvement was that after federal motions were drafted, 7 A. The end of October 2009 or the beginning of 8 she was the person to literally file the motion. That 8 November 2009. 9 is her only involvement with the cases while at RRA 9 Q. And how did it tenninate? How did your I 10 Q. She basically filed them through the Pacer 10 relationship with RRA terminate? 11 system? 11 A. T11e firm closed. 12 A. Exactly. 12 Q. Did you get, notification -- when you say 13 Q. Prior to you working at Farmer, Jaffe by 13 closed, meaning what? 14 whom were you employed? And by employed I mean in, 14 A. Meaning what everybody in this entire room 15 in a broad sense. You could have been an 15 knows is that the firm went from operating to no longer 16 independent contractor. You could have been a 16 operating. 17 partner. You could have been an employee. 17 Q. And how did you receive notice; that is, I, 18 A. The law firm of Rothstein Rosenfeldt Adler. 18 did you receive some sort of notice that told you 19 Q. When did you start working for RRA? 19 that RRA now is a defunct firm? Did you receive I I 20 A. I believe April of 2009. 20 notification that was in bankruptcy? What, if I 21 Q. Beginning of April? 21 anything, did you receive? 22 A. Yes. 22 A. I didn't receive anything. I 23 Q. I saw a pleading that was filed yesterday 23 Q. And then how did your relationship with I 24 and it was e...
NOT A CERTIFIED COPY 1 2 3 4 5 6 7 8 9 10 11 12 13 14 15 16 17 18 19 20 21 22 23 24 25 1 2 3 4 5 6 7 8 9 10 11 12 13 14 15 16 17 18 19 20 21 22 23 24 25 Page 17 the room was completely full to capacity with as many employees of the Rothstein, Rosenfeldt Adler fim1 as were in attendance at work that day. Q. And included lawyers, paralegals, support staff, investigators? A. Literally -- Q. -- everyone, I mean everyone who obviously showed up at the meeting? A. I don't know. Q. Did you see other lawyers there? A. Yes. Q. Did you see staff there? A. Yes. Q. Did you see paralegals there? A. Yes. Q. Did you see investigators there? A. I can't necessarily remember whether or not I saw investor -- investigators there. Q. And did more than one person speak at the meeting? A. I don't remember. Q. Okay. What else were you advised at the meeting, if anything? A. It was -- I stayed for very little of that meeting. I don't know what was advised to others, but Page 18 what l heard was, firm is closing down. That's al1 l needed to hear and I left. Q. Did you subsequent -- weii, iet me strike that. Did you, were you able to gain, gain access to the building that day? I am sorry, access to your, to the offices of the Rothstein finn that day? A. Yes. Q. And were you able to access any of your files or your e-mail at that time? A. What time? Q. That same day, that Monday that you were advised that the firm was shutting down. A. Yes. Q. And were you able to print documents? Well, let me strike that. Were you able to take documents relating to matters on which you worked from the firm? A. What do you mean by was I able to? Q. Were you able to access and take with you documents that related to files on which you were working the preceding Friday when you were at RRA? A. I believe so. Q. Did you take, did you actually remove documents, papers that were related to files that you had on which ...
NOT A CERTIFIED COPY Page 21 Page 23 1 Q. Were you able to do legal work on the 1 entry to the office? 2 matters that wherein you represent individuals? 2 A. I don't know. 3 A. Was I able to? Yes, I was physically able to 3 Q. Well, who would, who would monitor whether 4 do that. 4 you came in or couldn't go into the office? 5 Q. Did you work on legal matters that day? 5 A. I don't know. 6 A. No. 6 Q. Was there someone there? ; 7 Q. Did you subsequently, after that date, did 7 A. Was there someone where? 8 you return to the RRA offices? 8 Q. The impression I got is that there was I: 9 A. Yes. 9 some limitation on your ability to access the RRA ll 10 Q. And where are those offices or where were 10 offices after the Monday at which time you were I' 11 those offices located? 11 advised that the finn was shutting down. Did I ; 12 l" .. Las Olas. 12 misunderstand you? 13 Q. The address, please? 13 A. No, that's correct. ' 14 A. I don't remember. 14 Q. Okay. Who then, if you !mow, or what, if 1: 15 Q. With regard to the -- 15 it was an entity, placed any restrictions on your 1, 16 A. 401. 16 access to RRA offices? 1, ' 17 Q. Las Olas? 17 A. I don't know. ;,, 18 A. (Witness nods head.) 18 Q. When you would go to the office -- well, ,, 19 Q. Did you, did you after that Monday did you 19 let me strike that. After how many days -- well, 20 return to the offices at 401 Las 01as, the RRA 20 let me strike that. ; 21 offices? 21 The very day, the same day that you ' " 22 A. Yes. 22 were advised that the office was closing down, were :: i", 23 Q. And did you return every day thereafter 23 there any individuals that were monitoring what, if 24 for a period of time? 24 anything, was to be removed or not removed from the I' 25 A. No. 25 office, like a security force, Broward County ,, ,, 1, Page 22 Page 24 : :: 1 Q. Was there a point in time that you were 1 P...
NOT A CERTIFIED COPY Page 25 Page 27 1 A. Possibly. 1 management system; that is, did you utilize the 2 Q. Did you ever attempt to remove something 2 software that was available? 3 from the office of the RRA offices and someone 3 A. Yes. 4 prevented you? 4 Q. And had you ever used a system like that 5 A. No. 5 before you came to the RRA firm, RRA? 6 Q. Did you ever -- and when I say remove I 6 A. I don't understand. . 7 mean in the sense of physically remove; that is, 7 Q. Okay. Had you ever used an electronic 8 take out boxes or take out files or something of 8 case management software system before you came to I 9 that nature. 9 RRA? I 10 A. I understand the definition ofremove. 10 A. Yes. 11 Q. With regard to, there were also, I 11 Q. Was yours the system that you had used 12 understand you had a.11 e-mail server at the office? 12 befme was that were you able to integrate that with 13 A. Okay. 13 RRA, with the RRA file or system when you got there, 14 Q. Is that correct? 14 or did your files have to be put on the new RRA L 15 A. Yes. 15 system? 16 Q. And I have seen something, there is 16 A. The latter. Ii 17 something that's called Qtask. Are you familiar 17 Q. In addition, so we had the e-mail server, I' 18 with Qtask? 18 Qtask, and electronic case management system. Was 19 A. Yes. 19 there any other type of electronic storage or system I 20 Q. And what do you understand Qtask or what 20 that was available for communication or storage at 21 did you understand that Qtask did; that is, as an 21 RRA? I:., 22 electronic service? 22 A. Not that I recall. I, 23 A. A web based network to store files and other 23 Q. With regard to the e-mail system, well, I, 24 materials. 24 with regard to the e-mail system, Qtask, and 25 Q. In tenns of electronic storage, or 25 electronic case management, did you require, was ,. I Page 26 Page 28 1, 1 electronic data a...
NOT A CERTIFIED COPY 1 2 3 4 5 6 7 8 9 10 11 12 13 14 15 16 17 18 19 20 21 22 23 24 25 1 2 3 4 5 6 7 8 9 10 11 12 13 14 15 16 17 18 19 20 21 22 23 24 25 Q. With regard to your, the files specifically, specifically the -- well, let me Page 29 strike that. During the time you were at RRA, of the three files, Jane Doe, L.M., and E.W. or in addition to those three files, did you represent any other individuals who were potential claimants against Mr. Epstein? A. I don't believe so. Q. All right. I received notification from you as to a Ms. N.R.? A. N.R. Q. N.R. and Ms. D.F. I believe is her name? A. Correct. Q. Were either of those individuals, had either of those individuals contacted you prior to leaving the RRA firm? A. I don't believe so. Q. Is it your testimony then that none, neither Ms. N.R. nor Ms. D.F. would have had a fee agreement or representation agreement with the RRA firm because they hadn't contacted you prior to your departure from that firm; is that correct? A. I'm not sure. Q. Is it possible that Ms., either Ms. N.R. or Ms. D.F. contacted you before you left the RRA Page 30 firm but you just didn't sign them up before you left? MR. SCAROLA: Objection, caiis for speculation. THE WITNESS: Yes. BY MR. CRITTON: Q. Is there a reason that you would not have signed them up during the time you were with •· or let me strike that. Prior to the implosion, prior, prior to that Monday when you were advised that the RRA firm was closing down, had you made any plans to leave that firm, that is the RRA firm? A. No. Q. Okay. Had you discussed with any other attorneys in RRA departing from RRA or the RRA firm prior to that Monday meeting at which time you were advised that the firm was shutting down? A. No. Q. You indicated it's possible that Ms. N.R. or Ms. D.F. may have contacted you prior to your departure or prior to that Monday meeting. What makes you believe that? A...
NOT A CERTIFIED COPY Page 33 1 Q. Were you at some point given access to all 2 your e-mails so it could be downloaded either on a 3 disk, hard disc, floppy disk, or some other storage 4 medium so that you had access to all your prior 5 e-mails when you were at RRA? 6 A. I don't know. 7 Q. Did you ever make that request to someone, 8 either the receiver or anyone else associated with 9 RRA? 10 A. I don't remember ifl made that request. 11 Q. I thought you indicated earlier, 12 IvfJ. Edwards, that you had access to some of your 13 e-mails. 14 A. I had access to all of my e-mails on that 15 Monday of the meeting, on the next day, on that Tuesday, 16 right, the immediately following the meeting. 32:46 at 17 some point in time it was cutoff and since that time, 18 when it was cutoff, I don't believe I have ever had 19 access back to my entire e-mail system. 20 Q. Okay. Have you had access to portions of 21 your e-mail system? 22 A. Not that I remember. 23 Q. Have you attempted to obtain access or 24 requested that you obtain access or information from 25 your e-mail, from the RRA e-mail server? Page 34 1 A. I don't remember. 2 Q. You say you don't remember. Would there 3 have been a reason that you either requested Di 4 didn't request access to your prior e-mail? When I 5 say prior I mean at RRA 6 A. Usually you read all of your e-mails and there 7 shouldn't be anything that I had not read. However, 8 there are some e-mails that you would like to keep 9 around. So there may have been reason for me to have 10 requested. However, I don't believe I was ever granted 11 access to those e-mails, and I can't specifically 12 remember requesting the e-mails. 13 Q. Within, within the e-mails you would have 14 corresponded with or communicated with people 15 outside of the finn and as well as people within the 16 firm, true? 17 A. Ever, yes. 18 Q. During the time you were RRA 19 A. Did I ever c...
NOT A CERTIFIED COPY 1 2 3 4 5 6 7 8 9 10 11 12 13 14 15 16 17 18 19 20 21 22 23 24 25 1 2 3 4 5 6 7 8 9 10 11 12 13 14 15 16 17 18 19 20 21 22 23 24 25 Page 37 been put in the Qtask program for, for purposes of creating a project? A. Repeat it again. Q. Okay. Could a case like Jane Doe versus Jeffrey Epstein been put in the Qtask system as a project so that you and others could look at it? A. You mean is, is, is the project capable of holding such a project? Q. Yes,just generically. A. Yes, yes. Q. And in terms of the RRA system, did the RRA system ever have as, as a project Jane Doe versus Jeffrey Epstein? A. I don't believe so. Q. Did you ever look in the Qtask, Qtask system to determine whether you or anyone on your behalf or any other person in the firm had ever put Jane Doe versus Jeffrey Epstein into the Qtask system? A. Yes. Q. Okay. And what did you find or not find? A. I, I don't remember if that was the name of any project in the system. It could have been, but it may not have been. I don't remember that as a specific project in the system. Page 38 Q. When you say a specific project, ifl understand you correctly, Mr. Edwards, that would have been, as an example, it could be any case. It could be a real estate case, it could be a labor case, it could be Jane Doe versus Jeffrey Epstein, but someone could, someone whether it was you or someone else could put in facts and information about the case? A Similar to any case management system that's, it just happens to be web based, but you have the right concept. Q. Is the concept the same concept for an electronic, for the third electronic system, you had the electronic case management system? A. I suppose at full capacity it, it may. I just wasn't that adept at Qtask to !mow all of the capabilities of Qtask. Q. With regard to the third item which I am going to come back to Qtask in just a minute, the electronic case...
NOT A CERTIFIED COPY 1 2 3 4 5 6 7 8 9 10 11 12 13 14 15 16 17 18 19 20 21 22 23 24 25 1 2 3 4 5 6 7 8 9 10 11 12 13 14 15 16 17 18 19 20 21 22 23 24 25 Page 41 someone wanted to call the project? A. You have the right idea. Q. And ifl understand it correctly is in terms of the project, is if it was, if it was as an example the Jane Doe case, you could, you or anyone else could put information in about Jane Doe, might not call it Jane Doe, but whatever amount of information you or anyone else wanted to put in, could put it into the Qtask so that other attorneys, staff, investigators, paralegals, anyone who could access the Qtask system, could see that project; is that correct? A. So that the people that were invited to the project could see the project and those people only. Q. And when you say invited to the project, is, would, would, assuming you're the person who created the project -- A. Okay. Q. -- would you then set the parameters as to, or the guidelines as to who could come into the project? A. Maybe. Q. Okay. If, again, if it wasn't you, who else could have set the parameters; that is, who else can access the file? Page 42 A. Let's say I am the lead on a project: I believe that is what it was called the, I believe that was the titie given to the person that initiates the project, ifl want to then invite one or two or three or 100 other attorneys to that project to help work on various aspects, I could do that. And ifl didn't choose to add somebody, and another attorney said make me a lead so that I can add somebody, that's another way that that other lead could have invited somebody else to the project. And when you open up the interphase of Qtask, you're immediately shown a portfolio of or a photograph of the people that are invited to the specific project and those people can access it. Q. So, if it was, as an example, if it was, if you were the lead person and you...
NOT A CERTIFIED COPY Page 45 1 the case. You describe the facts. You describe the 2 witnesses, things of that nature, or are you 3 actually, can you -- well, first of all can you do 4 that? 5 A. Can you describe the case and describe the 6 facts? Yes, you can. 7 Q. And is that, when you say project centric, 8 is that what you're doing very much like the 9 electronic, much like the Fortis program? 10 A. It's not very much like the Fortis program in 11 my mind, but it's, it is what you are doing, you're 12 inputting information about a specific project. 13 Q. Can you put in the facts about a case, 14 again just generically, can you put in facts about a 15 particular case and then ask someone in your 16 invitees to comment on what they think, might think 17 the value of the case is or is not and give 18 suggestions as to discovery and things of that 19 nature? Is that all true? 20 A. Yes. 21 Q. And with regard to -- and once those 22 invitees show up and they're photographed, then each 23 of those individuals can have access to the file and 24 add their thoughts or opinions -- 25 A. Repeat it. Page 46 1 Q. -- or suggestions. Let me strike that. 2 With regard to the Qtask, once, ') once -- assuming that you're the lead, you create _J 4 the project and then you, you say, okay, now it's in 5 a form that I want to get some invitees involved. 6 Do you then send that project; that is, you then on 7 Qtask you list the invitees and those people would 8 be, get some sort of cue that they had been invited 9 to the project up to the Qtask system? 10 A. I don't remember the exact process for 11 inviting, but there is a way to invite. And to the best 12 of my recollection, they do receive a notification that 13 they have been invited so that they can accept. 14 Q. Okay. Can, can someone who has not been 15 invited also access the system? 16 A. No. 17 Q. Okay. And how do you know that? 18 A. That'...
NOT A CERTIFIED COPY 1 2 3 4 5 6 7 8 9 10 11 12 13 14 15 16 17 18 19 20 21 22 23 24 25 1 2 3 4 5 6 7 8 9 10 11 12 13 14 15 16 17 18 19 20 21 22 23 24 25 Page 49 A. No. Q. And therefore as you sit here today, you don't know whether someone else, whether it was another attorney, whether it was an investigator or a staff person ever put the Jane Doe versus Epstein case on Qtask? A. Or whether it was you, right. Q. Right. As to L.M., did you ever put L.M.'s case or direct -- well, let me strike that. Did you ever create a project for L.M. on Qtask? A. No. Q. Did you ever direct that someone else create a project in Qtask for the L.M. case, L.M. versus Jeffrey Epstein case? A No. Q. Do you have any knowledge as to whether -- let me strike that. Did you ever go on Qtask or have you been able to determine whether anyone else within the RRA firm put the L.M. versus Jeffrey Epstein case or any aspects of it on Qtask? Have you looked or do you know? A. I don't know. Q. Has anyone told you that the L.M. case against Jeffrey Epstein was on Qtask? A. No. Page 50 Q. Okay. And so it's your testimony as far as you know the L.M. versus Jeffrey Epstein case was not ever on the Qtask system; is that correct? A. To the best ofmy recollection today. Q. When I describe both the Jane Doe versus Jeffrey Epstein case and the L.M. versus Jeffrey Epstein case being on Qtask, I don't necessarily mean just the pleadings. I mean any aspect ofit, not necessarily the pleadings or the fact that the case was there but the factual circumstances surrounding either case. A. I am not going to get into what my work-product privilege, I am not going to allow you to pierce that privilege. I am not going to tell you what, regarding those cases, was or was not on Qtask. Q. Well, let me ask a specific question. So if you want to claim some sort of privilege so the record is cl ear. A. Sure. Q. With regard to, and le...
NOT A CERTIFIED COPY 1 2 3 4 5 6 7 8 9 10 11 12 13 14 15 16 17 18 19 20 21 22 23 24 25 Page 53 Q. Okay. So we don't -- you gave a broader response to a question or that is you rephrased the question. So, let me ask it in a broader sense. Was any information about the, your three clients put into the Qtask, about your three clients, Jane Doe, E.W., and L.M. versus Jeffrey Epstein, or against Jeffrey Epstein, was any information ever put into the Qtask system? I don't want to know the information, just whether you put information into the Qtask system. A. Yes. Q. Did you do it yourself or did you do it in conjunction with someone else? A. Expiain to me what you mean by did I do it in conjunction with somebody else. Q. Well, is, you may have typed in the information yourself. A. I strike one key; somebody else strikes another? Q. No, you may have input all the information you want, whatever information you want to put into Qtask, you may have made the decision to do that. All right. My question is someone else, a secretary, or a paralegal may have helped you, an investigator may have put some information in, at Page 54 1 least at your direction regarding these three 2 individuals' claims against Mr. Epstein? 3 A. Infonnation that I put into Qtask is 4 information that was inputted into Qtask by me. 5 Q. Did you ever direct anyone else to put any 6 additional information in with regard to those three 7 claims against Mr. Epstein? 8 A. I don't believe so. 9 Q. And what type of information did you put 10 into Qtask regarding the claims against Mr. Epstein? 11 MR. SCAROLA: Read that back, please. 12 (The requested portion of the record was 13 read by the reporter.) 14 MR. SCAROLA: We're going to object and 15 that I will instruct you not to answer on the 16 basis of both attorney-client and work-product 1 7 privileges. 18 MR. CRITTON: I assume ifMr. Scarola 19 asserts an objection, you...
NOT A CERTIFIED COPY 1 2 3 4 5 6 7 8 9 10 11 12 13 14 15 16 17 18 19 20 21 22 23 24 25 1 2 3 4 5 6 7 8 9 10 11 12 13 14 15 16 17 18 19 20 21 22 23 24 25 Page 57 Qtask file relating to claims again Mr. Epstein? A. To the best ofmy knowledge, no. I take that back. I don't know who created the project, but I am only aware of the project that I participated in related to Mr. Epstein and his molestation of many children, period. Q. And what did you call the project; that is how it was identified on the Qtask system? A. I don't remember. Q. Do you recall when it was created? A. No. Q. Do you recall whether it was created within a month of your coming to RRA? A. I don't remember. Q. Do you recall whether it was, I think you said approximately the beginning of April of'09 you came to RRA, correct? A. Correct. Q. All right. And is it, just so the record is clear it's, your testimony is you don't recall whether you created the project in April, May, June, July, August, September or October relating to the claims against Mr. Epstein? A. I don't remember ifl created the project, period. Page 58 Q. Separate and apart from whether -- well, iet me strike that. If you didn't create the project, who would have? A. I don't know. Q. Well, do you remember -- let me strike that. Do you know whether with regard to the project, and for purposes of at least this question, let me just call it the Epstein project, are you okay with that designation? A. Yes. Q. Okay. With regard to the Epstein project that was created in the Qtask system, ifl am understanding correctly, you don't remember whether you created it or someone else did, correct? A Correct. Q. Who would have had access to your files that could have created the Epstein project other than you? A That question makes no sense. Q. Okay. MR. SCAROLA: And it also assumes facts not in evidence and does not have a prior proper predicate. THE ...
NOT A CERTIFIED COPY 1 2 3 4 5 6 7 8 9 10 11 12 13 14 15 16 17 18 19 20 21 22 23 24 25 1 2 3 4 5 6 7 8 9 10 11 12 13 14 15 16 17 18 19 20 21 22 23 24 25 Page 61 BY MR. CRITTON: Q. With regard to the scanned system; that is, to store the electronic records, was that put in through the, through the Fortis program? A. Yes, I believe so. Q. And did you as well -- let me strike that. Prior to coming to RRA had you ever worked in a paperless file or in a paperless office? A. I don't understand. Q. Had you ever been working in an office prior to coming to RRA that was designed to be paperless? A. No, but as I mentioned earlier, I have worked with case management software that stores electronic versions of files, so therefore there is a paperless system. Q. Did you as well when you came to RRA with regard to the Epstein related matters or the content of your Epstein investigation and files, had you placed any of that on a prior, a previous paperless system or did you have the paper itself or both? A. Both. Q. And during the time that you operated at RRA, did you operate both with a, you individually with regard to the Epstein files, did you operate Page 62 both in a paper and a paperless manner? A. No. Q. Did you operate oniy in a -- weii, in what way did you operate? A. Paperless. Q. Okay. So if, if as an example I sent you correspondence or answers to interrogatories or a response to a pleading and it came in the mail, would that document be scanned and then you would toss away the paper? A. I don't know. Q. So, you may well have had paper in addition to -- well, let me strike that. Do you even !mow whether the document was scanned? A. If you're telling me you sent correspondence in the mail and I would later see that correspondence in my virtual mailbox, I make the logical assumption that it was scanned. I never observed anything being scanned. Q. Okay. And do you, if somethin...
NOT A CERTIFIED COPY 1 2 3 4 5 6 7 8 9 10 11 12 13 14 15 16 17 18 19 20 21 22 23 24 25 1 2 3 4 5 6 7 8 9 10 11 12 13 14 15 16 17 18 19 20 21 22 23 24 25 Page 65 before joining them? A. People that I would consider to be my friend, yes. Q. Who. A. Russell Adler. Q. And how did you know Mr. Adler? A. We worked out at the same gym for about, approximately four or five years. Q. What were you doing, prior to your association with RRA, what was your employment? A. What? Q. 'Nere you working as a solo practitioner? Were you working with another firm prior to coming to RRA in April of09? A. Solo practitioner. Q. How long had you been a solo practitioner? A. Approximately two years. Q. During the time you were a solo practitioner, did you ever have any associates working for you, solo imply that you're the only one, is that true, or did you have associates that actually worked for you? A. Various times I had clerks, law school clerks, but that was it. Q. But no other lawyers? Page 66 A. Right. Q. Did you ever have an investigator work for you? A. Yes. Q. Okay. Do you !mow an individual by the name ofFisten, F-i-s-t-e-n? A. I know an individual whose last name is Fisten. Q. All right. What's his first name, the one you !mow? A. Mike. Q. Michael Fisten? A. Yes. Q. Mike Fisten ever do any work for you when you worked as a solo practitioner at any time prior to you joining RRA? A. No. Q. Did you know of Michael Fisten or Mike Fisten prior to joining RRA? A. No. Q. With regard to the investigators that you used prior to joining RRA, did you use, or were any of those individuals ever employed by RRA during the time you were there? A. No. 1 2 3 4 5 6 7 8 9 10 11 12 13 14 15 16 17 18 19 20 21 22 23 24 25 1 2 3 4 5 6 7 8 9 10 11 12 13 14 15 16 17 18 19 20 21 22 23 24 25 Page 67 Q. How did it, how did it happen that you came to be e...
NOT A CERTIFIED COPY Page 69 1 Q. How many times did you meet with Scott 2 Rothstein prior to accepting a position with RRA? 3 A. Once. 4 Q. Where did the meeting take place? 5 A. The restaurant BOVA. 6 Q. Did you understand Mr. Rothstein had an 7 interest in BOVA? 8 A. At the time? 9 Q. Yes, sir. 10 A. No. 11 Q. Did you learn that during the time that 12 you worked for RR.A 13 A. Yes. 14 Q. Okay. Who was present other than 15 Mr. Rothstein when you met with him at BOVA? 16 A. Nobody. 17 Q. Who had set up the meeting? 18 A. Russell. 19 Q. And had anything been discussed at least 20 as of that time with regard to what your opportunity 21 was or in te1ms of compensation? 22 A. Specifically, no. 23 Q. How long did the meeting with 24 Mr. Rothstein last? 25 A. Ten minutes. Page 70 1 Q. Did you have lunch with him or you just 2 sat down and talked with him at the table at the 3 restaurant? 4 A. Sat down and talked to him. 5 Q. Had you submitted any kind of a resume to 6 Mr. Adler as to what your experience was? 7 A. No. 8 Q. So, you, at that time you are a solo 9 practitioner. Mr. Adler calls you and says, or you 10 express an interest. Mr. Adler says we have an 11 interest in talking to you, and you set up a meeting 12 with Mr. Rothstein. Is that pretty much it? 13 A. You're now making things up that is totally 14 inaccurate, and doesn't reflect what I have been telling 15 you at all. I didn't express any interests. I wasn't 16 looking for a job. I wasn't seeking him out. In fact, 17 that is the exact opposite of what I have just gone 18 through explaining to you about conversations at the gym 19 that ultimately lead to him convincing me this is a good 20 place to come into and me agreeing to this meeting with 21 Scott Rothstein. 22 Q. Okay. When you went to meet with Mr! 23 Rothstein did you have any interest or was this just 24 a throw-away meeting. Maybe I misunderstood...
NOT A CERTIFIED COPY Page 73 Page 75 1 expect. 1 A. Possibly. 2 Q. What did you tell him that you expected? 2 Q. Do you recall what he said? 3 MR. SCAROLA: Objection, economic privacy. 3 A. What do you mean by benefits? 4 BY MR. CRITTON: 4 Q. I mean would you get health insurance and 5 Q. All I am interested now, not necessarily 5 those types of things as well? 6 what you were earning but what you told him, i.e., 6 A. I believe that was discussed. I'm not sure. 7 Mr. Rothstein that you wanted to get or expected to 7 I can't tell you I got them but I don't know. 8 earn if you considered a job at RRA 8 Q. Did you discuss any of your cases that you I! 9 MR. SCAROLA: Objection. Economic 9 had with him? I••. 10 privacy, instruct you not to answer. It's 10 A. No. 11 neither relevant nor material nor reasonably 11 Q. Okay. Did you sign an employment ,,. 12 likely to lead to relevant material infomrntion 12 agreement at any time with RRA? 13 and invades the economic privacy of the 13 A. No. 14 witness. 14 Q. After the -- let me go back. Did you say 15 MR. CRITTON: Is that fmm? 15 you did or did not discuss any of your current cases 16 BY MR. CRITTON: 16 with him? : 17 Q. Mr. Edwards, you gave him a number, is 17 A. Did not. h 18 that correct? Him meaning Mr. Rothstein. 18 Q. Okay. Were you aware, had you discussed 19 A. I believe so. 19 your cases -- I think you said you had discussed E 20 Q. And was the number that you gave him more 20 your cases or Russell Adler had an idea of the type , .. 21 than you had earned for the year 2008 or less? 21 of cases you had? 22 MR. SCAROLA: Same objection. 22 A. Over the years Russ and I are friends; we ii 23 MR. CRITTON: Or the same? 23 talked about cases. 24 MR. SCAROLA: Same objection, same 24 Q. Did you say you had discussed the Epstein F· 25 instruction. 25 cases with him? Him, meaning Adler. 11 Page 74 Page 76 1: 1 B...
NOT A CERTIFIED COPY 1 2 3 4 5 6 7 8 9 10 11 12 13 14 15 16 17 18 19 20 21 22 23 24 25 1 2 3 4 5 6 7 8 9 10 11 12 13 14 15 16 17 18 19 20 21 22 23 24 25 Page 77 Q. And how long did you think about it? A. I don't remember. Q. Did you, and who did you contact? Well, let me strike that. At some point did you make a decision -- A. Yes. Q. -- to go work for RRA, correct? A. Correct. Q. Did Mr. Rothstein at the initial meeting tell you whether you would be a partner? A. No. Q. Did he describe that you would be at least to the public at large you would be described as a partner? A. No. Q. Did you understand who the partners were -- well, let me trick that. Is RRA, was RRA a PA? A. I don't !mow. Q. Did you ever find out during, up through today's date do you lmow whether RRA was a PA or an LLC or an LLP? A. No. Q. Did you ever go online to look at who the officers and directors were or had members if it was Page 78 anLLP? A. During the initial, initial meeting with Scott Rothstein, he toid me there are oniy two equity panners of this law finn, and it will always be that way; myself and Stuart Rosenfeldt, period. Q. And did he say that they each own 50 percent, or did he say, they were just partners? A. Did not say. Q. Prior to your -- let me strike that. I think as you said at some point you made a decision to join RRA? A. Right. Q. And who did you convey that to? A. Russell. Q. And what happened thereafter? That is, how did you go from then being a solo practitioner into RRA? How did you integrate yourself? What was the timing and what did you do? A. At some point in time I was no longer working in my Hollywood office and was working at RRA on Las Olas. So, physically I showed up to work at a different location. Q. And did someone -- well, let me strike that. From the time that you announced that you would go, you told Mr. Adler up until the time you 1 2 3 4 5 6 7 8 ...
NOT A CERTIFIED COPY 1 2 3 4 5 6 7 8 9 10 11 12 13 14 15 16 17 18 19 20 21 22 23 24 25 1 2 3 4 5 6 7 8 9 10 11 12 13 14 15 16 17 18 19 20 21 22 23 24 25 Page 81 of, as a potential recipient of any contingency fee or is he paid on an hourly basis, either when you were a sole practitioner during the RRA stages or at the current time? A. Contingency. Q. Does he get part, at least as it was set up as a sole practitioner was Mr. Cassell also on the contract with each of the three individuals? A. I don't believe so. Q. You don't-- he is not on any of the contracts, Mr. Cassell? ,1i.. There is a contract that he is on but your question is when the cases were first signed up, was he on the initial contract. And I believe the answer to that is no. Q. Prior to the time or during the time that you were in sole practice before you went to RRA was Mr. Cassell ever on any of the contracts with the three Plaintiffs? A. Yes. Q. Okay. When you moved to RRA, was a new fee agreement signed with each of the individuals, each of the three Plaintiffs? A. No. Q. Was there some form of an assignment? Page 82 A. Well, not to my lmowledge. I don't want to say no, but I don't know of any fee agreement that was signed with the ciient. Q. As a -- from the time that the original -- let me strike that. Ifl understood you correctly is as an example E.W. was your first case? A First client. Q. First client, right. Mr. Howell would have referred the case, so he would have shown up as a referring order. And at some point Mr. Cassell also came on the contractor or a contract; is that correct? A. A contract, yes. Q. So, there was at least two contracts with regard to E.W.? A. That I remember. Q. And with regard to E.W., Jane Doe, and L.M., you don't recall any new contract being signed between those individuals and RRA; is that con-ect? A. That is correct. Q. And with regard to the, whatever the contingency...
NOT A CERTIFIED COPY
Page 85
1
anyone else other than, on any of these three cases;
2
that is, potentially RRA, potentially your new fom,
3
Mr. Cassell, Mr. Howell and the Plaintiff, does
4
anyone else stand to benefit from a recovery in any
5
of those cases?
6
A. No.
7
Q. Has anyone, has any interest in any of the
8
three cases been assigned to a, to a third party
9
other than a law firm or a lawyer or a law firm;
10
that is, to an outside service?
11
A. No.
12
("\
Okay. Have any of the potential
'<·
13
settlements -- I'm sorry. Have any of the potential
14
proceeds from any settlement or verdict been
15
assigned or sold to anyone to your knowledge?
16
A. No.
17
Q. Has E.W., Jane Doe, or L.M. sold,
18
assigned, exchanged for consideration, money, or
19
promises of money, any portion of their potential
20
sett! ements?
21
A. No.
22
Q. Or recoveries?
23
A. No.
24
Q. IfI understood you conectly,
25
Mr. Edwards --
Page 86
1
MR. SCAROLA: Let me interrupt for just a
2
moment. I don't know whether the circumstance
3
applies but I want to be sure, does the scope
4
of your question include a letter of protection
5
to a health care provider?
6
MR. CRITTON: No.
7
MR. SCAROLA: I don't know whether that
8
has occuned in any of these cases, but I
9
assume that's not what you're looking for?
10
MR. CRITTON: I wasn't, but no, I'm
11
looking for -- I think it would not be applied
12
to any of the tln·ee.
13
You understand I wasn't talking about
14
health care providers. I am talking about
15
some independent person or entity that may
16
have purchased some interest or have been
17
assigned some interest in any of those
18
three lawsuits. Do you understand that?
19
THE WITNESS: I think I understood your
20
question, and my answer was responsive and I
21
was not thinking about letters of protection at
22
the time that I gave my answer.
23
BY MR. CRITTON:
24
Q. With -- ifI understood yo...
NOT A CERTIFIED COPY 1 2 3 4 5 6 7 8 9 10 11 12 13 14 15 16 17 18 19 20 21 22 23 24 25 1 2 3 4 5 6 7 8 9 10 11 12 13 14 15 16 17 18 19 20 21 22 23 24 25 Page 89 A. I don't understand. Q. Why did E.W. come, why did she hire you in the first place? What was the purpose? A. This is going to get into attorney-client privileged information as to why she hired me which would incorporate the things that she told me that related to my representation, therefore, I am invoking the privilege and not answering. Q. With regard to E.W. you filed a case -- well, let me ask you this: Do you know how E.W came to contact Mr. Howell? Did he ever relate that to you? MR. SCAROLA: If it's in information that you obtained from your client, I instruct you not to answer. If it's information that you obtained from Mr. Howell, I also instruct you not to answer. Both instructions are on the basis of attorney-client and work-product privileges. Tiffi WITNESS: Attorney-client and work-product privilege. BY MR. CRITTON: Q. Did you, did Mr. Howell -- and I don't want to know the information, at least right now -- did Mr. Howell give you any information about E.W. Page 90 prior to her coming to see you or your seeing her? A. Yes. Q. Okay. And did E.W. for the first, on the first occasion come to your office or did you talk to her by phone or did you go to her place? A First time I talked to E.W? Q. Yes, sir. A. Was over the telephone. Q. All right. And how long, how much time transpired before E.W. retained your services; that is, how many conversations did you have with her before she ultimately retained your services? A. One conversation over the telephone and then the next meeting was in person at my office. That meeting culminated with her retaining my services. Q. And the initial conversation you had with her, what did she relate to you? A. That's attorney-client privilege infonnation that 1 am not goi...
NOT A CERTIFIED COPY 1 2 3 4 5 6 7 8 9 10 11 12 13 14 15 16 17 18 19 20 21 22 23 24 25 1 2 3 4 5 6 7 8 9 10 11 12 13 14 15 16 17 18 19 20 21 22 23 24 25 Page 93 he has spent on each of the cases? A. I do not know. Q. Did you -- has he prepared any pleadings or documents associated with the cases? MR. SCAROLA: You can answer that question. THE WITNESS: Define prepared. BY MR. SCAROLA: Q. All right. Prepared, prepared, start, first of all, started from scratch; that is, has he prepared any of the pleadings or papers that have been filed in any of the three cases starting from scratch that he would have been -- not because you said this but he started with the complaint and you may have changed it, but he started the preparation of the document? A. Your question is has he started the preparation of a docwnent now, right? Q. Any document, any paper that's been filed in the cases or I would say passed back and forth between lawyers in any of the three cases? A Has he had edited revised, I mean what -- Q. Right now I am just asking did he start the document such as a complaint or a similar type document? Page 94 A. That was filed in the case? Q. Correct. A. No. Q. Okay. Has he worked on documents, whether it's editing, adding, deleting from pleadings that you, pleadings or papers that you have prepared? A. Yes. Bob, can you hand me that water? Q. Yes. A. Thanks. Appreciate it. Q. You're welcome. Has he continued, did he continued to be involved not only when you were a solo practitioner but during the time that you were with RRA with regard to editing or working on the cases? A. To an extent. Q. Okay. Do you, how often on the cases have you consulted with Mr. Howell? By that I mean before a decision is made as to how you want to do discovery or proceed with the filing of the pleading or how you're going to respond, does Mr. Howell, do you consult with Mr. Howell during the time...
NOT A CERTIFIED COPY 1 2 3 4 5 6 7 8 9 10 11 12 13 14 15 16 17 18 19 20 21 22 23 24 25 Page 97 Q. Did she ever come and meet you at your office? A. From the beginning of time until today? Q. No. Back at the time prior to retaining your services. A. I don't remember. Q. Did you ever meet her at her residence or place of work? Let me ask you this: Have you ever met her at her place of business or a place of business? A. No. Q. Have you ever met her at her home, whether it's an apartment or home, whatever? A. Now, you're asking from the beginning of time until now? Q. No. Up until the time she hired you, did you ever meet with her? A. Okay. Q. At her home or apartment. A. To the best of my recollection, no. Q. Did you -- did she sign, to the best of your recollection did she sign a fee agreement? Well, let me strike that. There is a, there is a written fee agreement between L.M. and you and then -- 1 2 3 4 5 6 7 8 9 10 11 12 13 14 15 16 17 18 19 20 21 22 23 24 25 Page 99 information. BY MR. CRITTON: Q. When you met Ms. L.M. at the park was anyone else present? A. Yes. Q. Who? A. I don't know. Q. Male or female? A. I presume both. It's a park. Q. No, no, no. In the meeting that you had with her -- my guess is there were probably a lot of people in the park? A. Correct. Q. In the meeting that you had with Ms.L.M. was anyone else present? A. For the conversations between myself and Ms. L.M., no. Q. When you first met with E.W. was anyone present for the conversations between that you and Ms.E.W.? A. No. Q. I think you told me at the time that the complaint was filed or at the time that the Jane Doe 1 and 2 sued the United States Government which was in early July, it was July 8th of'08, you don't I 1-----------------------------------------------------I 1 2 3 4 5 6 7 8 9 10 11 12 13 14 15 16 17 18 19 20 21 22 23 24 25 Page 98 A. Correct. Q. -- ...
NOT A CERTIFIED COPY 1 2 3 4 5 6 7 8 9 10 11 12 13 14 15 16 17 18 19 20 21 22 23 24 25 1 2 3 4 5 6 7 8 9 10 11 12 13 14 15 16 17 18 19 20 21 22 23 24 25 Page 101 interested in what you learned from E.W. All right. Did you learn from either any correspondence or a telephone call with any third party that whether again prior to the -- let me start again. Prior to the filing of the lawsuit against Jane Doe 1 and Jane Doe 2 against the United States Government, did you learn from any source, maybe a document, maybe a telephone call or a conversation that you had with a third party separate from your client, that E.W. was a victim or was deemed to be a victim by the United States Government or the United States Attorney's Office? MR. SCAROLA: Same objection and instruction. BY MR. CRITTON: Q. Same question with regard to L.M. Miller. MR. SCAROLA: Same objection and instruction. BY MR. CRITTON: Q. And same question with regard to Jane Doe. MR. SCAROLA: Same objection and instruction. BY MR. CRITTON: Q. Prior to your filing the lawsuit with United States Government, did you ever any Page 102 conversations with the United States Attorney's Office -- MR. SCAROLA: I assume -- BY MR. CRITTON: Q. -- regarding, regarding, regarding the subject of the lawsuit or Jeffrey Epstein? MR. SCAROLA: Same objection and instruction. MR. CRITTON: These are third parties; where is the work product? MR. SCAROLA: Work product has to do with Emything that was done in connection with the representation of these three clients. Ifhe had such conversations independent of his representation of those clients, then he can respond to the question. BY MR. CRITTON: Q. Well, let me ask you a broader question. After you filed the lawsuit against the United States of America, were you aware that Marie Villafana or the United States Attorney's Office represented the USA, cOITect? A. Yes. Q. All right. Did you ev...
NOT A CERTIFIED COPY 1 2 3 4 5 6 7 8 9 10 11 12 13 14 15 16 17 18 19 20 21 22 23 24 25 1 2 3 4 5 6 7 8 9 10 11 12 13 14 15 16 17 18 19 20 21 22 23 24 25 Page 105 lv1r. Epstein in a lawsuit that has absolutely no foundation whatsoever, and was filed for purposes other than a legitimate claim against Mr. Edwards based upon any good faith belief that he engaged in any fonn of improper or tortious conduct and -- MR. CRITTON: Done? MR. SCAROLA: -- those inquires are not reasonably calculated to lead to the discovery of admissible and relevant evidence. So, for all of those reasons, we object. MR. CRITTON: And let me just put on the record very briefly so at least at this point in time this is all infonnation that clearly is relevant to the complaint as it's alleged. I have received a, my client and I have both received a letter from you asserting a motion for fees and costs and ce1iain sanctions under 57 .105, by not allowing us to ask what are clearly, I believe, relevant material, basic discoverable infonnation are preventing our ability to get all of the facts here such that we can make a reasonable Page 106 decision as to whether or not the 57 .105 motion and letter which you sent to me was filed in good faith or has any basis in it. We're unable then to, we'll be in large part unable to evaluate our position. MR. SCAROLA: And our position is that those are decisions that should well have been made, could have been made, and should have been made before you ever filed the claim. MR. CRITTON: All right. Are we done? MR. SCAROLA: Yes. MR. CRITTON: All right. MR. SCAROLA: At least for now. MR. CRITTON: I'm shocked. BY MR. CRITTON: Q. With regard to, with regard to the claim Jane Doe 1 and Jane Doe 2 that is currently pending -- or let me strike that. Jane Doe 2 -- Jane Doe 1 and Jane Doe 2 against the U.S.A. that was filed in July of'08, that case is still pending. A. Okay. ...
NOT A CERTIFIED COPY 1 2 3 4 5 6 7 8 9 10 11 12 13 14 15 16 17 18 19 20 21 22 23 24 25 1 2 3 4 5 6 7 8 9 10 11 12 13 14 15 16 17 18 19 20 21 22 23 24 25 Page 109 A. I don't know that that's a correct statement. Q. You don't know one way or the other? A. The law firm was constantly expanding and constantly under construction. For the most part in the beginning the cases were kept in a, in a filing cabinet in my office and later were kept in a filing cabinet, I believe, in a locked storage location in another area of the office. Q. And did any attorney have access to that storage area or do you know? A. I believe any attorney could have had access. Q . .AJ1d if the attorney could have access, you wouldn't necessarily know about it, true? A. Correct. Q. In the trustee's filing that they made in response to my motion to preserve evidence, they indicated that 13 boxes relating to Jeffrey Epstein had been removed by the FBI or the government when they came into the RRA offices. Do you remember seeing that pleading? A. No. Q. Okay. Are you, were there, in fact, 13 boxes of material or at least 13 banker's boxes of material that related to matters directed to, whether, whatever the content related to Mr. Epstein Page 110 that you were aware of; that is, hard copies? A. I don't know. Q. Okay. Couid have been more, couid have been less; you just don't know? A. Correct. Q. Ifl understood your testimony, Mr. Rothstein, Mr. Rosenfeldt, any other attorney or investigator could have accessed those files depending or where they were within the firm, true? A. I am not sure exactly who could have accessed it. You asked me if the attorneys could and the attorneys had swipe cards for various locked areas. Each attorney I believe had access to any area where those files were located. I believe so. Q. Okay. Well, during the time you were there did an individual by the name ofKen Jenne work there?...
NOT A CERTIFIED COPY 1 2 3 4 5 6 7 8 9 10 11 12 13 14 15 16 17 18 19 20 21 22 23 24 25 1 2 3 4 5 6 7 8 9 10 11 12 13 14 15 16 17 18 19 20 21 22 23 24 25 Page 113 A. When I was there. Q. And do you, can you remember the date, any specific date that you spoke with him? A. No. Q. Do you remember any specific month that you would have had one of the -- well, what did you say something less than five conversations? I don't want to misquote you. A. I said less than three conversations. Q. All right. So, something less then three conversations you had with Mr. Rothstein regarding Epstein cases, either legal issue or a comment, some comment about the case to you, correct? A. Yes. Q. All right. The first time that he ever spoke to you, did he call you or did you call him? A. I, I never called Scott Rothstein about anything. Oh, take that back. About anything related to Jeffrey Epstein. Q. The first conversation that you can recall where either a legal issue or a comment was made about Jeffrey Epstein by Mr. Rothstein to you, he obviously initiated the call? A. It wasn't a call. Q. What was it? Page 114 A. A comment in passing. And I believe I was sitting at a table in BOVA when he walked over to my tabie and commented about Jeffrey Epstein. Q. Okay. Who were you there with at the time? A I don't remember. Q. Were you with some friends? Were you with other lawyers? A All right. I am jogging my memory. I, I have no idea. Q. What did he say? MR. SCAROLA: To the extent that you can answer that question without disclosing any mental impressions with regard to the lawsuit or any attorney-client privileged communications, you can answer. To the extent that it might invade either the work-product or attorney-client privilege, you should not respond. Tiffi WITNESS: Can I talk to you? MR. SCAROLA: Sure. (A brief recess was held.) MR. SCAROLA: Are we on? THE VIDEOGRAPHER: Yeah. MR. SCAR...
NOT A CERTIFIED COPY 1 2 3 4 5 6 7 8 9 10 11 12 13 14 15 16 17 18 19 20 21 22 23 24 25 1 2 3 4 5 6 7 8 9 10 11 12 13 14 15 16 17 18 19 20 21 22 23 24 25 Page 117 work-product privileged inforn1ation that I am not going to divulge. Q. Okay. I am not -- I need to still ask the last question though. I thought you said earlier is that you never had any substantive conversations, maybe I misunderstood, with Mr. Rothstein about the Epstein cases. Did I misunderstand you? A. I don't believe that that was -- I had conversations at a point about legal issues related to Jeffrey Epstein and that's, that's it. Q. Was that a one conversation? Was that a number of conversations that you had where legal issues were discussed as to, separate and apart from the two comments he made about the case to you which you were, you waived any privilege, work-product or attorney-client privilege? A. I, I can't tell you. If you and I this morning had a conversation and then we took a bathroom break, and we had the same continuing conversation, I don't know if that's one conversation or two. But I can tell you the, the only time I remember Scott Rothstein participating in any way, shape, or form in any conversation related to anything substantive dealing with, and not dealing with any specific client but a legal issue, was on a particular one-day event, one-day Page 118 conversation, if you want to call it. Q. And that's at what time? At that time legai issues were discussed? MR. SCAROLA: Legal issue was the testimony, a particular legal issue. MR. CRITTON: Correct. A legal issue. BY MR. CRITTON: Q. When did that occur; that is, this one-day discussion or a day discussion occur regarding a specific legal issue? A. I don't know. Q. Was he present, he Mr. Rothstein and you present at the same time? A. Yes. Q. Okay. Was anyone else there with you? A. Yes. Q. Who else was present? A. Russ Adler, someone wa...
NOT A CERTIFIED COPY 1 2 3 4 5 6 7 8 9 10 11 12 13 14 15 16 17 18 19 20 21 22 23 24 25 1 2 3 4 5 6 7 8 9 10 11 12 13 14 15 16 17 18 19 20 21 22 23 24 25 Page 121 you ever worked for a large finn? A. No. You just named all the places I have worked. Q. All right. Is this the first time then that you had been to Mr. Rothstein's office that he called you up there? A. No. Q. You had been in his office before? A. Onetime. Q. And what was that occasion? A. I was having back surgery, and I went there to tell him I am having back surgery. As you !mow I had back surgery, and I was telling him I don't know how long I'm going to be off because, you !mow, the recovery time is different for everybody. Q. Is that the only thing you talked about, the back surgery? A. That's the only thing we talked about. Q. Did the meeting you had with Scott, when you went up, when you were called up to his office that day, did that occur before your back surgery episode or meeting or after? A. After. Q. So, you would, you had back surgery. I think you were out two or three weeks and then you Page 122 returned to the office, and then that meeting would have occurred? A. Yeah, that's correct. Q. When you, in order to get into the office just as you have described it as a bunker, how many, did you have to go through any security people to get into -- MR. SCAROLA: No, I think the description was a compound. MR. CRITTON: I will use compound. Are you more comfortable with compound or a bunker? I have seen it described both ways. I haven't seen the video, but I have seen it described both ways. THE WITNESS: I will describe it for you. Well, first I will answer your question. Security people, I don't know if there was ever a time where one would have to go through security people to get to his office. But on the day or two days that I have been in his office, I did not encounter any security personnel. BY MR...
NOT A CERTIFIED COPY 1 2 3 4 5 6 7 8 9 10 11 12 13 14 15 16 17 18 19 20 21 22 23 24 25 1 2 3 4 5 6 7 8 9 10 11 12 13 14 15 16 17 18 19 20 21 22 23 24 25 Page 125 BY MR. CRJTTON: Q. -- not content. Was Mr. Adler someone that you had discussed these Epstein cases with prior to that meeting? A. Yes. Q. Was he familiar with the cases, generally? A. He attended Jeffrey Epstein's deposition, so he heard the questions asked and heard the Fifth Amendment invocation and so the adverse inferences and was therefore informed -- MR. CRJTTON: Move to strike as nonresponsive. BY MR. CRJTTON: Q. My question is was he familiar generally with the subject matter of the litigation against Mr. Epstein? A. In that he read the newspaper articles about molesting a bunch of children, yes, he was familiar with the subject matter. Q. And he read -- did you provide him with copies of the pleadings in these cases when they came to RRA? A. No. Q. What was the topic? What was the legal issue that you discussed -- well, let me strike Page 126 that. Who raised the legal issue, did Mr. Adler raise it or did IVlr. Rothstein?.- A. I don't know. Q. Okay. Well, how did the, who started the, if you were there I think you said five minutes, who did the talking? A. When I came in the, in the office, it was in the middle ofa discussion. Q. Was a question posed to you? A. The question was on the table at least from my perspective coming into the room and was then directed at me, what's the answer to this particular legal issue. Q. And what was the legal issue? MR. SCAROLA: Let's talk for just a second. THE VIDEOGRAPHER: Are we going off the record? MR. SCAROLA: Actually, we don't even have to go off the record. Stay right here. If this was an issue that was identified during the course of the legal proceedings to opposing counsel, then I am going to allow you to you identify the issue without getting into any of...
NOT A CERTIFIED COPY Page 129 1 Q. Where did you go -- did you go to an 2 office to meet him? 3 A. Well, I went to a particular area, a locked 4 area that I could get in with my swipe card and there 5 was a, a room like this. Is this an office? 6 Q. Sure. 7 A. Okay. Then yes. 8 Q. If you wanted to contact Mr. Fisten, did 9 you, did you have a number; that is, an inside 10 number? 11 A. I don't know. 12 n Did l\1r. Fisten do \Vork on the Epstein '<· 13 related cases? 14 A. Yes. 15 Q. Okay. What kind of work did he do? 16 A. Investigator. 17 Q. Meaning what? 18 A. Meaning investigative work. 19 Q. Okay. Has Mr. Fisten continued to do -- 20 let me strike that. When RRA imploded in early or 21 in late '09, in October of'09, did Mr. Fisten come 22 to work for your firm? 23 A. Yes. 24 Q. Farmer, Jaffe. Is he an employee of your 25 firm? Page 130 1 A. Correct. 2 Q. How about Mr. Jenne, is he currently 3 employed by your firm? 4 A. No. 5 Q. Do Mr. Jenne and Mr. Fisten, to your 6 knowledge, have any association at the current time? 7 A. No. 8 Q. Have, has Mr. Fisten continued to do work 9 on behalf of your firm; that is, investigative work 10 relating to Mr. Epstein? 11 A. What do you mean has he continued to? 12 Q. Has he continued, has Mr. Fisten done, 13 continued to do investigative work since he had been 14 with Farmer Jaffe relating to the Epstein cases? 15 A. On, on many cases and Jeffrey Epstein's case 16 being one of them, yes, he's done some work. 17 Q. Has he, has he as well -- well, let me 18 strike that. Has Ken Jenne done any work for any 19 outside agency, investigative agency or entity, done 20 investigation work relating to Jeffrey Epstein here 21 in the State of Florida? 22 A. I don't, I don't know. I don't talk to him. 23 Q. Have you had any contact -- well, let me 24 strike that. Did you ever have any contact with 25 Mr. Jenne during the time you were at ...
NOT A CERTIFIED COPY 1 2 3 4 5 6 7 8 9 10 11 12 13 14 15 16 17 18 19 20 21 22 23 24 25 1 2 3 4 5 6 7 8 9 10 11 12 13 14 15 16 17 18 19 20 21 22 23 24 25 Page 133 Q. Okay. And on each occasion he approached you about talking about the Epstein cases? A. On the first I occasion, definitely. I can't say on every occasion that we had a conversation. Q. And ifl understood you correctly, you never assigned Mr. Jenne any tasks, any task; is that correct? A. That's correct. Q. Did you find it odd or strange that he would want to talk to you about your Epstein cases? A. No. Q. Did you, did you -- I\/1,r. Jenne reported to whom as you understood? A. I didn't understand anything. Q. Do you know what his position with the firm was? A. No idea. Q. Did he ever offer to help you with the Epstein cases? A. In some respect, I guess so. Generally, you know, I, I can help. This is basically a criminal matter; I can help. You know, that kind of thing. I am not saying those are his exact words but paraphrasing the gist ofit, that's what I remember. Q. Okay. Mr. Edwards, did you ever contact Page 134 the media or the press when, that's located in New York City, the State of New York, about any of the Epstein cases? A. I may have returned telephone calls that were initiated by press to me. Q. My, my question to you was, did you initiate any telephone calls; that is, without returning a call to the, to any member of the media or press in New York regarding the Epstein cases? A. Meaning the first conversation -- Q. Right. A. -- between -- yeah. No, I did not. Q. Who contacted you from New York with regard to any Epstein related matter? A. The press. Q. Who? A. I don't remember anybody's name. Q. Give me anybody's name that you can recall. A. George Rush. Q. What media, what did you understand his association? A. I believe New York Daily News. Q. Do you remember when Mr. Rush contacted you? 1 ...
NOT A CERTIFIED COPY 1 2 3 4 5 6 7 8 9 10 11 12 13 14 15 16 17 18 19 20 21 22 23 24 25 1 2 3 4 5 6 7 8 9 10 11 12 13 14 15 16 17 18 19 20 21 22 23 24 25 Page 137 almost at the end of March. In the last three months, starting in January 1st of 2010, have you had any contact with the press? A. Not that I recall. Q. Has the press contacted you, but you have not returned their calls? A. On hundreds and hundreds of occasions. Q. Well, my question is since the beginning of, since January I st of2010 has the press attempted to contact you? A. Yes. Q. And ifI understand your testimony, you have not returned any of those calls? A. To the best ofmy recollection I, I do not remember speaking with anybody from the press during this year, 2010. Q. In 2010, do you have a recollection of having spoken with people but saying you can't quote me, i.e., I have no comment or I will tell you off the record? A. I don't even remember having those conversations with anybody in 2010. If you know of something and can refresh my recollection, I, you may be able to remind me, but I don't think in 2010 I have had any of those conversations. Page 138 Q. The conversations you had with George Rush, when you returned his call, what did Mr. Rush ask you? What was he inquiring about? A. My response to Jeffrey Epstein's comments. Q. Which comments? A. A telephone conversation initiated by Jeffrey Epstein to George Rush related to the various cases and claims against Mr. Epstein. Q. Did Mr. Rush call you -- I'm sorry, I will improve it. Ifl understand correctly when Mr. Rush called you, that's the first time you knew who he was? A. I didn't !mow who he was before he called me, correct. Q. What did Mr. Rush tell you what Jeffrey Epstein had said to him? A. And I'm not sure that that was the first conversation I had with, with George Rush. Like I said I think I've talked to him three or four, five times. Q. Ok...
NOT A CERTIFIED COPY 1 2 3 4 5 6 7 8 9 10 11 12 13 14 15 16 17 18 19 20 21 22 23 24 25 1 2 3 4 5 6 7 8 9 10 11 12 13 14 15 16 17 18 19 20 21 22 23 24 25 Page 141 Q. He does a Page 2 or something with the, Page 1, Page 2 of the Palm Beach Post? A. No. I'm not, no. Q. Okay. Have you ever spoken with Jane Muskrat (phonetic)? A. Again, I don't know who that is. Q. Have you ever -- did you ever give or allow one of your clients to give an interview to one of the local TV stations? MR. SCAROLA: Objection, compound. THE WITNESS: One ofmy clients gave an intervie\V to one of the local television stations. BY lvIR. CRITTON: Q. Which of your clients gave the interview? A. Jane Doe. Q. And did you organize that? A. I assisted. Q. Which, which TV station was it? A. I don't remember. Q. Do you remember who the person was from the TV station that contacted you? Let me strike that. How did it come about that Jane Doe gave an interview to the TV station? A. Various television stations have been Page 142 interested over the course of these cases in having the clients talk. I was adamant that that was not going to happen and Jane Doe wanted that to happen. Q. How did Jane Doe even know that that opportunity existed? lfyou didn't want it to happen when the news, when the news people, when the TV stations called you why didn't you just say my clients are not available for interview? A. What's your question? Q. The question is, is, with regard to the T.V. station, you said multiple TV stations wanted to do interviews with your clients. Did I understand you correctly? A. You did. Q. And you said you didn't want any of your clients to do interviews, correct? A. Right. Q. Okay. So, why didn't you just say, no, I am not making any of my clients available? MR. SCAROLA: I am going to object to the extent that that calls for either mental impressions or attorney-client privileged communications a...
NOT A CERTIFIED COPY 1 2 3 4 5 6 7 8 9 10 11 12 13 14 15 16 17 18 19 20 21 22 23 24 25 Page 145 I believe that's 1ight. Q. As a result of Jane Doe speaking with the press, did she receive any compensation? A. No. Q. Have any interviews been given separate and apart from the TV interview that Jane Doe gave? Did any of the other, did either of your other two clients, E.W. or L.M., ever give an interview to, written to, to the written media, not TV? A. No. Q. With regard to, back to George Rush, you said that }Ar. Rush, :t'Ar. Rush contacted you. You recontacted him, correct? A. That's correct. Q. Okay. And what was the subject matter? What was Mr. Rush interested in talking with you about? A. Jeffrey Epstein. Q. Okay. And what, what specifically about Mr. Epstein? How did he even know you existed, did he say? A. I don't know. Or, or ifI knew, I don't remember how he knew that. Q. Okay. Did you, did you talk to him? A. Yes, I did talk to him. Page 146 1 Q. Approximately, how many, how long have 2 your conversations been? 3 4 5 A. Short. Q. And with regard to George Rush, what, you said he was interested in talking about Jeffrey 6 Epstein. What was he interested in? 7 8 9 10 11 12 13 14 15 16 17 18 19 A. I don't remember specifically the issue, but it seemed to me that he came to me with an issue each time, something related to the case. Q. Okay. The case being Mr. Epstein's case or your three cases? A. I think that it was typically in general related to the various criminal acts committed by Jeffrey Epstein against the large number of girls in each of the states that Jeffrey Epstein has lived in. I think that was like the gist of his communication to me. Q. Well, did he? A. Or why he was interested. Q. Did he indicate to you that someone had 2 O told him that, that certain acts had occurred in 21 22 23 24 25 other states or locations other than the State of Florida? A. I ...
NOT A CERTIFIED COPY
NOT A CERTIFIED COPY 1 2 3 4 5 6 7 8 9 10 11 12 13 14 15 16 17 18 19 20 21 22 23 24 25 Page 148 IN THE CJRCUJT COURT OF THE FIFTEENTH JUDJCJAL CJRCUJT IN AND FOR PALM BEACH COUNTY, FLORJDA CASE NO. 50 2009CA040800XXXXMB AG Complex Litigation, Fla.R.Civ.Pro. J'.101 JEFFREY EPSTEIN, Plaintiff, -vs- VOLUMEll OFII SCOTT ROTHSTEJN, individually, BRADLEY .1. EDWARDS, individually, and L.M. individually, Defendants. VlDtOT APED DEPOSlTJON OF BRADLEY J. EDWARDS, ESQUIRE Tuesday, March 23, 20010 10:00 - 5:07 p.m. 2 J 39 Palm Beach Lakes, Boulevard West Palm Beach, Florida 3340 J Reported By: Cynthia Hopkins, RPR, FPR Notary Public, State of Florida Prose Court Reporting Job No.: J 333 APPEARANCES: On behalfof the Plaintiff: ROBERT D. CRJTTON, JR., ESQUIRE Page BURMAN, CRJTTON, LUTTIER & COLEMAN, LLP. 303 Banyan Boulevard Suite 400 West Palm Beach, Florida 33401 Phone: 561.842.2820 and JACK ALAN GOLDBERGER, ESQUIRE ATTERBURY, GOLDBERGER & WElSS, P.A 250 Australian Avenue South Suite 1400 West Palm Beach, Florida 33401-5012 Phone: 561.659.8300 and On behalfofthe Plaintiff: ALAN M. DERSHOWITZ, ESQillRE HARVARD LAW SCHOOL Hauser 520 Cambridge, Massachusetts 02 I 38 Phone: 617.496.2020 On behalf of the Defendant: JACK SCAROLA, ESQUIRE SEARCY, DENNEY, SCAROLA, BARNHART & SHJPLEY, P.A 2139 Palm Beach Lakes Boulevard West Palm Beach, Florida 33409 Phone: 561.686.6300 ALSO PRESENT: Jeffrey Epstein Joseph Kozak, Videographer Prose Reporting Services 149 Electronically signed by cynthia hopkins (601-051-976-2934) Electronically signed by cynthia hopkins (601-051-976-2934) Electronically signed by cynthia hopkins (601-051-976-2934) 1 2 3 4 5 6 7 8 9 10 11 12 13 14 15 16 17 18 19 20 21 22 23 24 25 1 2 3 4 5 6 7 8 9 10 11 12 13 14 15 16 17 18 19 20 21 22 23 24 25 Page 150 «INDEX START>> INDEX EXAMINATION DIRECT CROSS REDIRECT CONTJNUED EXAM INA Tl ON ...
NOT A CERTIFIED COPY l 2 3 4 5 6 7 8 9 10 11 12 13 14 15 16 17 18 19 20 21 22 23 24 25 1 2 3 4 5 6 7 8 9 10 11 12 13 14 15 16 17 18 19 20 21 22 23 24 25 Page 152 A I'm not sure. Q. Why would you -- did any of your clients claim or have any of your clients claimed to have any contact with Ghislaine Maxwell at all? A That is something that certainly calls for attorney-client privilege and not something that I am going to be answering today. Q. With regard to at least you have attended the deposition of both Jane Doe and ofL.M, correct? A Yes. Q. Okay. And have you heard them reference Ghislaine Maxwell during the course of those depositions? A No. Q. Would it be a correct statement that none of the three of your clients -- Jet's take a look at the two that have testified. Both of the two that have testified, Jane Doe and L.M. have testified that they did not ever take, travel with or were transported in any way by Mr. Epstein, correct? A No, that is incorrect. Q. Okay. Did, who, which? A. I believe. Q. I am sorry? A I guess the transcript will speak for itself. Page 153 I don't remember their specific - Q. Is it your belief that Jane Doe ever traveled with Mr. Epstein on his plane? MR. SCAROLA: Excuse me, is the question limited to the testimony -- MR. CRITTON: Correct. MR. SCAROLA: -- that has been given? MR. CRITTON: Correct. THE WITNESS: No. I do not believe she testified that she traveled with Mr. Epstein on his plane. BY MR. CRITTON: Q. All right. And same would be true with L.M., she did not testify that she traveled with Mr. Epstein on his plane, true? A. I believe that's true as well. Q. Okay. Are you aware of any other information from any other source that either Jane Doe or L.M. traveled on Mr. Epstein's plane? A. No. Q. Did you, did you indicate to -- well, let me strike that. Did you tell Mr. Rush that none of your clients had ever traveled with Mr. Epstei...
NOT A CERTIFIED COPY 1 2 3 4 5 6 7 8 9 10 11 12 13 14 15 16 17 18 19 20 21 22 23 24 25 1 2 3 4 5 6 7 8 9 10 11 12 13 14 15 16 17 18 19 20 21 22 23 24 25 Page 156 BY MR. CRJTTON: Q. When you originally started working with the Rothstein fim1, did you have any discussions with Mr. Rothstein regarding how your cases would be funded; that is, your personal, your personal injury cases and specifically the cases relating to Mr. Epstein? A. No. Q. Okay. With regard to, prior to taking your cases to, prior to starting at RRA, you were responsible for the funding of your personal injury cases or any contingency fee case, correct? A. Right. Q. And l assume you had either your own personal funds or you had a line of credit or both? A. Right. Q. And when you came to RRA and you brought the cases with you; that is, the personal injury cases and as well, the Epstein cases, were you reimbursed for the costs that you had already expended thus far on those cases? A. No. Q. Did you request that you be reimbursed? A. Yes. Q. And with, to whom was the request made? Page 157 A. Directly to Scott Rothstein. Q. Was that at the ten minute meeting that you had? A. Yes. Q. AtBOVA? A. Yes. Q. And what did he say? A. No problem. Q. He said he would reimburse you? A. Correct. Q. And did that, in fact, take place? A. No. Q. And how did you attempt to get reimbursed for the costs that you had thus far incurred on your personal injury cases including Mr. Epstein's case when you went, when you started at RRA? A. What do you mean? Q. Well, you said that Mr. Rothstein agreed in the ten minute conversation that RRA would reimburse those costs? A. Correct. Q. You gotoRRA in April of'09, and I assume you had to ask someone and say, look, I had a conversation with Scott Rothstein. He said he would reimburse my costs. Electronically signed by cynthia hopkins (601-051-976-2934) Electronically signed by cy...
NOT A CERTIFIED COPY l 2 3 4 5 6 7 8 9 10 11 12 13 14 15 16 17 18 19 20 21 22 23 24 25 1 2 3 4 5 6 7 8 9 10 11 12 13 14 15 16 17 18 19 20 21 22 23 24 25 Page 160 And obviously nobody expected the ending to the Jaw firm that ultimately occurred. Q. With regard to the case, l assume you settled a couple of personal injury cases during the seven months you were there, yes? A. Yes, you assume that. Q. That's correct? Let me ask the question. Did you settle any contingency fee cases during the sevens months that you were at the RRA firm? A. Yes. Q. And when you settled those cases did you, and they closed, they were settled through, did you have any control of the trust account? A. No. Q. Okay. Settlement monies come in on a personal injury case. What did you do with the money once the, once the client had endorsed the check? A. I, I didn't personally do anything with the money. 1t was not handled by me. Q. Okay. Were you there -- A. That's why l'm confused. Did 1 settle the case? l mean, Rothstein Rosenfeldt Adler firm settled personal injury cases while l was there. There were no cases that were solely my cases. They were firm cases. Page 161 Q. Let me rephrase the question. You brought, you brought cases to the fnm, correct? A. That is correct. Q. Of a11y of the cases that you brcugl1t, did you settle those cases? A. No. Q. Okay. So, you never had an instance -- so there was never a set of circumstances where you would have been reimbursed for costs as a result of a settlement? A. That's correct. Q. All right. And, and so during the seven months that you were there, you were never reimbursed a nickel of the one to $200,000 that you had outstanding in costs? A. That is correct. Q. All right. With regard to the costs that were to be incurred for prosecuting the cases, specifically the Epstein cases, what was your understanding -- was that ever discussed with Mr. Rothstein at ...
NOT A CERTIFIED COPY l 2 3 4 5 6 7 8 9 10 11 12 13 14 15 16 17 18 19 20 21 22 23 24 25 l 2 3 4 5 6 7 8 9 10 11 12 13 14 15 16 17 18 19 20 21 22 23 24 25 Page 164 A. I have seen them before, yes, sir. Q. Okay. And as well there would be reimbursable expenses such as when you went to New York and took Mark Epstein's deposition. You, you paid for the expense up front but, in fact, it was then reimbursed by the firm, correct? A. Now we're specifically, specifically talking about Mark Epstein's deposition, yes, that, what you just said is correct. Q. Okay. Not only was the, and ifI understand your testimony is the deposition was paid for directly by the firm. With regard to your travel, any hotel, other expenses that you had, you put in a request for reimbursement and the firm would reimburse you? A. Correct. Q. All right. And with regard to those costs, you said you and Mr. Rothstein never had a discussion about that; is that correct? A. Correct. Q. All right. But you did speak with Mr. Adler about how costs would be handled on your cases including Mr. Epstein's case after you started withRRA? A. Correct. Page 165 Q. Okay. And is he the only one who explained what the procedure was? A. Yes. Q. Anrl u,1-,,at rlid hP tPll ynu? Well, !Pt n,p ask you this: Did he tell you what; that is, that the firm would pay for all of the reimbursements either costs and/or reimbursements for costs that were incurred in prosecuting the Epstein files and any other files that you had? A. Can you split this question up so that we're not talking about reimbursement and costs and things like that. Q. Sure. With regard to costs such as depositions -- A. Okay. Q. -- court reporters, court reporter fees, video depositions, transcripts ofhearing, whether they were expedited or whether they were asked on a routine basis? A. Right. Q. Where would the -- who was responsible for paying those bills? A. Th...
NOT A CERTIFIED COPY 1 2 3 4 5 6 7 8 9 10 11 12 13 14 15 16 17 18 19 20 21 22 23 24 25 1 2 3 4 5 6 7 8 9 10 11 12 13 14 15 16 17 18 19 20 21 22 23 24 25 Page 168 associated with the Jeffrey Epstein case? A. I didn't say that anybody did. So, no, nobody, nobody. Q. You could just spend whatever money you wanted to in prosecuting your cases; is that correct? A. No, l didn't say that either. Q. What was the procedure then? A. That ifl was at a deposition and there was a need in my judgment for the transcript to be expedited then l would order it expedited and nobody ever told me that they had a problem with my judgment as to those things. And not as to those things. As to that thing which we were talking about which right now is expediting deposition transcripts. Q. With regard to - so any, how about an expense associated with hiring, with either directing -- well, let me strike that. With regard to Epstein, did, were you ever required or did you ever hire outside investigators to do work associated with the Epstein case? By outside I mean someone who was not an employee ofRRA and now I mean dealing with the time that you were at RRA A. Right. And your question is did l ever hire Page 169 an outside investigator to perform work on Jeffrey Epstein's case? Q. Correct? .,.A,,,__ The ans\'-Jer is no. Q. Were, were all the investigations that were done during the time that you were employed by RRA, were they done by in-house investigators? A. I don't know. Q. Well, if you wanted investigation done on Mr. Epstein, how would you go about authorizing that or directing that that be done? A. I would ask one of the investigators to do it. Q. So, you would direct the specific investigator? A. Yeah. There were plenty of times where I directed the specific investigator. I want you to talk to this witness or so-and-so, yes, just like you would in any case. Q. In this particular instance ass...
NOT A CERTIFIED COPY 1 2 3 4 5 6 7 8 9 10 11 12 13 14 15 16 17 18 19 20 21 22 23 24 25 1 2 3 4 5 6 7 8 9 10 11 12 13 14 15 16 17 18 19 20 21 22 23 24 25 Page 172 Q. So, you're refusing to answer that question? A. You're asking me about my definition of reprehensible as it pe1tains to a specific hypothetical that you've just created. Q. Let me ask you -- A. Now, you want me to try to analyze that particular hypothetical and tell you whether it meets the definition ofreprehensible? Q. l will let you -- if Mr. Fisten, ifl ask you to assume that Mr. Fisten represented to a witness out in California that he was an agent or working for the FBI, would you find that conduct appropriate by Mr. Fisten? MR. SCAROLA: And I will tell you that you are not obliged to answer hypothetical questions. THE WlTNESS: And therefore I am not going to answer that question. BY MR. CRITTON: Q. If Mr. Fisten represented that he was associated with the Miami-Dade Police Department, Miami-Dade County Police Department, would you find that conduct inappropriate? MR. SCAROLA: Same instruction and I would Page 173 also observe with regard to each of the hypothetical questions that you are asked that they are incomplete. And without ]mowing all of the surrounding circumsta11ces, it would be impossible for any witness to pass judgment upon what may have occurred. BY MR. CRITTON: Q. So, Mr.-- would it be a correct statement at least as you understood it, Mr. Edwards, that Mr. Fisten was not an agent, was not an FBI agent during the time that he worked for RRA? A. You're asking me was he an FBl agent or did he work for RRA He worked for RRA Q. Correct. He was not an FBl agent, true, to the best of your knowledge during the time he worked for RRA A. Okay. Q. I am not talking about any other time period right now. A. Okay. Then the answer is he was not an FBI agent at the time he was working for RR.A Q. Durin...
NOT A CERTIFIED COPY 1 2 3 4 5 6 7 8 9 10 11 12 13 14 15 16 17 18 19 20 21 22 23 24 25 1 2 3 4 5 6 7 8 9 10 11 12 13 14 15 16 17 18 19 20 21 22 23 24 25 Page 176 for you. MR. CRJTTON: Your best estimate. THE WJTNESS: Okay. 1 believe more than $300,000. BY MR. CRJTTON: Q. With regard to, if investigation was done on, on a Epstein case, was the investigator charged, that is for his time, as an example Mr. Fisten, if he did work in California would his time, I'm not talking about his expenses, would that be billed as a cost to the file? A. I don't know. Q. On the cost that you received, well, let me strike that. If] understood it, up to 300,000 approximately $300,000 that's been spent on the Epstein file, were you able to look -- A. It would be more than that. I am just saying it's at least $300,000. Q. Something between three and $400,000, could it -- A. Something that I would say is definitely between 300 and $500,000, but I'm not sure. It could be 301. It could be 450. I really don't know. Q. When was the last time that you looked at that ledger or the printout associated with the Page 177 Epstein files? A. I have never looked at the printout. Q. Okay. How, how do you know what is amount is then? That is how do you have the estimate ofit being between 350, I'm sorry between 300 and $500,000, the cost associated with Epstein? A. I asked a paralegal within my current firm for the total amount of costs on these three cases that is being claimed by Rothstein Rosenfeldt Adler. And I remember the cost number in the aggregate being given to me reflecting an amount what I just told you. Q. Have you requested a copy of the -- let me strike that. Did she say she had, that is did she -- did you actually receive a document that reflects the breakdown of the costs from the trustee? A. I personally have not seen that. Q. Okay. Has your firm received it? A. I don't know. Q. I assume -- wo...
NOT A CERTIFIED COPY 1 2 3 4 5 6 7 8 9 10 11 12 13 14 15 16 17 18 19 20 21 22 23 24 25 1 2 3 4 5 6 7 8 9 10 11 12 13 14 15 16 17 18 19 20 21 22 23 24 25 Page 180 an address to serve a subpoena or, or doing some minimal background. A. l am glad you clarified because I am using that same definition. Q. All right. So, it's, it's your best recollection that you did or did not hire an investigator to do real investigative work with, associated with Mr. Epstein prior to joining RRA? A. l believe I did, but it was after a time when 1 had, l was contemplating or at least to myself had committed to going to RRA So, it was within that time period l believe that l hired that person prior to RRA Q. When you then went to -- now you had committed to go to RRA or at least mentally committed to go to RRA As soon as you started with RRA, did you terminate the services of that investigator? A. No. Q. Did that investigator continue to do work? A. Yes. Q. Okay. Has, does he or she or it continue to do work today for you? A. No. On Mr. Epstein's case you're asking, right? Q. Yes, sir. Page 181 A. No. Q. Okay. For how long a time period did that person continue to do the work before it got transfPrrPil to l\/lr. FistPn or oth.,r invPstigatnrs? A. Question doesn't make sense. Q. Okay. How long did the investigator that you may have hired prior to joining RRA work on the Epstein files before you ceased that work after you started working for Epstein in April of '09? I'm sorry, for RRA in '09. A. The person was hired in either March or April of 2009, which is why l can't say with absolute certainty whether l was at RRA or not. And that person continued to do investigative work in some capacity probably throughout the entire time that I was at RRA Q. Were all of the bills for that investigator paid by RRA? A. Yes. Q. With regard to the payments for the investigators -- well, let me strike that. Wh...
NOT A CERTIFIED COPY 1 2 3 4 5 6 7 8 9 10 11 12 13 14 15 16 17 18 19 20 21 22 23 24 25 1 2 3 4 5 6 7 8 9 10 11 12 13 14 15 16 17 18 19 20 21 22 23 24 25 Page 184 A. What do you mean by a number? Q. More than one. A. Yes, I have seen more than one. Q. Have you seen articles were it's alleged that investigators that were employed by Rothstein, by R..RA would go through the garbage of prospective Defendants to search for incriminating or favorable, incriminating evidence against the Defendant or favorable evidence for a Plaintiff who might be working or who might be a client of the firm? A. I have not seen an article saying that. I think I have heard your client say that before. Q. Separate and apart -- A. Right. Q. You don't have to rely on anything my client has said before, the testimony -- MR. SCAROLA: I am sure we won't. MR. CRITTON: I am confident of that. BY MR. CRITTON: Q. In terms of, were you aware from the articles, did you see in the article -- let me strike that. Did you ever direct your investigators to go through Mr. Epstein's trash? MR. SCAROLA: I am going to object, work-product, attorney-client privilege. Page 185 BY MR. CRITTON: Q. Have you directed, did you ever direct -- this is the investigators during the time you were at RRA and t½at's t½e question you're claiming the privilege over, cmTect? MR. SCAROLA: I am claiming the privilege with respect to any action that was taken by Mr. Edwards or at Mr. Edward's direction in -- MR. CRITTON: Tell you what, I will withdraw the last question. MR. SCA.ROLA: -- in connection with the investigation in prosecution of the claims against Mr. Epstein. BYMR. CRITTON: Q. Let me make my question clear, Mr. Edwards. With regard to your investigators, you gave direction with regarding the Epstein cases, during the time you were with RRA did you ever tell them or direct them to go through Mr. Epstein's trash? MR. SCAROLA: Sam...
NOT A CERTIFIED COPY 1 2 3 4 5 6 7 8 9 10 11 12 13 14 15 16 17 18 19 20 21 22 23 24 25 1 2 3 4 5 6 7 8 9 10 11 12 13 14 15 16 17 18 19 20 21 22 23 24 25 Page 188 BY MR. CRJTTON: Q. With regard to the, with regard to the investigators, with regard to the investigation bills that would come in from outside investigators, specifically the one that you -- well, let me strike that. The investigator that you hired before you went to RRA, I think you testified that bill was paid by RRA, correct? A. Yes. Q. All right. And in terms of the investigators who were employed by RRA for whatever investigation you directed them to do, those individuals were also paid from funds from RRA, correct? A. During the time period when I was at RRA you're asking about specifically, correct? Q. Correct. A. Then the answer is, yes. Q. Was there any specific cost account that was set up for Mr. Epstein's cases? A. 1 don't know. Q. Did you ever speak with the -- A. Again we're talking about the time period at RRA? Page 189 Q. AtRRA A. Okay. Q. During the time you were at RRA did you ever speak v~~t.l-i the accounting department or the accounting department ever call you to talk about the amount of costs, assuming they were something between 300 and $500,000 that were being expended on Mr. Epstein files? A. No. Q. Did, did anyone at the firm ever call you to discuss the issue of the amount of costs between 300 and $500,000 that were being incurred to prosecute Mr. Epstein's cases? A. No. Q. Okay. Who had checked -- did you have any check-signing authority at RRA? A. No. Q. Who did sign the checks? A. I don't know. I was -- Q. In terms of the, the work that was being done or the, the work that was, that is the costs that were being incurred including reimbursable costs, did you understand that you had a, basically an unlimited budget to prosecute those cases? A. No. Electronically signed by cynthia...
NOT A CERTIFIED COPY 1 2 3 4 5 6 7 8 9 10 11 12 13 14 15 16 17 18 19 20 21 22 23 24 25 1 2 3 4 5 6 7 8 9 10 11 12 13 14 15 16 17 18 19 20 21 22 23 24 25 Page 192 they're claiming. J never _juxtaposed that with what I believe should be the proper amount. But beginning with the fact that J do recognize that as the amount that they are claiming, I was not aware that the costs were that high. The cases were firm cases, paid for by the firm. I was simply an employee and I made judgment calls. If somebody had told me at any given time, we shouldn't serve these subpoenas, or we shouldn't take this deposition, J wouldn't have done it. Q. In fact, with regard to -- welL let me ask you this: Were any informants, did you authorize your investigators to hire informant, informants? MR. SCAROLA: Same objection, same instruction. BY MR. CRJTTON: Q. Did you authorize your investigators to do electronic eve's dropping? MR. SCAROLA: Sarne objection, same instruction. BY MR. CRJTTON: Q. You indicated that you were just an employee, correct? A. Yes. Page 193 Q. Okay. In fact, you, on various documents reflected that you were a partner of the finn, cmyect? / 11.·. Yes, docUt111ent, documents do reflect that title, of course, yeah. Q. And ifl had asked for a card during the time that you started at RRA up until the time of the implosion of the finn in late October of'09, would your card have also reflected that you were a partner of the finn? A. I think you did request a card. I think I gave it to you and I believe that it did say partner on it. Q. And you would agree that at least up until the time of the implosion ofRRA you held yourself out to the public, and including other lawyers, as being a partner ofRRA, true? A What do you mean by held myself out to the public? Q. You called yourself a partner. You didn't say I'm an employee; I'm not a partner, correct? You held yourself out to t.h...
NOT A CERTIFIED COPY 1 2 3 4 5 6 7 8 9 10 11 12 13 14 15 16 17 18 19 20 21 22 23 24 25 1 2 3 4 5 6 7 8 9 10 11 12 13 14 15 16 17 18 19 20 21 22 23 24 25 Page 196 Q. Okay. And the support, how many floors did RRA occupy in the Fort Lauderdale -- A. l believe six. Q. And approximately how many square feet on each floor? A. 1 don't know. A lot. Q. More than 10,000 square feet on each floor? A. I don't know. Q. And what was the support staff at the time that you were there approximately? A. In quantity or quality? Q. Quantity, the number of people. A. I don't know. A lot of people. Q. Did you do any hourly billing yourself at all or were you strictly a contingency fee person? A. 90 percent contingency. Q. And with regard to the monies that were -- separate and apart from the Epstein, Epstein cases where at least you now !mow that they cost between three and $500,000, you were, l assume, incurring other expenses on other cases, true? A. True. Q. All right. And where did you, where did you think that the money was coming from; that is, Page 197 the source of the money to pay the extensive bills that were being incurred on Epstein and other cases? MR. SCAROLA: I am going to object to the extent the question calls -- excuse me, I'm going to object because there is no proper predicate to the question, and that is that it was a matter that was ever given a thought by Mr. Edwards. MR. CRITTON: Is that form? Form is adequate so you don't have to instruct him. MR. SCAROLA: Thank you. THE WITNESS: What's the question? BY MR. CRITTON: Q. What did you consider, what did you believe was the cost; that is, the source of the money that was used to be paying these extensive costs that were being incurred in Epstein and other cases? MR. SCAROLA: Objection. MR. CRITTON: Just of yours and yours alone? MR. SCAROLA: Objection, form and compound. THE WITNESS: The law firm. Electronically signed...
NOT A CERTIFIED COPY 1 2 3 4 5 6 7 8 9 10 11 12 13 14 15 16 17 18 19 20 21 22 23 24 25 1 2 3 4 5 6 7 8 9 10 11 12 13 14 15 16 17 18 19 20 21 22 23 24 25 Page 200 I Q. Did you know an individual by the name of Patrick Roberts? A. Yes. Q. Okay. And who is Mr. Roberts during; that is, what did Mr. Roberts do for RRA? A. He was an investigator. Q. Did he ever perform investigation work on any of the Epstein files? MR. SCAROLA: Same objection, same instruction. BY MR. CRITTON: Q. Did you ever authorize Mr. Roberts to perform investigation on the Epstein files? MR. SCAROLA: Same objection and instruction. BY MR. CRITTON: Q. All right. I asked you earlier about Richard Fandrey, F-a-n-d-r-e-y. I think you said you don't know who that -- you knew someone named Rick; is that correct? A. I know an investigator named Rick. Q. Did Rick, did Rick perform any investigation on the Epstein, did you authorize Rick to perform any investigation on the Epstein files? MR. SCAROLA: Same objection and Page 201 instruction. BY MR. CRITTON: Q. And I believe we talked a little bit about, we certainly talked about l\A..r. Jem1e, did you ever authorize or direct Mr. Jenne to perform any investigation on the Epstein files? MR. SCAROLA: Same objection and instruction. BY MR. CRITTON: Q. Are you familiar with the company called Blue Line Research and Development? A. No. Q. Are you, are you aware at the current time that there is an entity called Blue Line Research and Development which is composed of Mr. Roberts, Mr. Richard Fandrey, Mr. Michael Fisten and Ken Jenne? A. No. Q. If you're unaware of the existence of the entity called Blue Line Research and Development, LLC, would it be a correct statement that you have never authorized anyone from Blue Line Research and Development, LLC, to conduct any investigation of Jeffrey Epstein? MR. SCAROLA: Same objection, same Electronically signed by cynth...
NOT A CERTIFIED COPY
1
2
3
4
5
6
7
8
9
10
11
12
13
14
15
16
17
18
19
20
21
22
23
24
25
1
2
3
4
5
6
7
8
9
10
11
12
13
14
15
16
17
18
19
20
21
22
23
24
25
Page 204
various occasions for a total of about 15 hours before
we took this deposition. I met him for the first time
during that deposition.
MR CRJTTON: Let me move to strike as
nonresponsive.
BY MR. CRITTON:
Q. My question to you is when did you first
meet Mr. Rodriguez?
MR. SCAROLA: And you have an answer to
that question.
THE WITNESS: It's a very complete answer.
I, the day of his deposition.
BY MR. CRITTON:
Q. Had you ever spoken with Mr. Rodriguez
before that time?
A. No.
Q. Okay. Had anyone on your behalf spoken
with Mr. Rodriguez?
A. No.
Q. Mr. Rodriguez's deposition occurred over a
two-day period; is that correct? Two separate days.
A. I believe that's right.
Q. And you were present for both of those
depositions; is that correct?
A. Yes.
Page 205
Q. And the first one I believe at least in
looking at the transcript the first one occurred on
January 29th of'09?
/1.. I'm assu.Ti..11g.
Q. And the second, the follow-up was on
August 7th, 2009, correct?
A. When was the first, January you said?
Q. Excuse me. I'm sorry. July 29th, 2009.
A. Okay.
Q. With the follow-up July, I'm sorry
August 7th, 2009.
A. If you say so. I'm not quarreling with that.
Q. And I will just represent that is what I
read off the transcripts. Between those two dates,
that is July 29th and August 7th of '09, did you
speak with Mr. Rodriguez at all?
MR. SCAROLA: Same objection, same
instruction to the extent that any such
conversation may have occurred in connection
with your representation of the Plaintiffs and
claims against Mr. Epstein.
BY MR. CRITTON:
Q. All I am asking right now, not the
substance but just so the record is clear I am just
asking, did you speak with Mr. Rodriguez between
Electronically signed by cynthla hopkins {601-051-97...
NOT A CERTIFIED COPY 1 2 3 4 5 6 7 8 9 10 11 12 13 14 15 16 17 18 19 20 21 22 23 24 25 Page 208 A. Okay. Q. We agree on that. A. Okay. Q. Subsequent to the deposition; that is, after Mr. Rodriguez's deposition, did Mr. Rodriguez contact you? MR. SCAROLA: Objection, instruct you not to answer. MR. CRITTON: Well, this is -- okay. This is a third party contacting Mr. Edwards. All right. MR. SCAROLA: It is not -- ivlR. CRITTON: It's just a yes orno I'm looking for. MR. SCAROLA: It is a witness in these proceedings. MR. CRITTON: So. MR. SCAROLA: So, anything that Mr. Edwards has done or may have done in connection with his investigation and prosecution of the claims against Mr. Rothstein it is our position is not the appropriate subject matter of inquiry in the context of this lawsuit, and is an attempt to invade the attorney-client and work-product privileges. I Page 209 1 am instructing him not to answer. 2 If the court, if the court determines that 3 the scope of the privilege pennits a response 4 to these questions, we would be happy to 5 respond to them. 6 But we have an obligation to, to 7 Mr. Edward's clients to protect their rights to 8 a fair trial and their rights to 9 confidentiality, and for that reason we are 1 0 obliged to interpret those privileges in their 11 broadest sense unless and until the court 12 decides that a more restrictive interpretation 13 should be applied. 14 BYMR. CRITTON: 15 Q. Between the first and second deposition of 16 Mr. Rodriguez, I think you, I think you indicated 1 7 that you did not speak with him; is that correct? 18 A. You're asking me if I indicated to you 19 previously during this deposition whether -- 2 0 Q. Right. 2 1 A. -- I spoke to him or not? I, I don't 2 2 remember. 2 3 Q. Did you speak with Mr. Rodriguez between 2 4 his first and second. 2 5 MR. SCAROLA: Same objection, same Electronically signed by cynthia hopkins (60...
NOT A CERTIFIED COPY Page 212 1 Q. Did you, did you see Exhibit I, the 2 criminal complaint, prior to the time that it was 3 filed in the United States District Court? 4 A. Did l see it prior to it being filed? 5 Q. Yes, sir. 6 A. No, no. 7 Q. Okay. Did you provide an affidavit to any 8 individual at the FBI or the U.S. Attorney's Office 9 in support of, although not attached to this, to 1 0 Exhibit 1, the criminal complaint? 11 A. Repeat. 12 Q. Did you sign any affidavit or give, give 13 any sworn testimony associated with the criminal 14 complaint that was filed by the United States of 15 America versus Mr. Rodriguez? 16 A. It's obvious to me that you're trying to 1 7 circumvent the privileges that have been placed on the 18 record. I will answer that question that, no, I did 1 9 not, but I am not here to divulge anything that may 2 0 waive my attorney-client or work-product privilege or 21 otherwise jeopardize the claims that my three clients 2 2 are pursuing against Jeffrey Epstein for their being 23 sexually molested by him when they were underage minor 24 females. 2 5 Q. Mr. Edwards, are you the cooperating Page 213 1 witness who was referenced in the criminal 2 complaint, Exhibit 1? 3 MR. SCAROLA: Could you explain to us for 4 the record, please, how that line of inquiry is 5 reasonably calculated to iead to admissible 6 evidence in this case? 7 MR. CRITTON: I am not prepared to do that 8 right now. 9 MR. SCAROLA: Then I am not prepared to 1 0 allow Mr. Edwards to answer that question 11 outside the presence of an Assistant United 1 2 States Attorney who can make a judgment as to 1 3 whether that is information that ought to be 14 disclosed. 15 BYMR. CRITTON: 1 6 Q. Mr. Edwards, you knew or you first Marie 1 7 Villafana through the complaint you filed on behalf 18 of Jane Doe 1 and Jane Doe 2 in July of 2008, 19 correct? 20 A. No. 21 Q. Had you spoken with her before ...
NOT A CERTIFIED COPY 1 2 3 4 5 6 7 8 9 10 11 12 13 14 15 16 17 18 19 20 21 22 23 24 25 1 2 3 4 5 6 7 8 9 10 11 12 13 14 15 16 17 18 19 20 21 22 23 24 25 Page 216 had conversations with Mrs. Villafana from time to time? A. Okay. Q. ls that true? A. ls your assumption true? Q. Correct. A. I have spoken with Ms. Villafana. Q. And when you spoke with Ms. Villafana -- let me strike that. Have the only conversations that you have had with Mr. Marie Villafana or Villafana, have they only been in the context of Jane Doe 1 and 2 versus United States of America, only in the context of that case? MR. SCAROLA: Sarne objection. MR. CRITTON: And I will separate out to the extent that you were at the June 12th, 2009, hearing in front of Judge Marra where she was present. MR. SCAROLA: Sarne objection, same instruction. BY MR. CRITTON: Q. Has Ms.-- have you spoken, have you had an occasion to speak with Ms. Villafana with regard to the criminal complaint, Exhibit No. 1, involving Alfredo Rodriguez, Mr. Rodriguez? Page 217 MR. SCAROLA: Same objection, same instruction. BY MR. CRITTON: Q. M_r. Edwards, have you ever been interviewed by the FBI or the U.S. Attorney's office with regard to any of your clients? MR. SCAROLA: Any of the three clients who have claims against Mr. Epstein? MR. CRITTON: Correct. MR. SCAROLA: Sa.me objection, same instruction. BY MR. CRITTON: Q. Do you know Agent Nesbitt, sir? A. Yes. Q. And how do you know Agent Nesbitt from the FBI? A. I can answer if you want. MR. SCAROLA: Okay. That's fine. MR. CRITTON: Nesbitt Kirkendahl. 1HE WITNESS: I don't know her last name but I do !mow the first name is, the first name is obviously an unusual name, so I do !mow who that is. I met her outside of the courtroom related to the Jane Doe l and 2 versus United States of America case. Electronically signed by cynthia hopkins (601-051-976-2934) Electronically signed by cynthi...
NOT A CERTIFIED COPY 1 2 3 4 5 6 7 8 9 10 11 12 13 14 15 16 17 18 19 20 21 22 23 24 25 1 2 3 4 5 6 7 8 9 10 11 12 13 14 15 16 17 18 19 20 21 22 23 24 25 Page 220 Q. And did you go back in front of Judge Marra that same day? A. l can't remember. Q. Did he issue an order based upon that hearing? A. The, the record in the case will speak for itself. I really, I don't remember right now. Q. Have you had any other conversations with Nesbitt Kirkendahl other that? Well, 1 mean any other face-to-face conversations with her other than that one day back in July of, July or August of 2008? A. No. Q. Have you seen Nesbitt, Agent Nesbitt Kirkendahl since July, July or August of2008 during that short conference as physically seen her someplace? A. Unless she was at the hearing we all attended on your motion to stay that day when there were a lot of people in the courtroom, the answer is no. Q. Okay. Have you seen Agent Jason, assmrung the male agent's name was Jason Richards or Richard, have you seen him since that day in July or August of2008? A. I do not believe I have. Page 221 Q. Have you spoken with either Nesbitt Kirkendahl or Jason Richard relating to any Epstein related matter since July or August of 2008? MR. ~rA ROl .A· l :im going tn irn:tnir.t yon not to answer on the basis of the privilege as previously described. BY MR. CRITTON: Q. Mr. Edwards, have you spoken with any rep, has any representative of the FBI attempted to speak with you regarding your association with the RRA firm? A. No. Q. Has any member of the U.S. Attorney's Office discussed with you any aspect of your tenure or employment at the RRA firm? A. No. Q. In any conversations that you, that you had that you've had with the United States Attorney's Office at any time, has anyone ever asked you any questions about Scott Rothstein? A. You're presupposing that I had conversations, but I will answer the questio...
NOT A CERTIFIED COPY 1 2 3 4 5 6 7 8 9 10 11 12 13 14 15 16 17 18 19 20 21 22 23 24 25 1 2 3 4 5 6 7 8 9 10 11 12 13 14 15 16 17 18 19 20 21 22 23 24 25 . Page 224 share investigative material regarding, that you had obtained regarding Mr. Epstein? MR. SCAROLA: Same objections and instructions. BY MR. CRITTON: Q. Did you provide any of the investigative materials that had been acquired by you to any other person outside of the RRA firm and the Farmer, Jaffe firm up through the current date? MR. SCAROLA: Would you read that question back? BY MR. CRITTON: Q. Let me ask it. During the time that you were v.~th RRA, excuse me, and had investigation done on Mr. Epstein, was any of your investigation that you had performed turned over to any person outside ofRRA or your clients? MR. SCAROLA: Same objection, same instruction to the extent that that would encompass other attorneys with a shared interest in the prosecution of Mr. Epstein. lf any of those materials were turned over to persons who did not have a direct interest to lawyers who did not have a direct interest in the prosecution of the claims against Page 225 Mr. Epstein or to clients who did not have, to persons who did not have a direct interest in the pursuit of their claims against Mr. Fpstein, thP.n you c:an :an~w"r to that extent. ·•s- THE WI1NESS: Privileged. BY MR. CRJTTON: Q. And I just want to be clear is, is there any written agreement and I know you, I want to make certain that the objection is there, is as we both know there are a number of claims. There are a number of claims that are outstanding against Mr. Epstein brought by a number of different lawyers. MR. SCAROLA: The objection extends to both written agreements and oral agreements. THE WI1NESS: Yes. We both know that there are a lot of claims against Mr. Epstein for basically the same conduct. BY MR. CRITTON: Q. And my question to you is is, is the...
NOT A CERTIFIED COPY 1 2 3 4 5 6 7 8 9 10 11 12 13 14 15 16 17 18 19 20 21 22 23 24 25 1 2 3 4 5 6 7 8 9 Page 228 Q. You have testified that investigations were done during the time, on Mr .. relating to Mr. Epstein during the time that you were at RR.A A. Right. Q. My question to you is. did you -- first of all did you receive written reports in addition to oral reports? A. From the investigators? Q. Yes, sir. THE WITNESS: Answer? MR. SCAROLA: Yeah. THE WITNESS: The reports were --yes, 1 did. BY MR. CRJTTON: Q. And were the reports provided by e-mail or were they provided by, in the form of a memo that would be sent from the investigator to you or both? A. l, I do not remember there being any in the form of an e-mail. Does not mean that there was not. l did communicate by e-mail with other members of the firm and other members of the investigative team on all cases as has been my practice all along practicing law. There were memos, though, that were given to me that were not e-mail form that were the standard memos that l would incorporate into a witness memo file. Page 229 Q. And again that would just be in your, would that be in your electronic storage as well as in the hard copies? A. The version I saw was tlie electronic. Q. So, that would be stored in the Fortis program? A. That's correct. Q. All right. And again other individuals in the firm, other lawyers in the firm might be able to access that program, you just don't know? A. Right. Well, the program, obviously that's the program that the firm used. Now, whether they could access, if you could go across cases that weren't cases you worked on, I really just don't know. Q. As an example could Mr. Fisten, on the, on the Fortis, could he access your, your file on an Epstein case? A. I don't !mow. Q. If someone accessed your file, accessed your electronic file, would you necessarily know that? A. No. Q. All right. So -- A. l don'...
NOT A CERTIFIED COPY l 2 3 4 5 6 7 8 9 10 11 12 13 14 15 16 17 18 19 20 21 22 23 24 25 l 2 3 4 5 6 7 8 9 10 11 12 13 14 15 16 17 18 19 20 21 22 23 24 25 Page 232 motions, research, appeals, pleadings, papers that were filed? MR. SCAROLA: You can, you can answer whether they were, there were other lawyers involved in drafting tasks without identifying what those may have been. TI-IE WITNESS: Other lawyers contributed to some extent to the prosecution of those cases. BY MR. CRITTON: Q. Who? Names. I'm not asking for tasks. MR. SCAROLA: You can answer. MR. CRITTON: I am asking for names. TI-IE WITNESS: Bill Berger, Judge Stone, Russell Adler, Rob Busche!. BY MR. CRITTON: Q. B-o-u-c-h-e-1? A. I don't know how to spell it. B-u, I don't know how, B-u-s-c-h-e-1, I believe. Q. All right. Is he currently with you now? A. No. Q. Any other lawyers? A. And you're asking for no matter how minimal, just anything done by any lawyers? Q. Correct. A. Michael, I think his name is Michael. It was Page 233 another lawyer. That's, that's -- those are the ones that I can remember right now. Q. Were there ever meetings that occurred, v,;eH, not -- ,vere there ever specific meetings that were attended by various lawyers to discuss Epstein's cases? MR. SCAROLA: You can answer whether there were meetings. TI-IE WITNESS: There were meetings to discuss every case including Jeffrey Epstein's cases. BY MR. CRITTON: Q. And when you say there were meetings to discuss every case, were there routine meetings that were held to discuss your cases or cases in general? A. It's how the firm worked. If you wanted to discuss cases, or the case was a case that was thought to need more than one or more than two attorneys, then a meeting could easily be assembled within RRA to sit around the table and discuss issues related to any case. And yes, that happened with respect to cases filed against Jeffrey Epstein. ...
NOT A CERTIFIED COPY l 2 3 4 5 6 7 8 9 10 11 12 13 14 15 16 17 18 19 20 21 22 23 24 25 1 2 3 4 5 6 7 8 9 10 11 12 13 14 15 16 17 18 19 20 21 22 23 24 25 Page 236 way of e-mail? A. Yes. Q. Did you ever receive any memorandum from him; that is, a typewritten memo that was then sent to you through office mail that was not electronic involving Mr. Epstein? A. No. Q. At the meetings that you, at the meetings that occurred where these various lawyers, Berger, Adler, Stone, Rob Busche! were present and Epstein was discussed, was the discovery that, discovery and/or investigation regarding Mr. Epstein was that ever discussed? MR. SCAROLA: Same objection, same instruction. BY MR. CRITTON: Q. Mr. Edwards, are you aware as a former state prosecutor that there are laws against conducting certain financial transactions in money that's derived from a crime? A. l don't understand your question. Q. Okay. Well, you were a former state prosecutor; is that correct? A. Right. Yes. Q. Right. Are you aware that there are Page 237 certain Jaws both state and federal that, that are, that preclude conducting certain financial transaction, transactions in money that is derived from a crime? A. Still don't understand your question. But first before I try to answer your question, are you taking me back to a time when I was a State Attorney and asking back then did 1 lmow and then your question? Q. Yes. A. Back when I was a State Attorney did I know that there are crimes related to money transactions? Q. No. MR. SCAROLA: Could I help you? Do you want to ask him whether he was aware of the existence of a state RJCO statute? MR. CRJTION: No. MR. SCAROLA: Okay. MR. CRJTION: I am okay with that first, but I am still going to ask my question. BY MR. CRJTION: Q. I assume you're aware of the existence of a state RJCO statute, correct? A. I don't know that I was aware of that back then. I just can't reme...
NOT A CERTIFIED COPY 1 2 3 4 5 6 7 8 9 10 11 12 13 14 15 16 17 18 19 20 21 22 23 24 25 1 2 3 4 5 6 7 B 9 10 11 12 13 14 15 16 17 18 19 20 21 22 23 24 25 Page 240 Q. And that's Exhibit 1 attached to the complaint, correct? A. Correct. Q. And you're aware that, and this is the information that was brought by the United States of America, U.S.A. versus Scott Rothstein, correct? A. Yes. Q. And you're aware that within the -- well let me strike that. Are you aware that Mr. Rothstein has pied guilty to, excuse me, the information that was brought against him by the U.S.A.? A. lam aware that he pied guilty to something. Q. With regard to the complaint brought by the U.S.A., 1 am sorry, the information brought by U.S.A. against Mr. Rothstein, I assume you have read the allegations associated with the racketeering conspiracy, the pattern of racketeering activity, correct? A. 1 haven't. Q. Okay. If you tum to Page 3, Paragraph 4, were you aware, were you aware prior to coming in here today that Mr. Rothstein was, that the charges that were brought against him were for under, under RICO but with regard to mail fraud, wire fraud, Page 241 laundering of monetary instruments, engaging in monetary transactions, and conspiracy to launder monetary instruments and engage in monetary transactions? A. I, I have read that in the newspapers. l have been told that by numerous people. So, yes, l was aware of that. Q. And within the complaint at Paragraph 6 it says the Defendant -- A. The information or the complaint? Q. J'm sorry. Within the information, Exhibit l to the complaint, in Paragraph 6 where it speaks in terms of the Defendant and his co-conspirators, conspirators agreed, agreed to engage in a pattern of racketeering activity through its base of operation at the offices ofRRA Do you see that? A. Yes. Q. Okay. Do you know who the, do you know any of the co-conspirators in addition who a...
NOT A CERTIFIED COPY 1 2 3 4 5 6 7 8 9 10 11 12 13 14 15 16 17 18 19 20 21 22 23 24 25 1 2 3 4 5 6 7 8 9 10 11 12 13 14 15 16 17 18 19 20 21 22 23 24 25 Page 244 Q. Have you, and ifl understand correctly you haven't discussed any firm business with Mr. Adler since the implosion; is that correct? A. Firm business? Q. Any firm RRA business? A. Right, no. Q. How about with Mr. Rosenfeldt, have you had any discussions with him -- A. None. Q. -- since the implosion of the firm in late October of'09? A. No. Q. If you wanted, if you had any, other than your existing partners have you had an occasion to speak with any other partners or former partners of the firm regarding the implosion -- well, let me strike that -- regarding the ponzi scheme that was being run by Mr. Rothstein through the firm? A. I have spoken to my current partners about it. Q. Are your current partners, are you aware of any of your current partners being a target of an investigation as a potential co-conspirator with Mr. Rothstein? A. No, way. Q. You're not aware of or no one has told you Page 245 that, correct? A. I am not aware of that and nobody has told me that. Q. l\1r. Rothstein founded what was, what ultimately became RRA in approximately 2002. Were you aware of that fact? A. No. Q. How long did you think Mr. Rothstein had been -- well, let me strike that. How long did you think RRA had been in existence prior to your joining the firm? What were you told? A. I don't know what I was ever told. I think that I learned that information when the implosion, as you call it, occurred. Q. And were you, in terms of what the revenues of the firm were, were you ever advised what the revenues of the firm were? A. No. Q. Okay. Were you, were you familiar with what the expenses were associated with operating the RRA firm? A. No. Q. Were you in anyway -- well, let me strike that. With regard to -- let me take a fi...
NOT A CERTIFIED COPY 1 2 3 4 5 6 7 8 9 10 11 12 13 14 15 16 17 18 19 20 21 22 23 24 25 1 2 3 4 5 6 7 8 9 10 11 12 13 14 15 16 17 18 19 20 21 22 23 24 25 Page 248 obviously knew what, whether hiring an investigator or what a particular cost was because you had to pay it, correct? A. Yes. Q. Okay. And l think as you described earlier is that there had been very little discovery up until the time you started working for RRA in your three cases, true? A. Not very little discovery. Obviously we had gone through interrogatories, responses, request for production, responses or lack ofresponses, however, the majority of the depositions that were taken, the cases just happened to be right last summer for most of those depositions to take place, and that's what happened. Q. Not only depositions but as well the investigation as you have described, your investigator that you hired as an outside person didn't really start until late March or early April in conjunction with the other investigation that you did during the time you were with RRA, correct? A. Fair statement. Q. All right. And when you were at RRA you described earlier, and I won't belabor it, but you described the compound l think is the word that you used that Mr. Rothstein kept himself in when he was Page 249 at the finn, correct? A. Correct. Q. Right. And he was not accessible to everyone else, true? A. Right. Q. And was he on your floor or was he on a completely separate floor? MR. SCAROLA: As opposed to a partly separate floor. THE WITNESS: For the most part he was on a separate floor. BY Jv1R. CRITTON: Q. Okay. And were there guards during the time that you were at, at the RRA finn, RRA, were there ever guards that patrolled the hallways? A. Yes. Q. And was that from the day you started? A. I believe so. Q. And had you ever been in a finn where -- bless you. Had you ever been in a fo-m where there -- well, let me st...
NOT A CERTIFIED COPY 1 2 3 4 5 6 7 8 9 10 11 12 13 14 15 16 17 18 19 20 21 22 23 24 25 Page 252 l Q. Did you understand as well that he had, that the fim1 was paying for armed guards to guard his house 24 hours a day? A. No. Q. When did you learn that fact? A. After the disbandment ofRRA Q. Did Mr. Adler tell you that Mr. Rothstein had amazing or substantial wealth? A. I don't know in those words, but I, l definitely understood that. Q. Okay. ln meeting Mr. Rothstein initially, initially for the ten minutes as you were contemplating taking a job and on the two other occasions or the one other occasion when you saw him out in the restaurant, I think you described him as flamboyant? A. I'm not sure I used that word but probably one synonymous, and, yes, I would describe him as such. Q. Was he someone that at least -- well, let me strike that. Were you aware that he had a, a watch collection of hundreds of watches? A. No. Q. Did you see him wear expensive jewelry when you saw him; that is, the few occasions that you saw him? 1 2 3 4 5 6 7 8 9 10 11 12 13 14 15 16 17 18 19 20 21 22 23 24 25 Page 254 A. l went there one time. Q. For what occasion? A. I don't remember the occasion, but it was a gathering that he had at his house and he asked, during the course ofme working there were ten occasions where everybody was invited to go to his house for various events and on one occasion, l went. Q. Oh, all right. And from being in his house did you recognize immediately that this was a multi-million dollar house? A. Yes. Q. Okay. Was it on the water? A. Yes. Q. And could you tell from the interior design or the decorations that existed that this was at least a man, a man that had significant wealth? A. Yes. Q. All right. And could you, did you have an opportunity to see his collection of automobiles? A. No. Q. During the time that you were in the house, did you have an opportunity...
NOT A CERTIFIED COPY l 2 3 4 5 6 7 8 9 10 11 12 13 14 15 16 17 18 19 20 21 22 23 24 25 1 2 3 4 5 6 7 8 9 10 11 12 13 14 15 16 17 18 19 20 21 22 23 24 25 Page 256 at that time? A. I heard that sometime after I began working there. He certainly acted like he did. Q. Did you learn that he had investments in other business entities, whether they were other restaurants or other business entities -- A. Through -- Q. -- during the time that you worked at RRA? A. Through rumors. Q. And rumor was he had his fingers in many different businesses? A. It sounded like hundreds. Q. And did you understand that he had a substantial collection of automobiles? A. What do you mean by substantial selection or collection? Q. Well, were you, during the time that you were at RRA were you aware that he had Ferraris? A. No. Q. Multiple Ferraris? A. No. Q. Were you aware that he had a Bentley? A. Yes. Q. Were you aware that he had a Bugatti? A. I heard that. Page 257 Q. Were you aware that he had a Rolls Royce? A. No. Q. Were you aware that he had multiple rnn1PttPo? A. No. Q. Either a Corvette or multiple Corvettes? A. No. Q. Were you aware that he had multiple Mercedes Benz? A. No. Q. Were you aware that he owned a yacht? A. Yes. Q. Okay. And was that parked behind his house? A. Yes. Q. Were you aware that he also -- and did it, ifl was to say it was approximately an 85 to 90-foot yacht or, i.-i fact, an 87-foot yacht? A. I wouldn't quarrel with that. Q. Did it also appear that he had a substantial sport fisherman that was parked out there as well? A. I didn't see that. Q. Were you aware that he had 33-foot Aqua, Aquaviva? Electronically signed by cynthia hopkins (601-051-976-2934) Electronically signed by cynthia hopkins (601-051-976-2934} l 2 3 4 5 6 7 8 9 10 11 12 13 14 15 16 17 18 19 20 21 22 23 24 25 1 2 3 4 5 6 7 8 9 10 11 12 13 14 15 16 17 18...
NOT A CERTIFIED COPY 1 2 3 4 5 6 7 8 9 10 11 12 13 14 15 16 17 18 19 20 21 22 23 24 25 1 2 3 4 5 6 7 8 9 10 11 12 13 14 15 16 17 18 19 20 21 22 23 24 25 Page 260 Mr. Rothstein prior to going to the firm and by research I mean people Google. Did you Google him? A. No. Q. Did you, did the firm have a brochure? A. I don't know. Q. Did you ever see brochures in the waiting room or the reception rooms that described the firm when it was founded, background of the firm, et cetera? A. No. Q. Was it on your web site? A. Was what on my web site? Q. The history or the background of the firm. Let me strike that. RRA had a website? A. RRA had a website. Q. That's no longer in existence, true? A. True. Q. And -- A. To my knowledge. Q. Did you ever go on the website and checkout the web site for the history or the background ofRRA and Mr. Rothstein? A. I went on the website. I don't know that the website even had a history. Ifit did, I don't remember ever looking at it. Page 261 Q. Did it, did, at least from what you saw and observed of Mr. Rothstein, did it appear to you that the, his wealth far exceeded the type of hu"iP""" th,it it ,ippe,irerl tn ynn th,it the firm w,i" doing? A. I have no understanding whatsoever. No, that's not something that ever crossed my mind. Q. Well, under these circumstances is, is when you went to the firm, you had the ability to your discretion to spend whatever monies you wanted in prosecuting your personal injury and Epstein cases. You, no one ever turned down a request either for a reimbursement or told you not to expend any money, true? MR. SCAROLA: Objection, compound and repetitious. THE Wl1NESS: I don't understand the question. BY MR. CRJTTON: Q. No one, as to any expenditure that you ever made on an Epstein case -- MR. SCAROLA: Isn't this about the fourth time that you're eliciting exactly the san1e testimony? Isn't it very clear the extent to ...
NOT A CERTIFIED COPY 1 2 3 4 5 6 7 8 9 10 11 12 13 14 15 16 17 18 19 20 21 22 23 24 25 1 2 3 4 5 6 7 8 9 10 11 12 13 14 15 16 17 18 19 20 21 22 23 24 25 Page 264 at least what was rumored to be his business interest, did you believe that the source of his, of his apparent wealth was as a result of the law firm? A. I believe that the source of his wealth was the law firm as well as the, what l have described as an assortment of businesses that he had his hands in of which only a fraction l was aware. Q. Well, what did you understand to be the source of the funding of the, of the Epstein cases and the other lawsuits that you had? A. The checks l believe were written by the law firm. Q. Okay. And what did you believe was the source of the monies that the law firm got to expend some, just on the three cases that you had with Mr. Epstein, some three to $500,000, I mean separate and apart from all of the, your other personal injury cases and separate and apart from all of the other 69 lawyers who were in the law firm who also had cases? A. I didn't have a belief at all as to the source of any of the monies that were used for any of the case. Q. Was it your position it really wasn't your concern; that is, wherever the money came from, it didn't bother you; all you !mew is that the firm was Page 265 funding your cases? MR. SCAROLA: Objection, argumentative. THE WITNESS: Yeah. At the time I believe that ! a.111 worbng at a we!! recognized law firm with good people and that is a successful law firm and this is the way that law firms at that level operate, and right, I didn't -- BY MR. CRITTON: Q. Didn't care? A. Right, I didn't care. I didn't question it. Q. With, with regard to, let me ask you some names and see if you recognize the names. Do you know a person by the name of Barry Bekkadan, B-e-k-k-a-d-a-n? A. Never heard the name until right now. Q. A.J. Discala? A. Again same answer...
NOT A CERTIFIED COPY
1
2
3
4
5
6
7
8
9
10
11
12
13
14
15
16
17
18
19
20
21
22
23
24
25
1
2
3
4
5
6
7
B
9
10
11
12
13
14
15
16
17
1B
19
20
21
22
23
24
25
Page 268
purported to have an office within RRA's offices.
Have you seen that?
A. Have l seen what?
Q. Have you seen that in any of the news
media, that Mr. Preve had an office within RRA?
A. That name doesn't sound familiar at all. So,
no, the answer to your question is no, l haven't seen
that.
Q. Bill Brock?
A. Yes.
Q. Okay. Who is Mr. Brock?
A. ln the law finn he went by the name Uncle
Bill.
Q. Okay. All right. Who is Uncle Bill?
A. Who do l understand him to be? l don't know
who he really was. At this point in time looking back,
there is no telling what anyone, what anyone or anything
was. But at the time l believe that he was a relative
of Scott Rothstein's.
Q. What did he do? What did, what did Uncle
Bill do --
A. Some --
Q. -- at the finn?
A. Something with money.
Q. Did he have an office at the finn?
Page 269
A. I think the trustees are still trying to
figure out what he exactly did do.
Q. Did you have any dealings with him?
A. Dealings, no, l didn't have dealings.
Q. Dealings of any kind?
A. I talked to him.
Q. Did you ever discuss any of your cases?
Was he -- he wasn't a lawyer?
A. Far from it.
Q. All right. Did you ever discuss any of
your cases with him?
A. No.
Q. Just a hi, hello?
A. Hi, hello, and I was one of the lawyers who
would come in often and work on weekends and he would be
there. That's when l would see him, and he would kind
of, hey, how are you doing on a weekend.
Q. And do you know a Dean K.retclm1ar,
K-r-e-t-c-h-m-a-r?
A. No.
Q. Same question again, do, these names
during the time period, Doug Van Allman,
A-l-1-m-a-n?
A. No.
Q. Ted Morse?
Electronically signed by cynthia hopkins {601-051-976-2934)
Electronically signed by cynthia hopkins {601-051-976-2934)
Electronically signed by cynthia ...
NOT A CERTIFIED COPY 1 2 3 4 5 6 7 8 9 10 11 12 13 14 15 16 17 18 19 20 21 22 23 24 25 1 2 3 4 5 6 7 8 9 10 11 12 13 14 15 16 17 18 19 20 21 22 23 24 25 Page 27 2 l as the director of Corporate Development for RRA A. I don't know even know what that means. Q. Have you ever heard of the Centurion Credit Fund or the Platinum Management Fund? A. No. Q. Alan Sakowitz? A. No. Wait. Alan Sakowitz. I have heard that name recently. I don't know why. I believe I actually heard that name in a response. Never mind. In some nonresponsive answer that your client gave, l heard that name. MR. SCAROLA: Keep going. BY MR. CRITTON: Q. Mr. Edwards, with regard to your phone, did you have a direct line at RRA? A. Yes. Q. What was that phone number? A. I don't remember. Q. And is your cellphone today the same as it was back then? A. Yes. Q. And what's that number, please? MR. SCAROLA: Cellphone number? THE WITNESS: 954-294-9544. Page 273 BY MR. CRITTON: Q. Did you ever have a firm cellphone or just your own personal cellphone? A. No. Just my own personal cellphone. Q. During the time that you were at the firm, were you ever involved in making any type of a presentation to anyone regarding the Epstein cases? A. Including other lawyers within the firm? Q. Let me rephrase it. I am going to rephrase. You already told us that you have talked about the Epstein cases with other lawyers, correct? A. Right. Q. Were you ever present in a meeting where there was a person whom you did not know wherein the Epstein, where the Epstein cases were discussed? A. No. Q. At the, 0when you met with Mr. Rothstein in his office when Mr. Adler or whoever asked you to come up that one time and there was Adler, Rothstein and yourself, you said there was an individual on the phone? A. Right. It was another lawyer with the firm. Q. And how do you know it was another lawyer with the firm? A. It was either Marc Nurik ...
NOT A CERTIFIED COPY 1 2 3 4 5 6 7 8 9 10 11 12 13 14 15 16 17 18 19 20 21 22 23 24 25 1 2 3 4 5 6 7 8 9 10 11 12 13 14 15 16 17 18 19 20 21 22 23 24 25 Page 27 6 A. I was never aware of any cases that Rothstein even handled much less settled. Q. Were you aware of whether, did anyone ever tell you whether Mr. Rothstein even did legal work at the firm or whether he was just a rainmaker? A. I -- no, no one ever told me one way or the other. Q. Would it be a correct statement that you never saw him perform any legal work during the time you were at the firm? A. That's a correct statement. Q. Would it be a correct statement as far as you knew he was kind of a gadfly going to his various business ventures and then he would hole himself up in the office. A. He was the guy on the billboards and at the Triple A arena and everything else marketing the firm and bringing business in, and that's at least what l believe he did. If it's true or not, I don't know to this day. Q. With regard to Exhibit 3, do you recognize this e-mail? A. I, l don't recognize the e-mail. Q. Do you recognize, and I will represent to you that I received the e-mail. It was sent to me Page 277 as well although I am not shown as a recipient, I received e-mail. 1HE WITNESS: Are you talking about the fa-x? MR. CRITTON: I am sorry, the fax. MR. SCAROLA: Exhibit, Exhibit 3. MR. CRITTON: Exhibit 3. Let me start again. Exhibit 3 is a fax. 1HE WITNESS: Correct. MR. CRITTON: Dated July 22nd, 2009. 1HE WITNESS: I recognize that. BY MR. CRITTON: Q. And do you recognize on Page 2, it says very truly yours, Rothstein, Rosenfeldt, Alder and then there is a, what appears to be a signature and under that it says Bradley J. Edwards, Esquire, partner fort (sic) the firm. Do you see that? A. Yes, I see that. Q. Do you recognize the signature? A. No. Q. Is that how you sign your name? A. No. Q. Do you know whose signature tha...
NOT A CERTIFIED COPY 1 2 3 4 5 6 7 8 9 10 11 12 13 14 15 16 17 18 19 20 21 22 23 24 25 1 2 3 4 5 6 7 8 9 10 11 12 13 14 15 16 17 18 19 20 21 22 23 24 25 Page 280 Jeff Epstein. Q. Well, you also understood Mr. Epstein has had ongoing criminal law issues even during the time of the civil case, correct? A. No. Q. Sure. Well, you were aware that Mr. Epstein was operating under the nonprosecution agreement, that he was bound by the, a nonprosecution agreement, correct? A. I'm aware of the existence of a nonprosecution agreement. Q. Well, and in fact you came into possession of the nonprosecution agreement sometime in 2008 because Judge Marra ordered that, ordered the United States Government to tum over to all of the attorneys and the clients who were listed as alleged victims, correct? A Yes. Q, So, you had possession of the N.P.A. as of sometime in the year 2008, correct? A Right. Q. All right. And so you, and you were aware that under the nonprosecution agreement Mr. Epstein was required to meet certain requirements, that Mr. Epstein had a requirement to meet certain Page 281 standards or certain provisions of the agreement otherw:ise the U.S.A. could potentially declare there was a breach of the agreement, true? A. ! suppose. Q. Well, you're a former prosecutors too, so you knew what a nonprosecution agreement was, true? A No, I had never seen a nonprosecution agreement in my life before this one. Q. When you got the nonprosecution agreement, you reviewed it? A. Yes, I did. Q. So, you were familiar w:ith? A. Right. Q. And you understood from at least looking at the police report that you had access to, that Mr. Dershow:itz had represented Mr. Epstein with regard to negotiating his plea that ultimately was reached in negotiations w:ith the federal government, true? A. I knew he played a role. Q. Now, with regard to Mr., with regard to the depositions of -- well, let me ...
NOT A CERTIFIED COPY 1 2 3 4 5 6 7 8 9 10 11 12 13 14 15 16 17 18 19 20 21 22 23 24 25 1 2 3 4 5 6 7 8 9 10 11 12 13 14 15 16 17 18 19 20 21 22 23 24 25 Page 284 MR SCAROLA: Same objection, same instruction. BY MR. CRJTTON: Q. Same question with regard to Mr. Dershowitz, former president Clinton, Tommy Mottola, David Copperfield, and Leslie Wexner. THE WITNESS: No. MR. SCAROLA: Same objection, same instruction? TI-ffi WITNESS: And with respect to Tommy Mottola, 1, that was not my firm that was a separate law firm that intended to take his deposition. BY MR. CRJTTON: Q. Who was it that you understood was taking Mr. Mottola's deposition? A. Searcy, Denney. Q. Did you ever discuss with Mr. Rothstein or anyone on his behalf the value of taking the depositions of Trump, Dershowitz, former president Clinton, David Copperfield, and Leslie Wexner as an inducement to get Mr. Epstein to settle his lawsuits? MR. SCAROLA: You have already inquired of Mr. Edwards about the communications that he Page 285 had with Mr. Epstein. He has responded to those questions previously. So, any further questioning along those lines is entirely repetitious. BY MR CRJTTON: Q. Can you answer that question, sir? Would you like it read back? MR. SCAROLA: Beyond what he has already responded, we would object on the basis of work-product and attorney-client privilege and I instruct you not to answer. THE WITNESS: Okay. BY MR. CRITTON: Q. Were you involved in any of the decision to pursue obtaining flight data from Mr. Epstein? Well, let me strike that. Were you involved in the decision to pursue flight data associated with any planes that were purportedly owned by Mr. Epstein? MR. SCAROLA: I will allow Mr. Edwards to acknowledge whether he did or did not communicate about such matters with opposing counsel. But beyond that I would assert attorney-client and work-product privileges and instruct you not...
NOT A CERTIFIED COPY
1
2
3
4
5
6
7
8
9
10
11
12
13
14
15
16
17
18
19
20
21
22
23
24
25
1
2
3
4
5
6
7
8
9
10
11
12
13
14
15
16
17
18
19
20
21
22
23
24
25
Page 288
you spoken with Officer Recarey prior to his
deposition?
A. One time.
Q. And when was that?
A. 2008.
Q. What was the purpose of the -- let me
strike that. Did you initiate the conversation or
did he?
THE WITNESS: Answer?
MR. SCAROLA: You can answer that.
THE WITNESS: I did.
BY MR. CRITTON:
Q. Okay. What was the purpose of your
conversation?
MR. SCAROLA: To the extent that the
purpose of your conversation was unrelated to
any pending legal matter, including in
particular the claims against Mr. Epstein, you
may answer. To the extent that it had anything
at all to do with Mr. Epstein, you should not
respond on the basis of privilege.
THE WITNESS: Privilege.
BY MR. CRITTON:
Q. Did you ever speak with Chief Reiter at
any time -- well, let me strike that. You were not
Page 289
at his deposition, were you?
A. No.
Q. Okay. Have you ever spoken with Chief
F ... eiter at any time for any purpose as !t relates to
Mr. Epstein?
TIIE WITNESS: Answer?
MR. SCAROLA: Only to the extent that --
well, you asked specifically whether the
conversation related to Epstein?
TIIE WITNESS: Did the conversation occur
is the question.
MR. SCAROLA: Relating to Epstein. Read
the question back if you would, please.
MR. CRITTON: Let me rephrase it.
MR. SCAROLA: Okay.
BY MR. CRITTON:
Q. With regard to Chief Reiter, have you ever
spoken with Chief Reiter or now former Chief Reiter
from the Palm Beach Police Department for any
reason?
MR. SCAROLA: You can answer the "for any
reason" part.
TIIE WITNESS: No.
BY MR. CRITTON:
Q. Have you ever testified in a grand jury
Electronically signed by cynthia hopkins {601-051-976-2934)
Electronically signed by cynthia hopkins (601-051-976-2934)
Electronically signed by cynthia hopkins (601-051-976-2934)
...
NOT A CERTIFIED COPY 1 2 3 4 5 6 7 8 9 10 11 12 13 14 15 16 17 18 19 20 21 22 23 24 25 1 2 3 4 5 6 7 8 9 10 11 12 13 14 15 16 17 18 19 20 21 22 23 24 25 Page 292 communication, and by that I mean either a conversation or any writing with Mr. Scott Rothstein about the value of the J -- of the Jeffrey Epstein cases? MR. SCAROLA: You can answer yes or no. THE WITNESS: No. BY MR. CRJTTON: Q. Did you ever have a conversation or communication where Scott Rothstein was present and the value of the Epstein cases was discussed? A. No. Q. Did you ever have a conversation with other attorneys at RRA regarding the value of the J, of the Epstein cases that you had? A. Yes. Q. Okay. With whom? A. Russell Adler, Bill Berger. J believe that's it. Q. From, from your observations when you were at RRA, did it appear that certain individuals had access to Mr. Rothstein; that is, other lawyers in the firm had access to him? A. It appeared to me like nobody had access to him. Q. In the particular instance that you got Page 293 called up to his office, Mr. Adler was present along with Mr. Rothstein and either Mr. Nurik or somebody else who was.on the phone, correct? We already e,st<ihlish"rl thcit? A. Correct. Q. From your observations and or your conversations with Mr. Adler, did you get the impression that Mr. Adler could have or would have access to Mr. Rothstein? :MR. SCAROLA: By that I assume you mean unfettered access? MR. CRITTON: No,just easy access. Unfettered suggests someone can walk in and out of the office and you already told me it was a compound. Let me reask my question. BY MR. CRITTON: Q. From what Mr. Adler told you, if you had a conversation with Mr. Adler about a particular, whether it was an Epstein case or another case, was it your understanding that Jvfr. Adler had regular, some form of regular communication with Mr. Rothstein? A. No. Q. Okay. Did you understand that ...
NOT A CERTIFIED COPY
1
2
3
4
5
6
7
8
9
10
11
12
13
14
15
16
17
18
19
20
21
22
23
24
25
1
2
3
4
5
6
7
8
9
10
11
12
13
14
15
16
17
18
19
20
21
22
23
24
25
Page 296
A. J believe so.
Q. Were you still a State Attorney when
Mr. Jenne was indicted and then eventually ended up
in jail?
A. No.
Q. Were you in private practice at that
point?
A. Con-ect.
Q. But you lived then in Broward County, so
you followed the developments ofMr. Jenne's
downfall in becoming a convicted felon?
A. I was aware.
Q. All right. Was Mr. Jenne, would it be a
correct statement that Mr. Jenne and Mr. Fisten and
Mr. Roberts were all at the RRA finn when you
started in April of'09?
A. I don't believe so.
Q. Which one was there when you started?
When I say "there," was already employed by RRA when
you started?
A. I am not sure if any of the three were there
but perhaps all of them were there.
Q. All you !mow is at some point you came to
be involved with them as investigators?
A. Correct.
Page 297
Q. All right. With regard to Mr. Jenne, was
his office on the same floor as yours?
A. No.
Q. \1/here, \Vas his office in a.TJ.y \Vay near
Mr. Rothstein's?
MR. SCAROLA: What does any way near Mr.
Rothstein's mean?
MR. CRITTON: Same floor.
1HE Wl1NESS: No.
BY MR. CRITTON:
Q. Did it appear to you that -- well, let me
strike that. You said that Mr. Jenne had something
to do with investigation, correct?
A. Correct.
Q. Okay. Did he ever describe for you what
he did for the firm?
A. No.
Q. And I think you said, did you say what his
title was?
A. I didn't know his title. I don't know what
his title is now.
Q. Did you ever ask IV!r. Jenne why he was
asking you questions about the Epstein case or
engaging you in a dialogue regarding the Epstein
cases?
Electronically signed by cynthia hopkins (601-051-976-2934)
Electronically signed by cynthia hopkins {601-051-976-2934)
1
2
3
4
5
6
7
8
9
10
11
12
13
14
15...
NOT A CERTIFIED COPY 1 2 3 4 5 6 7 8 9 10 11 12 13 14 15 16 17 18 19 20 21 22 23 24 25 1 2 3 4 5 6 7 8 9 10 11 12 13 14 15 16 17 18 19 20 21 22 23 24 25 Page 300 represents multiple Rothstein related investors. He indicated in an article that RRA, slash, Rothstein had used the Epstein ploy as a showpiece, as a showpiece, as bait. That's, and the quote is, Epstein ploy, as a showpiece, as bait. That's the way he raised all the money. He would use cases as bait for luring investors into fictional cases. All the cases he allegedly structured were fictional. l don't believe there was a real one there. Okay. lfl asked you to assume that that quote is accurate from Mr. Scherer, would it be a correct, would it be a correct statement -- well, let me strike that. Were you aware that Rothstein and other individuals were using the Epstein ploy; that is, the Epstein cases in order to, as bait in order to raise money for, for the firm and Mr. Rothstein? MR. SCAROLA: I am going to object to the form of the question, but you can certainly answer it. THE WITNESS: Okay. I am going to answer it to the extent that l understand it. No, I was not aware that the Epstein cases were being used as a showpiece, as bait. But you are also Page 301 asked me to assume that the statement that you have injected as Paragraph 20 of the complaint is true and it begins with, or ends with I don't believe there \Vas a real one i.11 tl-iere, talks, speaking as to all the cases. And you know and I know that that statement is absolutely false in that you know each and every one of the claims that have been asserted against Mr. Epstein related to his molestation of children, they are all true including the three that I have against Mr. Epstein. So, if you're asking me to assume that this is it true, no, l did not know that they were being used for anything. BY MR. CRITTON: Q. Okay. Well, as to whether l\1r. Scherer w...
NOT A CERTIFIED COPY 1 2 3 4 5 6 7 8 9 10 11 12 13 14 15 16 17 18 19 20 21 22 23 24 25 Page 304 A. Weissing. Q. Or RRA, Mr. Howell, or Mr. Cassell have any interest in those cases? A. No. Q. At any time -- let me strike that. You are aware that Mr. Alfredo Garcia has pied guilty to an obstruction of justice charge based on the news? A. I don't know Alfredo Garcia at all. Q. Sony about that. The head of Alfredo Garcia. With regard Mr. Rodriguez, Alfredo Rodriguez, are you aware through news reports that he pled guilty to obstruction of justice? A. Yes. Q. At any time have you been given access to the pamphlet book and/or any of the yellow pages that have been referenced in the criminal indictment? MR. SCAROLA: I am going to instruct you not answer that question on the basis of attorney-client and work-product privilege. BY MR. CRITTON: Q. Has the, have you been, have you had any contact with the criminal defense lawyer for Mr. Rodriguez? MR. SCAROLA: You can answer yes orno. 1 2 3 4 5 6 7 8 9 10 11 12 13 14 15 16 17 18 19 20 21 22 23 24 25 Page 306 the information that is held by the FB1 which would include the pamphlet and the yellow, the pamphlet and the yellow pages, true? A. I have. Adam Horowitz has, and I may or may not have piggybacked his motion. But as sitting here right now, I, I don't remember drafting that motion. Q. Are you sure he hasn't piggybacked your motion? A. I'm not sure. If you show me my motion, I can tell you whether I drafted it or not. Q. Have you -- A. That, that was certainly an idea. Q. Have, have you also -- you have also served a motion to obtain FBI files that relate to Mr. Epstein; is that correct? A. Correct. Q. Okay. Have you spoken as a result of the motion that you filed, has the government, have you spoken with the United States Attorney's Office or representatives for the FBI with regard to the motion which you filed? MR. SCAROLA: Ob...
NOT A CERTIFIED COPY 1 2 3 4 5 6 7 8 9 10 11 12 13 14 15 16 17 18 19 20 21 22 23 24 25 1 2 3 4 5 6 7 8 9 10 11 12 13 14 15 16 17 18 19 20 21 22 23 24 25 Page 308 videotape deposition of Scott Rothstein. The time is -- THE WITNESS: Whoa, whoa. THE COURT REPORTER: Yes. Bradley Edwards. THE WITNESS: Please don't lump me in with that guy, man. MR. SCAROLA: This concludes the deposition ofMr. Bradley Edwards. THE VIDEOGRAPHER: Oh, I'm sorry. This concludes the deposition ofMr. Bradley Edwards. The time is 5:07 p.m. (A discussion was held off the record.) THE COURT REPORTER: Did you want to order this? MR. CRITTON: Ask me tomorrow. MR. SCAROLA: I will take a copy ofit. Let's stay on the record. We don't need to be on the video record but I want to make the statement that we would consider it entirely inappropriate for any portion of this deposition to be used for any reason whatsoever that is not directly connected with the prosecution of the pending claim against Mr. Edwards or the defense of the Page 309 counterclaims. Thank you. MR. CRITTON: Bye. MR. SCAROLA: Bye. (VVitness excused.) (Deposition was concluded.) Electronically signed by cynthia hopkins (601-051-976-2934) Electronically signed by cynthia hopkins (601-051-976-2934) Electronically signed by cynthia hopkins (601-051-976-2934) 1 2 3 4 5 6 7 8 9 10 11 12 13 14 15 16 17 18 19 20 21 22 23 24 25 1 2 3 4 5 6 7 8 9 10 11 12 13 14 15 16 17 18 19 20 21 22 23 24 25 Page 310 CERTIFICATE OF OATH 11--IE ST A TE OF FLORIDA COUNTY OF PALM BEACH I, the undersigned authority, certify that BRADLEY J. EDWARDS, ESQUIRE personally appeared before me and was duly sworn on the 23rd day of March, 2010. Dated this 5th day of April, 2010. Cynthia Hopkins, RPR, FPR Notary Public - State of Florida My Commission Expires: February 25,201 I My Commission No.: DD 643788 CERTIFICATE THE STATE ...
NOT A CERTIFIED COPY 10 11 12 13 14 15 16 17 18 19 20 21 22 23 24 25 1 2 3 4 5 6 7 8 9 10 11 DATE: April 5th, 2010 TO: BRADLEY J. EDWARDS, ESQUIRE c/o Jack Scarola Esquire SEARCY,DE~'J\~Y,SCAROLA, BARNHART & SHlPLEY, P.A. 2139 Palm Beach Lakes Boulevard WeSl Palm Beach, Florida 33409 IN RE: Epslein vs. Rothstein CASE NO.: 50 2009CA040800XX,'<XMJ3 AG Please take notice that on Tuesday, the 23rd of March, 2010, you gave your deposition in the above-referred matter. At that time, you did not waive signature. It is now necessary that you sign your deposition. As previously agreed to, the transcript will be furnished to you through your counsel. Please read the following instructions carefully: At the end of the transcript you will find an errata sheet. 1-'.s you read your deposition, any changes or corrections that you wish to make should be noted on the errata sheet, citing page and line number of said change. DO NOT write on the transcript itself. Once you have read the transcript and noted any changes, be sure to sign and date the errata sheet and return these pages to me. lfyou do not read and sign the deposition within a reasonable time, the originaL which has already been forwarded to the ordering attorney, may be filed with the Clerk of the Coun. If you wish to waive your signature, sign your name in the blank at the bottom of this letter and return it to us. Very truly yours, ~~~,LS Cynthia Hopkins, RPR., FPR I do hereby waive my signature. BRADLEY J. EDWARDS, ESQUIRE CERTIFICATE THE STA TE OF FLORIDA rrnTNTY nFPAT MRRAf'.H Page 312 Page 313 I hereby certify that I have read the foregoing deposition by me given, and that the statements contained herein are true and correct to the best of my knowledge and belief, with the exception of any corrections or notations made on the errata sheet, if one was executed. 12 Dated this __ day of _______ ~ 13 2010, 14 15 16 17 18 19 20 21...
NOT A CERTIFIED COPY Page 1 IN THE CIRCUIT COURT OF THE FIFTEENTH JUDICIAL CIRCUIT IN AND FOR PALM BEACH COUNTY, FLORIDA GENERAL JURISDICTION DIVISION JEFFREY EPSTEIN, vs. Pl ' t-'-F,... ~~aln~l~I, No. 502009CA040800XXXXMBAG SCOTT ROTHSTEIN, individually, and BRADLEY J. EDWARDS, individually, Defendants. I -------------------- 500 East Broward Boulevard, Ft. Lauderdale, Florida Thursday, June 14, 2012 0 -lA ~ m - 1°-~, ~ m .J. ":I a..ll • L • ...J I _t.J•ll. D E P O S I T I O N Of SCOTT ROTHSTEIN (Via Video Conference) Taken on behalf of the Trustee pursuant to a notice of taking deposition EXHIBIT G FRIEDMAN, LOMBARDI & OLSON 305-371-6677 5ed93085-0554-447f-bcdd-ca2d8fe941 di
NOT A CERTIFIED COPY 1 APPEARANCES: 2 LAW OFFICES OF TONJA HADDAD, P.A. by 3 Tonja Haddad, Esq. At1omey for the Plaintiff. 4 5 ATTERBURY, GOLDBERGER & WEISS, P.A., by Jack Goldberger, Esq. 6 Attorney for the Plaintiff. 7 SEARCY DENNEY SCAROLA ET AL, by 8 Jack Scarola, Esq. Attorney for the Defendant, Brad Edwards. 9 1 o MARC NURJK, P.A., by Marc Nurik, Esq. 11 Artomey for Scot1 Rothstein. (Appearing via Video Conference.) 12 13 U.S. ATTORNEY'S OFFJCE, by Laurence La Vecchio, Esq. 14 Attorney for the Departmen\ of Justice. 15 16 17 18 19 20 21 . 22 23 24 25 1 2 JNDEX Page WI1NESS DlRECT CROSS REDIRECT RECROSS 3 4 5 6 7 8 9 10 11 12 13 14 15 16 17 18 19 20 21 22 23 24 25 SCOTT ROTI!STEJN (By Ms. Haddad) 5 (By Mr. Goldberger) 92 (By Mr. Scarola) ]21 PLAJNTIFFS l 2 3 EXHIBITS 64 69 72 FOR IDENTIFlCA TION Page Thereupon: SCOTT ROTHSTEIN, was called as a witness and, having been duly sworn, was examined and testified as follows: THE WJTNESS: l do. MS. HADDAD: Good morning, Scott. How are you? THE W]TNESS: Good morning, Tonja. How are you? MS. HADDAD: Fine, thank you. Jt's nice to see you. THE WJTNESS: Good to see you, too. MR. SCAROLA: Mr. Rothstein,] don't know that you and] have met. J'm Jack Scarola, J'm representing Brad Edwards and ] know you know Brad who's to my immediate left. THE WJTNESS: Hey, Brad, how are you? Jack, good to see you. MR. SCAROLA: Thank you. MR. GOLDBERGER: Also present is another Jack, Jack Goldberger, and] also represent Jeffrey Epstein. To my right is Darryn lndyke -- THE WITNESS: Good morning, Jack. MR. GOLDBERGER: How are you today? And to my right is Darryn lndyke, who is Page 4 Mr. Epstein's in-house counsel. MR. lNDYKE: Good morning. THE WJTNESS: Good morning, sir. MR. NURJK: Good morning, everyone. MR. GOLDBERGER: Hi, Marc, how are you? MR. NURJK: Good. You'll be seeing my shoulder most of the day. MR. GOLDBERGER: Okay. ...
NOT A CERTIFIED COPY 1 2 3 4 5 6 7 8 9 different form than it ended because it started as bridge loans and things of that nature, and then morphed into the Ponzi scheme. But you are looking back into the 2005 time frame for the very beginning. Q. The 2005 time frame, that's when the bridge loans started? A. I can't be certain exactly what we were doing. I need to see all the documents to tell you what we were doing at what specific point in time. Q. What made you decide to start doing this? A. ] started doing it out of greed and the need to support the law finn, which was having significant financial trouble at the time. Q. And in 2005 had you moved over to 401 yet or were you still in the building where Colonial Bank was? A. ] don't remember. Q. Do you recall approximately how many attorneys you had working for you when it started? A. l do not. Between five and ten, Tonja. Q. Was it before you started acquiring attorneys like you were acquiring cars and watches? MR. SCAROLA: Object to the form of the ~ ~ 1 2 t 3 t 4 ~ i~ ~ 5 ii 6 R ~ 7 ~ 8 1, B 9 g ulO ;; 01 li p2 Jj ~ ll 1.) !114 ~ us !i H6 ~ p7 h0 !19 ;20 growth started," do you mean both the scheme - do you mean the scheme and the firm or either one or both? A. Both. Q. Do you recall approximately when you took the space in the 401 Building? A. l do not. Q. At the time everything imploded, how many partners did you have at the firm, do you recall? A. Are you saying partners and shareholders? Because remember, we had both, two designations. Q. 1 want to start with just attomeys that had -- not in your firm name but named as "partner" on the cards, for example. A. J'd have to see a list of all the employees. We had a bunch. Q. Do you recall about how many attomeys you had working there? A. Approximately 70. Q. In the year before, do you reca1 l how many you had? A. 1 do not. Q. So how many equity partners did you have or shareholders?...
NOT A CERTIFIED COPY [. l 2 3 4 5 6 7 8 9 10 11 12 13 14 15 16 17 18 19 20 21 22 23 24 25 Q. When you were hiring and bringing in all these new attorneys, did everyone come in as a partner? A. No. Q. How did you decide who came in as a partner and who came in as an associate? A. Depended upon their level of expertise, practice, book of business. 1t was a decision Stuart and ] made together on a case-by-case basis. Q. So you and Stu where the - were in charge of hiring? A. Stuart and l tried to consult on every hiring decision, yes. Q. Did you guys also decide salaries? A. l generally decided the salary and then Jet Stu know what 1 was going to do. And he would say if he thought it was okay or if he thought it was too much or too little, but l generally had free reign in that regard. Q. Did someone's book of business directly correlate to the salary that you would offer? A. That is a very broad question because it depends upon what other needs we had for that individual. Q. What do you mean by "what other needs"? Page 10 Q. Would you need to look at someone's book of business if they were coming in just solely to be a rainmaker for the finn prior to hiring them? A. I discussed it with them. There were not many people that ] recall that l actually looked at their nwnbers. Once David Boden was working for me I had him check people's nwnbers, but I rarely looked. l took most people's words for what they were generating. Q. My recollection is, you were always looking to bring in more people, to hire more people, some of us were somehow able to resist you while others were not. How would you decide who you were looking at to bring into your firm? A. We were trying to develop, on the legitimate side of the law firm, we were trying to develop real talent, real practice groups. l mean, Brad is a perfect example, great lawyer, got a great reputation. ~You know, it was our hope that, you know, he was goin~ ...
NOT A CERTIFIED COPY 1 2 3 4 5 6 7 8 9 10 11 12 13 14 15 16 17 18 19 20 21 22 23 24 25 I; g Q. Okay. When you were looking at peoole t<2 ~ 1 that time with Fanner and Fistos and Jaffe and ~ bring in to the finn to legitimize, as you said. Your ,. 2 Mr. Edwards. firm had a very unique area of practice and had a very i 3 Q. Do you know where Mr. Edwards was working unique environment to which to work. _How did you know ~ 4 5 when you first learned of him? or how did you come to decide what people may or may ~ A. l don't recall whether he was working for Tiot fit into that? ~ 6 someone or had his own practice, l don't recall. A Okay. Hang on one second. 1 think you just ! 7 Q. When did you first learn abou1 Brad? accidentally misstated my testimonY., ~ 8 A l don't remember the time frame. I was not bringing the peoJ)le in to ~ 9 Q. Do you recall when you first met with him " legitirm.ze the law firm. I was bringing them in to ~ 10 regarding a job? the legitimate side of the law firm. The bulk of the ~ 11 A. No. The easiest way to figure that out is law firm, despite the lack of financial success, was a ~ 12 to go look at his personnel file, jt will have the P. large group ofve:r; honest, hard working lawyers ij 13 notes saying when he met with me the first time. trying to do their best in difficult economic 114 Q. You don't have any recollection of your conditions. There were some that were obviously not i 15 first meeting with him? legitimate. And the way I decided to bring people in, I 16 A. No. As you know, l was hiring people left again, it's really everything I just told you. Are I 1 7 and right and l was also unfortunately very busy doing you looking for how 1 brought people into the Ponzi i 1 8 things 1 shouldn't have been doing, so l don't have a scheme? ff 19 specific recollection of when I hired him. I barely Q. No, right now l'm just asking about the firm D 2 0 have a ...
NOT A CERTIFIED COPY 1 2 3 4 5 6 7 8 9 10 11 12 13 14 15 16 17 18 19 20 21 22 23 24 25 unfortunately, you are taking a little tiny spot out of a very, very busy time period in my life and in the life of the :firm, so 1 can't tell you one way or the other. Q. 1 know you had a lot going on, J'm just trying to see if you remember anything specific about this. Do you recall what salary you had offered Brad to come join the firm? A. J do not. You have to just try to differentiate that what I knew then is a lot different than what I know now so ... Q. Meaning? A. Obviously meaning that at the point in time that I was hiring him or maybe a yeaT after, I would be able to tell you what I was paying him, but now it's insignificant. l don't remember how much I was paying him. Q. Did you learn about his book of business or know what kind of cases he was bringing in prior to -hiring him? A. J do know that he - I discussed either with Russ, well, ] know with Russ, and perhaps some other people, I knew about the Epstein case. Q. What did you know about it? ii " g 1 A. Epstein was a billionaire. I 2 Q. Okay. Did you know anything about the N 3 legitimacy or illegitimacy of the claims prior to ! 4 knowing he was a billionaire? ~ 5 A. I knew what 1 was told. 1 didn't check it I 6 out myself, but 1 trusted the people that told me. I 7 Q. And who to]d you? g 8 A. The only person J remember discussing it ~ F. 9 with. as J sit here today, is Russ Adler. But if I 10 Farmer and Jaffe and those guys were ~e at the ~ 11 time. 1 likely would have discussed it with them as ~ 12 yvell, i l' Q S .. h" ff __, . o were you aware 01 t 1is case before you ~ 14 made an offer to Brad to join the firm? !is A.~ i 16 Q. You said you didn't -- J don't want to 11 7 misquote you. You said you heard about it from other ~ 18 people, but you didn't do anything to know that I 19 personally. Was that before you made th...
NOT A CERTIFIED COPY 1 2 3 4 5 6 7 8 9 10 11 12 " ... .1.) 14 15 16 17 18 19 20 21 22 23 24 25 1 2 3 4 5 6 7 8 9 10 11 12 13 14 15 16 17 18 19 20 21 22 23 24 25 IT Q. You didn't keep track of it? ~ 1 !: A. l did not keep track of it. From time to 8 2 time Russ and the other guys in the tort group would i 3 tell me what was going on in certain cases, but until ~ 4 ] made a decision to utilize that file for an ille@l ff 5 ,, !1 purpose related to something illegal that I was doing B 6 along with my co-cons2irators1 1 just assumed my u 7 la~ers were going to work the case and eventually it I 8 ';,ould ho12efuJly work out well for the law firm. i 9 Q. At your firm, when e-mails would go out to ho ~ attorneys at RRA or all attorneys at RRA, were you fi11 part of that e-mail group? h2 ?. A. You are talking about all staff? ~13 ~ No, all it says is attorneys at RRA. " Q. !l 14 ii A. It's the e-mail group "attorneys"? ti 15 ~ Q. Yes. H6 A. Yes, J'm a part of that e-mail group. In Q. And 1 appreciate that you were very busy and b0 !! may not have read all of them, but you did receive D9 ii those e-mails when they would go around? Ii~, 20 A. Yes, and l tried my best to read them. ·21 Q. Okay. At what point did you decide to use 122 ~ this case to further your Ponzi scheme? i23 A. J don't remember the date, but I can give b4 F. you the circumstances, if you'd like. bs • Page 22 ~ .. ,-.... ~- Q. Please do. 1 A. The Ponzi scheme was running ve!}'. low on 2 capital. My co-conspirators and I needed to find a I 3 new feeder fund, new investment sources. We had a • 4 couple of very large, significantly wealthy potential I 5 investors out there. I was looking for something that 6 would have been very attractive. We had had a lot of 7 inquiry during the due diligence period with these ! 8 people that were doing due diligence on the putative 11: cases t...
NOT A CERTIFIED COPY 1 2 3 4 5 6 7 8 9 10 11 12 what was going on. And ] may have spoke to him, ] know I spoke to Russ, but l may have spoke to him as well within a couple of days just prior to this due diligence because ] was trying to at least get some information in my head that I could use when l was creating this story for the investors. Q. Scott, what's Q-task? A. Q-task is a web based software system that ] had invested $7 million in. Q. And what was the purpose of this internet system? A. To be able to communicate in a secure ~ ,, 1 ~ ~ 2 ?-: ! 34 ll a ~ 5 ! !i 6 ~ G 7 i 8 ~ 9 ho ~ 11 ii and with that, with the Q-task and the e-mails, did someone assist you with reviewing everything and Jetting you know what was going on within the groups? MR. SCAROLA: Excuse me, l'rn going to object to counsel's testimony. Object to the fonn of the question as leading. THE WJTNESS: 1 really don't even understand the question. Can you try to rephrase it for me, Tonja? BY MS. HADDAD: Q. Of course, 1 would. Did you keep abreast of everything that was ri 12 ~ J 13 fashion ai1d in a unique group fashion about specific ~ 1 _, going on in every practice group or was someone 1 4 files. I 14 through Q-task and e-mails, for example, or was ij 15 Q. So forgive me, we all know l'm not good with a 15 someone giving you information keeping you posted on 16 the computer. That was something that would be useful 116 what was going on within the practice? 1 7 within a law firm, why? ff 1 7 A. Well, as part of the tort group I had a 18 A. Because it allowed you to create groups and W 18 pretty good idea of what was going on there all the 19 have both general and private chats, organize data in ! 19 time just because of the significant amount of 2 0 a very unique fashion. That was, at least to our way I 2 0 interaction, both legitimate and otherwise, that l had 21 of thinking, would have been very, very he...
NOT A CERTIFIED COPY 1 2 3 4 5 6 7 8 9 10 11 12 13 14 15 16 17 18 19 20 21 22 23 24 25 1 2 3 4 5 6 7 8 9 10 11 12 13 14 15 16 17 18 19 20 21 22 23 24 25 ,' ~ had audio and/or video surveillance? We'll start with i) Ii 1 audio. fr 2 l: i1 A. I don't have a specific recollection of I 3 every place 1 had video and audio, but it was in - l ~~ 4 R had it set up so that in all of the common areas, fi 5 including our shareholder's lounge, we had -- 1 had B 6 ~ audio and video capabilities. ~ 7 ~ Q. When you say "capabilities," does that mean 9 8 l~ you didn't always turn it on or you just turned it on g 9 1i when you felt like it? no ii A. I turned it on when l felt like it, when 1 ~ 11 felt like seeing what was going on. l sometimes left h2 • t'Je screen up because l had fom computer screens on nl3 " my desk, 1 sometimes left the screen on with the video § 14 ;, of the reception area and some other general areas. ll15 H But unless I wanted to see what was going on or listen h6 ~ to what was going on, 1 didn't turn it on. It would ~ 17 ~ have been too distracting. ;18 Q. Did the attorneys know that this il9 surveil1ance existed? 120 A. You can see it in the -- it wasn't hidden, ij 21 you can see it. There were globes up in the ceiling ~22 all over the office. 123 Q. Did you have -you said --you didn't 24 answer this, you said you didn't recall. Did you have 25 Page 30 = any surveillance in the conference rooms? 1 A. No. 2 Q. Other than the com71on areas you just went i! 3 " i over, in the hallways and the reception -- did you I 4 have it in the hallways, is that a common - do you ~ 5 deem that a common area? I 6 A. All the hallways pretty much with the i 7 exception of a few blind spots, l can see all the I 8 hallways. I 9 Q. And this was on all three floors? 10 A. Yeah. For some reason l think we might 11 have taken some space o...
NOT A CERTIFIED COPY l 2 3 4 5 6 7 8 9 10 11 12 13 14 15 16 17 18 19 20 21 22 23 24 25 A. He had had significant - as you know, he I l know, having -- there were mixed reasons. For also had significant political connections and ~ 2 example, I -- are you talking about my Fort Lauderdale everyone who is not living under a rock knows l was I 3 police detail? doing everything] could to gamer significant ~ 4 Q. Yes. You had it at the office and at your political power. l! 5 home, correct? Q. ] think many people miss your parties. g 6 A. Yeah. There's a myriad of facts that But, with respect to Mr. Jenne and his @ 7 motivated me to do that. One was that I really wanted TI political connections, were you hiring him to utilize ~ 8 the security for the office. Two was, 1 was paranoid him with respect to any of the police department i 9 and this is in no particular order. Three was the investigations? You had stated earlier you had ~ l O Melissa Lewis murder that shook the entire law firm dealings with police departments. J don't want -- ! 11 and shook me tenibly. ] didn't want that to ever again, J don't want to put words in your mouth. You i 12 have to happen again. And four was, l wanted -- the said you had dealings going on with various police ~ 13 more iaw enforcement you have around, the agencies? I 1 4 more legitimacy it adds to you and your appearance to A. J had - I mean, we had a criminal defense t 1 s the community. So there were a multitude ofreasons. section in the law firm, so we had legitimate dealings I l 6 l mean, I hired certain law enforcement to with law enforcement. But I also had significant ; 1 7 work for me that were just friends of mine that illegitimate things with law enforcement that had I 18 were -- that needed additional money, so I wanted to nothing to do with Ken Jenne. § 19 make sure that they had money, both guys that did the Q. And how about with respect to fo...
NOT A CERTIFIED COPY 1 2 3 4 5 6 7 8 9 10 11 12 13 14 15 16 17 18 19 20 21 22 23 24 25 1 2 3 4 5 6 7 8 9 10 11 12 13 14 15 16 17 18 19 20 21 22 23 24 25 A. l talked to Russ Adler. l may have talke__g to some of the other lawyers. l flipped through ~ertain boxes in the file. Q. How did you get the boxes? A. I asked someone to bring them to me. Q. Do you know where those files were stored? A. 1 do not. Q. So you flipped -- sorry, please continue. Flipped through some files? A. ] flipped through some files. l had the files in my office. The day that the investor group came in, J actually had Ken Jenne and some others actuaiiy bring me some more of the boxes actually into -my office while the investors were there. l already had some of the boxes with me. Q. You say "Ken Jenne and others," who were tl1e others to whom you are referencing? A. l don't specifically recall who carried them in. l was very focused on my investors at that time. Q. Were any of the lawyers present with you when you were meeting with these investors? A. During the actual meeting with them, no. l recall tllat some of the lawyers may have met some of the investors, but I don't recall who. Q. Do you recall approximately when that Page 38 happened? A. No, it's the same dates that I was giving you before. Q. Okay. So you had, to further your Ponzi scheme, you had to familiarize yourself with this case so that you could speak intelligently with the investors; is that correct? A. Well, sort of because most of what I told the investors was all things that I was creating as I ~ Q. A bout this particular case, the Epstein case? A. Yes, from an investor - you have to understand how the inner working of the Ponzi scheme were crafted but - Q. Please tell me then. A. I'm telling you -- hang on. From an investor's standpoint2 the investor is simpl}'. looking for is the case believable. And once they get p~ that, is it o...
NOT A CERTIFIED COPY 1 2 3 4 5 6 7 8 9 10 11 12 13 14 15 16 17 18 19 20 21 22 23 24 25 R to you? E 1 if A. Because of who was on it. n 2 p, Q. Who was on it? f1 3 A. l don't recall, but l do recall saying to n 4 r; ., the investors -- l recall having a conversation prior K 5 ~ to the investors coming in with Russ Adler and Russ ll 6 • had told me that Epstein had flown Bill Clinton on his li 7 ~ plane, had flown Prince Andrew on his 12lane.~ " 8 " ,, ,, don't remember whether that was on any of the flig!1t li 9 ~ g manifests or not, but l left that to the investors' ~10 • imagination as to what they were being told about ~11 Mr. Epstein and these other famous people that were 112 cavorting with lV'.rr. Epstein and Jet them look at the ~l..., u .J file. 9.14 You have to understand from an investor's 115 perspective -- hang on. From an investor's !16 Ii Eers2ective the only thing that matters to the p7 gwestor is that it's a real case and that they can h0 verify that real dollars are being :Qaid. The fact h9 that it was a real case was evident, I had a lot of 20 boxes with real :rzleadings in it and a lot of other 21 information in it. The fact that there was real money 22 being :rzaid was a fiction that was created by me and my 23 -Zo-conspirators1 eveaone from bankers, to com12uter 24 ieople. So the a~tual role of the case, and I want to 25 Page 42 A. I went back to selling the Ponzi deal. Q. And did you sell it? A. I believe I did. You'd have to look at the actual settlement documents to see ifl put one together for that, but I'm pretty sure we did. Q. Do you recall if the investors asked you for any additional information or any additional documentation? A. I don't recall one way or the other. Q. After this initial meeting with the investors, did you give any direction regarding this particular case? A. To whom? Q. To any of the attorneys working on the Epstei...
NOT A CERTIFIED COPY 1 their book of business. This being said,] was 2 bringing in )egitimate Ia~ers to fonn legitimate 3 ..eactice irrouns to practice legitimate law, having 4 rothing to do with the Ponzi scheme. 5 Q. During the year 2009, were there any, to 6 your knowledge, any big settlements of any cases at 7 RRA? 8 A. To the best ofmy reco1lection, no. We had 9 a dismal year. 10 Q. The year 2009 was just dismal across the 11 board? 12 A. Some people did better than others, but yes, 13 overall it was for a finn of 70 lawyers, it was 14 dismal. 15 Q. So there were no big wins coming into the 16 finn as far as a financial windfall other than from 17 your other businesses? 18 A. The only significant capital coming into the 19 finn was money my co-conspirators and 1 were stealing. 20 Q. Was there any particular practice group that 21 you can remember that had a particularly non-dismal 22 year in 2009? 23 A. Mr. Nurik had a good year. 24 Q. Do you recall what the gross revenue was 25 from legitimate sources in 2009? Page 46 '" a " i( ll. 1 ~ 2 it ti i! t 3 ij 4 g 5 i l: 6 g e I 7 , 8 I ~ 9 " ~10 • ~ 1 1 r~2 9 ~ 13 i14 h5 i16 ~ ~ 17 ~ - ~18 !, ~19 ~ ~20 121 p2 j23 I 24 ·25 Q. For the most part. What wasn't fronted by the law firm? A. ] recall there being a couple of agreements that various tort lawyers had with certain clients where they were going to assist in helping to pay the costs. All the other costs would have been paid by the law firm, both through legitimate and illegitimate means. Q. So when you say by "illegitimate means," where would the illegitimate means money come from? A. It came from the Ponzi scheme, and all the tentacles of the Ponzi scheme, other illegal activity. Q. Such as? A. Things 1 was doing with law enforcement, things l was doing in politics, things that I was doing with organized crime, things ] was doing with politicians, judges, othe...
NOT A CERTIFIED COPY 1 2 3 4 5 6 7 B 9 10 11 12 13 14 15 16 17 1B 19 20 21 22 23 24 25 1 2 3 4 5 6 7 8 9 10 11 12 13 14 15 16 17 18 19 20 21 22 23 24 25 " of 2009 about the Epstein meeting and some additional investigation into the Epstein case. Does that refresh your investigation as to when you met with the investors in the Discala/Clockwork Group? A. lt does not. The best thing to refresh my recollection as to when l met with them would be to see the deal documents. Q. Okay. l unfortunately don't have those. Do you recall if you took Discala and his other investors to a football game in 2009? A. Sure, l did. Q. Okay. Would that be around the time you were trying to get them to invest in the case? A. lt would have been around the time] was trying to get them to invest in general. lt's may have been around the time that l was showing them the Epstein file. Q. Did you show them any files other than the Epstein file? A. ] may have. l don't have a specific recollection one way or the other. Q. You testified earlier that you had over a dozen boxes brought to your office that were related to the Epstein case. Page 50 ~ 11 1 fi ~ 2 " ~ 3 I 4 I 5 i 6 ~ a 7 ~ ~ B I 9 • ho 111 h2 lu h4 h5 H16 In hs u 919 ~20 21 22 23 24 25 A. I don't recall. Q. Did you check? A. l don't remember one way or the other. 1t was insignificant to me, Q. Well, then explain to me. You testified earlier that what was important to the investors to see is that there was a real case, correct? A. Yes. Q. What did you look at or show them -- what did you look at, first of all, to see if it was, in fact, a real case? A. l knew it was a real case. Q. How did you lrnow? A. Because my lawyers told me it was a real case. l believed them. Q. What lawyers told you that? A. l already told you it was a mixture of Russ and Jaffe and Fistos and Farmer and Mr. Edwards. mean, l knew it was a r...
NOT A CERTIFIED COPY 1 2 3 4 Ii ii i~ A. No. t 1 case or any communications -- Q. Who is Cara Holmes? I 2 A. 1 may have. A. Who is who? ~ 3 Q. Do you recall when that -- Q. Cara or Cara, C-a-r-a, Holmes? i 4 A. 1 may have. 5 A. To the best of my recollection, she was a ~ 5 Q. Do you recall when that may have happened? fi 6 former FBl agent or maybe JRS agent. ] don't know. I 6 A. l do not. 7 She was a former federal agent. ~ 7 Q. Do you recall the first time you looked at Q. Did you hire her to work for you? ~ 8 the flight manifest to which you referenced earlier? 8 9 10 A. It was either JRS or FBI. i 9 A. Prior to the investors coming in. ] don't Q. Did you hire her to work for you? ij 10 remember the date. 11 A. Yes, I hired her at the suggestion ofKen i 11 Q. Did you instruct anybody, to further your 12 Jenne. ;, 12 Ponzi ~cheme, to investigate or check into anyone 13 Q. For what pui µose? ~ 13 whose name was listed on the flight manifest? • 14 A. To work in the group that he was overseeing. !l 14 A. 1 may have, but with this clarification." If 15 Q. So what did she do for RRA while she was i 15 l instructed someone to look into something, 1 did it 1 6 there? ~ 16 without that person knowing that 1 was involved in a A. 1 don't remember. i 1 7 Jonzi scheme or that what they were doing was illegal 17 18 Q. Did you ever mention her to your potential g 18 and it was just to get me additional information to 19 investors from the Clockwork group? S 19 help with my sale of the fake settlements. 20 A. It's a possibility because, as] was j 2 0 Q. So it was to further your-~ 21 building the Ponzi scheme, I frequently referred to ~ 21 A. So 1 may have asked someone -- l may have 2 2 the fact that we had former state and federal law D 2 2 2 3 asked someone to get me some additional information, 2 3 enforcement working for us and on our investigative ~ but as l sit here today, l don...
NOT A CERTIFIED COPY 1 2 3 4 5 6 7 8 9 10 11 12 13 14 15 16 17 18 19 20 21 22 23 24 25 1 2 3 4 5 6 7 8 9 10 11 12 13 14 15 16 17 18 19 20 21 22 23 24 25 Pi July 22nd and 23rd there were numerous e-mails sent 1t 1 ft about the meeting. It was almost an all-hands-on-deck ~ 2 ~ type meeting where everybody needed to attend. lt was r; 3 ti labelled the Epstein meeting with an Epstein i 4 & conference room reserved. l 5 µ A. Yes. n 6 i! Okay. What's your question and I will tell i 7 you. I 8 MR. SCAROLA: First l'rn going to object to E 9 " counsel's testimony, but let's hear the question. ho ll BY MS. HADDAD: f 11 Q. The question is, does that refresh your li 12 ~ recollection as to whether or not this meeting took p 3 • place? p4 A. To the best of my recollection, I actually n15 had introduced some of the investors to some of the f16 people working on the Epstein case, and that is likely 07 fil the meeting that you are referring to. But for the p0 life ofme, I don't have a specific recollection of fl 19 li it. po Q. But it could be the meeting where you introduced the Epstein litigation team to your Ponzi g P, 21 122 investors? i23 ij MR. SCAROLA: Excuse me, I'm going to p4 object to the form of the question. It misstates the '25 Page 58 prior testimony. It has no predicate. 1 BY MS. HADDAD: I 2 Q. That could have been the meeting in which I 3 you introduced the Ponzi investors to people working 4 on the Epstein case? ~ 5 :MR. SCAROLA: Excuse me, counsel. The i 6 !i testimony was that there may have been a meeting at l 7 which investors may have been introduced to some Ii 8 ~ people working on the Epstein file. And your efforts L~ continuously to mischaracterize the prior testimony are highly improper. I object. li Dl BY MS. HADDAD: b2 Q. Scott, ~id you or did xou not say that you h3 introduced some of the investors to some o...
NOT A CERTIFIED COPY * t 1 2 3 4 5 6 7 8 9 10 11 12 1 ., .l.) 14 15 16 17 18 19 20 21 22 23 24 25 1 2 3 4 5 6 7 8 9 10 11 12 13 14 15 16 17 18 19 20 21 22 23 24 25 know this is a real case? So J was finally able to say this is how you know, here is a case file. 1 may have, 1 don't remember specifically one way or the other, but l may have utilized actual 2l aintiff names from the cases filed, but 1 may have made them UQ. 1 have no specific recoil ection one way or the other. l J:VaS totally geared toward simEIY getting the investor mone):'. into the Ponzi schem!t. Q. Were you aware that the day after this meeting took 2lace on July 24th, 2009i a new federal complaint was filed against Epstein with one of the same plaintiffs that was already pending in state court? A. I don't know that l was aware of that or not. If they were filing it, someone may have told me. ] don't recall one way or the other. Q. Did you ask anyone to file it to further your Ponzi schemeJ A. Noi] don't remember doing the!!.. Q. Do you recall any situation where you - A. You do realize - Tonja, hang on . ...Li.Y.a want to make sure this record is clear. Other than , Russ Adler, the people that were involved in the E2stein case had absolute!:)! nothing to do with the Ponzi scheme. Page 62 Q. Directly? A. _or indirectly. They had nothing to do with it. __. Q. Yet ti1ie file was used for you to further your Ponzi scheme. l'm not saying that they gave it to you to use for the Ponzi scheme; I'm asking, you used their case. I'm not - the question is you used the case? A. ] took advantage of some goodi innocent people for my own and my co-conspirator's illegal purposes. Mr. Edwards is one of them, and for that ] am sorry, Brad. Q. Did you ask anyone involved in the Epstein case to fiie a federal complaint? MR. SCAROLA: Objection, repetitious. THE WITNESS: Without seeing a document, Tonja, I can't tell you one w...
NOT A CERTIFIED COPY 1 2 3 4 5 6 7 8 9 10 11 12 13 14 15 16 17 18 19 20 21 22 23 24 25 '.J 1 from federal court? li 2 A. l'm certain] did, Tonja. ] don't have a R i; 3 specific recollection of getting the one pertaining to ~ 4 this. ] don't even know if they sent it to me. ] I 5 would imagine they'd send it back to Mr. Edwards. li 6 Q. The filing attorney? ( 7 A. ] suspect, unless the PACER system is a ~ 8 registered on my name, then maybe it comes to me, but ll ff 9 l am completely guessing. address from your firm; is that correct? A. Yes. Q. And were you filing any cases back in 2009 in federal court? Do you remember how PACER works? MR. SCAROLA: Which question would like answered? THE Wl1NESS: I don't remember. MR. SCAROLA: Objection, compollild. BY MS. HADDAD: Q. Do you remember how PACER worked when you ! 10 Q. But based upon the e-mail comnnunications of were filing a case, Scott? A. l actually never actually did the actual electronic filing procedure. J had people that did that. 1 knew that we could file electronically. Q. Do you know the purpose of your using your e-mail address when you were filing electronically in federal court? A. l guess so you can get a receipt, but I have no idea. Q. Did you ever receive an e-mail from federal court in your e-mail address that showed that a document had been filed with the stamps that you see on the top of that one? MR. SCAROLA: Counsel, are you attempting -- 111 July 22nd and the meeting occurring on July 23rd, this ~ 12 complaint was filed the day of this meeting; is that ij 7 3 correct? i ~ 4 A. Okay. But here is the problem with your ; 15 question, 1 don't remember whether or not there ~ 16 actually was a meeting. ] said there may have been, IT ~ 1 7 and 1 don't have an independent recollection of this i 18 being filed. l do not have an independent ~ 19 recollection of whether I told someone to file this. u ~ 20 And...
NOT A CERTIFIED COPY 1 2 3 4 5 6 7 8 9 10 11 12 13 14 15 16 17 18 19 20 21 22 23 24 25 1 2 3 4 5 6 7 8 9 10 11 12 13 14 15 16 17 18 19 20 21 22 23 24 25 BY MS. HADDAD: Q. Or IRS. We'll use the blanket term federal agent. ls that a fair assessment? A. Yes. Q. Thank you. Do you recall when you hired her to work for you? A. J do not. Q. Was it in 2009? A. J don't have a recollection one way or the other. Q. Okay. Have you ever seen this e-mail before? A. J saw it when l was reviewing your exhibits. Before that I have no independent recollection of having seen it. I'm not copied on it so ... Q. Did you ever have any communications with Ms. Holmes about people that were close to Mr. Epstein? A. I do not remember. Q. You stated earlier that you knew that Mr. Epstein was a wealthy man. ls that a fair statement? You q1Hed him "collectible," was that because he had money? . -MR. SCAROLA: He called him a billionaire Page 70 too. MS. HADDAD: Billionaire. THE WITNESS: I knew he was a billionaire. BY MS. HADDAD: Q. Do you have any independent recollection in the month of July 2009 of this case being intensified in any way such as going after those close to Mr. Epstein? A. I don't remember that one way or the other. Q. If you knew that Mr. Epstein was a billionaire, do you have any recollection of asking someone to investigate those close to Mr. Epstein to further your Ponzj scheme? A. 1 don't have an independent recollection of that one way or the other. Q. Do you recall if you ever directed the depositions to be taken of the people who were listed on the flight manifest that you saw? A. I don't recall one way or the other. I may have told the investors that I was going to take the depositions without ever intending to take them, but 1 don't recall one way or the other. Q. Are you familiar with a gentleman by the name of Mr. Rodriguez, Alfredo Rodriguez? A. No. Page 71 1 2 i ...
NOT A CERTIFIED COPY 1 2 3 4 5 6 7 8 9 10 11 12 13 14 15 16 17 18 19 20 21 22 23 24 25 1 2 3 4 5 6 7 8 9 10 11 12 13 14 15 16 17 18 19 20 21 22 23 24 25 A. What does it say? Say it again. Q. It says, "The first deposition occurred on July 27th," correct? A. Yes. Q. Some three days after the federal complaint was filed, correct, that we referenced earlier? A. That's correct. Q. And Paragraph 6 clearly delineates that in August 2009 a phone call was received by the cooperating witness that explained that this Mr. Rodriguez had a list of other purported victims or contact information for people who Mr. Edwards could aiso potentiaJ1y bring iawsuits for - on behalf of; is that correct? A. ] don't lmow one way or the other. You know, Tonja, just so this record is clear, you know, as l'm sitting here,] have a vague recollection of perhaps Ken Jenne coming, talking to me and telling me that someone in my office was going to cooperate with someone in this investigation. But for the life of me,] can't be certain of that So much time has passed, but as l'm reading this, and it could be completely umelated to this, ] just want to make sure the.ret9rd is _a hundred percent clear, it's possible that K~n J ellf)e discussed that with me, but l don't Page 74 know who it was. Q. You are testifying that you didn't know it had anything to do with the Epstein case, as you sit here now, you don't remember? A.· ·No, nci, l don't have a specific recol:lection, and ] want to just make sure so I answer all your questions completely, is that as l'm sitting here my recollection was refreshed that] have a vague recollection of having a conversation with Ken Jenne about the fact that someone in our office was going to cooperate as a confidential informant for some law enforcement agency, I just can't remember if it was the Epstein case or not. Q. Do you recall what you said to Mr. Jenne about that? A. No. ...
NOT A CERTIFIED COPY 1 work hours or after work hours? ~ 1 Ponzi scheme investors? C 2 3 A. Both. ~ 2 A. Not really. ~ Q. Did you always meet with them in your office or did you do it more socially down at Bova or elsewhere? fi 3 Q. Would it have given more legitimacy to your 4 5 i 4 allegation that it was a good case in which they ii 5 should invest? 6 A Both. ~ 6 A. In the way that] was selling the Ponzi 7 8 Q. But with this particular case, do you recall meeting them at least one time in your office where they could look through the files? I 7 settlements, it would have likely been overkill. 9 j 8 Q. So did you ever instruct them not to speak ~ 9 to the press about the case? 10 A. Actually, that group of investors were looking at a lot of different cases or at least multiple different cases that we were attempting to iure them into the Ponzi scheme utilizing, so J met i 1 0 A ] don't recall that either one way or the 11 i 11 other. 12 13 14 15 16 17 18 19 with them on multiple occasions, both in my office and at restaurants. Q. Who is Mike Fisten? A. Mike Fisten was a law enforcement officer of some type that I hired. Q. Why did you hire him? h2 ff p3 g: !16 !17 h8 ~ Q. ]fit had gotten out there that the cases had not, in fact, settled, as you vvere claiming when you were selling the settlement, would that have hindered your case, your Ponzi investor's case? A Not really because they would have no way of knowing if] had created a fake plaintifl's name. ] mean, there could have been something in the news that -- and] don't know that there was -- there could p9 u 2 0 have been something in the news that says none of this il 20 A. He was a Ken Jenne suggestion. 21 Q. And were you hiring him to start up your company with Mr. Jenne, as you indicated earlier? ll 21 settled. And 1 just simply would have created a fake ~ 22 23 i 22 name with my co-conspirators, created a fake se...
NOT A CERTIFIED COPY 1 2 3 4 5 6 7 8 9 10 11 12 13 14 15 16 17 18 19 20 21 22 23 24 25 have? !! 1 A. You said "still require," which would have ~ 2 meant that J testified -- f 3 Q. Sony. ll 4 A. -- previously that it was requiring them. ! 5 Q. Did you require attorneys at your firm to ~ 6 attend your fundraisers? ~ 7 A. J asked them to, 1 urged them to, l tried to ~ 8 cajole them into coming, but it wasn't an absolute f 9 requirement. I 10 Q. Do you recall between April and July of 2009 I 11 how many fundraisers you would have had? i 12 A. 1 do not. !13 Q. Did you have fundraisers anywhere besides I 14 your home in 2009? B 15 A. 1 probably did, but 1 don't recall without ~ 16 seeing the documents. If you have the invitation or ! 1 7 the e-mails, that would help me. h 8 Q. Did you hold fundraisers at your office in ; 19 2009? i20 A. l may have. That wouldn't have been ff 21 unusual, but 1 don't have a specific recollection. 12 2 Q. Did you ever meet any of the plaintiffs in j 2 3 the Epstein case? D 2 4 A. ] don't have a specific reco1Jection of i 2 5 Q. When did you hire him? A. 2008 or 2009. ] don't have a specific recol1ection. Q. Jfyou hired lawyers who didn't have a book of business, what kind of practice did they do at your office? A. Jt depended upon the lawyer. 1 would have tried to get them to work with other lawyers in an area that they either were proficient in or wanted to become proficient in. Q. Okay. You had a meeting at your office during which you were asking about information regarding referring attorneys, attorneys who had referred business to the firm. Do you know what J'm talking about? I believe it was back in December of '08 or early 2009. A. The way you are characterizing that meeting, 1 had a lot of meetings like that. Q. What was the purpose of those? A You are going to have to be more specific for me, Tonja. Q. Let's start generally then. What was ...
NOT A CERTIFIED COPY 1 2 3 4 5 6 7 8 9 10 11 12 13 14 15 16 17 18 19 20 21 22 23 24 25 i had to have Curtis Renie or Bill actually come into my " 1 " I' office, set up a special icon to allow me to do that. f 2 It was a real pain, so it was rare. I 3 Q. Who else attended the meetings that you had i 4 u with the Clockwork group with respect to the investors ~ 5 in the Epstein case? , 6 A. There were multiple meetings with what I'll I 7 ~ call the Clockwork investors at various points in e 8 u !! time. A variety of people came in and out of the ~ 9 " !i meetings. Some of the meetings occurred down in Bova. po Other people came up to the meetings. Some of the 111 meetings involved Michael Szafranski, our fake h2 L~ independent verifier. Some of the meetings may have 3 .l .J involved bankers and the like. 1 cannot tell you ~14 specifically who was at those meetings. !15 ii Q. The specific meetings that we are talking ;, 16 i about with - where you left the boxes at your office, p7 do you recall who else was there with you at that p8 " meeting? pg A. 1 only remember there being a handful of 120 people from the investment group and myself. I don't ~21 ~ recall -- and l remember the guys bringing the boxes p2 the down, but they didn't stay for the meeting. There !23 may have been other people there, I don't recall one 124 way or the other who it was. 25 Page 86 where we owed 20, $30 million in Ponzi payments out and she needed to write a check for even $5,000, she probably would have checked with me on that. So substantial and whether or not she would have checked with me depended upon the circumsta11ce at the time. Q. You stated earlier, and l think 1'11 get this quote right, that 2009 was a dismal year; is that correct? A. For the legitimate law firm business, it was a dismal year. Q. So in the months immediately preceding the dissolution ofRRA, July to October of 2009, wh...
NOT A CERTIFIED COPY 1 2 3 4 5 6 7 8 9 10 11 12 13 14 15 16 17 18 19 20 21 22 23 24 25 A. Did Wayne Black work for Ron Cacciatore? Q. Are you aslcing me -- A. l'm asking anyone in the room who wants to talk to me. Q. ] love to talk to you, but 1 don't know the answer to that question. He might have. Brad might be able to tell you. MR. EDWARDS: No. THE WITNESS: When you said Wayne Black's name again and that 1 hired rum to do something, l seem to think that he may have been associated in some way with Mr. Cacciatore, but J'm not sure one way or the other. ] don't remember whether or not 1 met Mr. Black, it's possible l did, it's also possible ] did not. And 1 don't have an independent recollection ofretaining him to do anything or whether 1 was part and parcel of the decision if we did, in fact, retain him, whether l was part and parcel of the decision to retain him. BY MS. HADDAD: ~ 4 ~ 5 il 6 ~ 7 ~ 8 1: ~ 9 ~10 ijll a P.12 H p3 h4 h5 h6 117 l 18 H ~19 ho l' Q. Traveling out of state for depositions for ~ 21 the particular cases, did you have to approve that? ij22 A. 1t would depend upon who the lawyers were, P, 2 3 ,t the significance of the expense. 1t would have been ~2 4 case by case. J certainly would not have been ~ 2 5 [Short recess taken.] FURTHER DJRECT EXAMJNATJON BY MR. GOLDBERGER: Q. All right. Mr. Rothstein, Jack Goldberger, I'm going to ask you some questions now. You testified tlrnt you knew Jeffrey Epstein was a billionaire. You did testify to that today, correct? A. Yes. Q. Okay. Tell me how you knew that. How did you know that Mr. Epstein was a billionaire? A. Russ Adler told me. I looked him up on the internet. Q. What did you look on the internet about Mr. Epstein? A. 1 don't recall, but l remember looking up an seeing that he was very wealthy, that he was a billionaire. Q. Okay. So as far as learning that Mr. Epstein was a billionaire, you learned via ...
NOT A CERTIFIED COPY 1 2 3 4 5 6 7 8 9 10 11 12 13 14 15 16 17 18 19 20 21 22 23 24 25 1 2 3 4 5 6 7 8 9 10 11 12 13 14 15 16 17 18 19 20 21 22 23 24 25 from speaking to Mr. Adler could bring in a significant amount of money to the finn. Q. At that time Mr. Adler was one of your co-conspirators in the Ponzi scheme; is that correct? A. By this time, yes, sir. Q. Okay. When did Mr. Adler become a co-conspirator in your Ponzi scheme? A. ] don't recall the specific date. Q. Was it before or after Mr. Adler recommended that Brad Edwards be hired at your firm? A. Before. Q. So before Brad Edwards was hired at RRA, Russeii Adler was a co-conspirator of yours in t'ne illegal part of the RRA firm; is that correct? A. Yes. Q. T11en after that time you hired - Mr. Edwards was hired after Adler was your co-conspirator? You are laughing, you are smiling, why is that, sir? A. Because when you say "RRA" that way, the speaker sounds, it sounds like you are roaring. Q. Okay. I'll just say Rothstein, how about that? You know what l'm talking about ifl just say Rothstein. A. RRA is fine. 1 ,, 2 E 3 h li 4 ~ 5 g ll 6 ; 7 fi 8 t, 9 ii. NlO 111 h2 ~ 13 i14 hs h6 b7 818 h9 i20 121 fi n2 i23 i24 125 u 94 1 Page Q. What did Adler tell you about the Epstein case that Edwards had at the time you were contemplating hiring him to become a member of the Rothstein finn? A. He told me that it was a huge case involving a billionaire pedophile and that it was a winner. Q. Did you, when you heard that, did you think that that was a case that could become part of your Ponzi scheme? A. No, l actually thought of it as a way to earn legitimate money to help me out of the Ponzi scheme. Q. So at u½e time you hired Mr. Edwards and you were talking to Adler about Edwards, you were trying to get out from under the Ponzi scheme? A. 1n the bulk of2009 l was praying for some sort of legit...
NOT A CERTIFIED COPY l 2 3 4 5 6 7 8 9 10 11 12 13 14 15 16 17 18 19 20 21 22 23 24 25 1 2 3 4 5 6 7 8 9 10 11 12 13 14 15 16 17 18 19 20 21 22 23 24 25 together possible that l gave Russ the okay to hire him before, I just don't have a specific recollection one way or the other. Q. At some point, I take it, you learned, whether you sat in on a meeting when Mr. Edwards was hired or whether your co-conspirator hired him, at some point you learned that Mr. Edwards, in fact, had been hired by the firm; is that correct? A. I'm certain that I gave the final okay to hire him. Q. Okay. When you were giving the final okay to hire him, I assume there had to be discussion of the money that he was going to be paid, correct? A. With somebody, yes. Q. Certainly with Mr. Edwards, right? 1 assume he wanted to know how much he was getting paid. A. Yes, but I don't have a specific recollection of whether I discussed that with him or whether l authorized Adler or maybe even Rosenfeldt to discuss it with him. 1 don't recall. Q. Do you have the slightest idea how much money Mr. Edwards was paid when he first joined the firm, what his salary was? A 1 don't have an independent recollection. Q. Generally someone like Mr. Edwards at his Page 98 level of accomplishment and his age, you know what the general salary would have been at your firm? A. It didn't work that way. Q. 1 see. Tell me how it worked. A. lt's a case-by-case basis. Q. Te]] me how it worked. A. Case-by-case basis. Q. And how did you make that detennination on a case-by-case basis? A. Actual book of business, potential book of business, potentiality for growth, character, what he brought to the table, and obviously a function of how much money we had available at the time. Q. Okay. And you don't have any recollection of the machinations that occurred in determining what Mr. Edwards salary would be, correct? A. 1 do not. Q. But certai...
NOT A CERTIFIED COPY 1 2 3 4 5 6 7 8 9 10 11 12 13 14 15 16 17 18 19 20 21 22 23 24 25 1 2 3 4 5 6 7 8 9 10 11 12 13 14 15 16 17 18 19 20 21 22 23 24 25 trying to make money. I. 1 Q. And these young lawyers, would you consider ~ 2 Mr. Edwards to be a young lawyer or a middle-aged ~ 3 lawyer? i 4 A. Young lawyer. K 5 ~ Q. Okay. Was he one of young lawyers that came Il 6 to these fundraisers at your home? ~ 7 ~ A. 1 don't recall whether he was there or not. f 8 ii 1 recall him being arsome, but I didn't know ifhe 1 9 f; was at all of them. ho Q. Okay. You do recall him coming to some of 111 the fundraisers, though, correct? p2 A. 1 recall him being at my home. it may have P3 li been for firm parties or other parties, it may have jl4 been for fundraisers there. 115 Q. And that was during the time period that the ~16 R Ponzi scheme was still going on, correct? n7 M A. Yes. li 18 § Q. Did Adler ever the tell you about any h 9 discussions he had with Brad Edwards about the illegal 120 ~ part of the operations at Rothstein? ra 21 ~ A. Can you reask the question, please? u22 Q. Sure. Sure. H23 6 Did Russell Adler ever tell you -- Russell tll; 2 4 Adler is your co-conspirator, we've established that. . 2 5 Page 102 !i Did Russe]) Adler in the furtherance of your 1 conspiracy ever tell you he had discussed with Brad 2 Edwards about the ilJegal activities at RRA? 3 A. No. 4 Q. NoW,j'.OU testified when asked about whether 5 !he press -- if _l'.OU were involved in asking the press ~ 6 G to run with the E:gstein stoa, you said something to K 7 the effect, "the wax l was selling the Ponzi scheme it "I : would be overkilJ." I didn't understand your answer like you 10 didn't understand some of my questions, so I'd like ft 11 you to kind ofte]J me what you meant by that. 1 12 A. ] was selling purportedl:}'. confidential I ~! settlements. Confiden...
NOT A CERTIFIED COPY 1 2 3 4 5 6 7 8 9 10 11 12 13 14 15 16 17 18 19 20 21 22 23 24 25 1 2 3 4 5 6 7 8 9 10 11 12 13 14 15 16 17 18 19 20 21 22 23 24 25 Q. Okay. And do you remember what Adler told you specifically about the Epstein case that helped you have a basis of information to sell it to the investors? A. Other than him telling me that it was a billionaire pedophile, other than him telling me about the flight manifest,] don't have a specific recollection of what else he told me. Q. Did you actually look at the flight manifest at sometime, Mr. Rothstein? A. Yes, sir. Q. And what was it about those flight manifests that you f eh would heip you pitch i.he Epstein case to the investor? A. ] don't remember who specifically was on it, but] remember it looking juicy. Q. You don't know who was on it? A. ] don't recall. Q. Did you add any names to that manifest at any time? A. ] had - you mean physically write names on there? Q. Any way you want to interpret - did you -- not physically write any names on the manifest, but did you tell the investors that there were names on Page 106 the manifest that were actually not on the manifest? A. 1 told the investors that there were other people that appeared on manifests,] don't recall whether it was that manifest or other manifests, and I got the names of those people from Russ Adler. Whether or not they actually appeared on the manifest or another manifest, I do not know. Q. What names did you get from Russ Adler? A. Russ Adler told me tbai Bill Clinton flew on Mr. E2stein's Qlane and that Prince Andrew flew on Mr. Epstein's plane. Q. And is it your testimony today that you never looked at the manifest to see whether Bill Clinton or Prince Andrew's name were really on the man if est that you were going to use to pitch the investors? A. Jt was my understanding they didn't have all the manifests. Q. Okay. Did you ever ask for the manif...
NOT A CERTIFIED COPY 1 2 3 4 5 6 7 8 9 10 11 12 13 14 15 16 17 18 19 20 21 22 23 24 25 1 2 3 4 5 6 7 8 9 10 11 12 13 14 15 16 17 18 19 20 21 22 23 24 25 A. ]fyou are including within that me walking past Brad in the hall and saying, "Hey, Brad how are you? How is the Epstein stuff going?" Then it's very likely that l talked to him about it in that manner. But l have no specific recollection one way or the other as to having any lengthy conversations with Mr. Edwards about the case. I had a co-conspirator who was deeply involved in the Ponzi scheme that l could go to to get any information l wanted, Mr. Adler. l didn't need to go to Mr. Edwards. Q. So if you had a question of your co-conspirator, Russell Adler, about the Epstein case, you would go ask Adler and would Adler always have the answer for you or would he say he would get you the answer? A. Both. Q. When he didn't have the answer, do you know who he was getting the answer from? MR. SCAROLA: Objection, predicate. THE WlTNESS: l don't know who he was ii A. She may have, I don't recall one way or the other. i 1 " 2 J; f; 3 Q. Did you ever ask Ms. Holmes to use any of ~ 4 her prior contacts in law enforcement to assist you in ~ M 5 the Ponzi scheme to get infonnation :for you? I 6 A. The question is kind of convo 1 uted because il 7 the way you are asking it, it seems like you are ff 8 intimating that Ms. Holmes knew. l may have asked U 9 Ms. Holmes to get me infonnation that I was going to i l O utilize with my co-conspirators in the Ponzi scheme, l 11 but Ms. Holmes did not know that there was a Ponzi i 12 scheme going on. n 13 Q. All rigi'it. So you may have asked Ms. Holmes I 14 to try and get some information for you from her ; 15 contacts in law enforcement, but it's your testimony, I 16 and l don't dispute it, it's your testimony that she I 1 7 knew nothing about the Ponzi scheme, correct? R 18 A....
NOT A CERTIFIED COPY 1 2 3 4 5 6 7 8 9 10 11 12 13 14 15 16 17 18 19 20 21 22 23 24 25 l 2 3 4 5 6 7 8 9 10 11 12 13 14 15 16 17 18 19 20 21 22 23 24 25 A. Clockvvork. Q. So we would look at when the Clod,-work group was brought into this and the Epstein case was used then and then we would look at the payroll records to see whether Mr. Edwards got a bonus after the Clock-work group was brought into the Ponzi scheme, correct? A. From a timng perspective, yes. But Mr. Edwards had nothing to do with the Ponzi scheme, nor was he rewarded even surreptitiously without his )rnow]edge for helping me with the Ponzi scheme. lf he was rewarded it was because he deserved, I felt he deserved a reward, having nothing to do with the Ponzi scheme. The bulk of this law firm had nothing to do with the Ponzi scheme. Q. I think you testified already, though, that money was fundable in the firm, right? 1 mean, you know, illegal money was used for legitimate purposes, correct? A. Yes. Q. Okay. So, for example, investigations that were done with the Epstein case, it's very possible that legitimate Ponzi money was used to finance those investigations? A. I'd be guessing. It's certainly possible Page because all the money went into a whole series of pots, and if you look at, most of the pots were trust accounts. Jfyou look back, you look to see what my CFO, who was also a co-conspirator was doing, she was pulling the money from wherever she needed to to fund whatever she needed to fund. MR. LA VECCHIO: Off the record a second. [Discussion off the record.] BY MR. GOLDBERGER: Q. Let me circle back to what you needed to learn about the Epstein cases to help make your pitch to the investors. You talked about the manifest already, correct, the flight manifest? A. Yes. Q. Okay. What else did you want to learn about the case or what else did you learn about the case so that you were conversant when you sp...
NOT A CERTIFIED COPY 1 2 3 4 5 6 7 8 9 10 11 12 13 14 15 16 17 18 19 20 21 22 23 24 25 1 2 3 4 5 6 7 8 9 10 11 12 13 14 15 16 17 18 19 20 21 22 23 24 25 of the underage women had travelled on Mr. Epstein's plane_. Q. Did you ever meet any of the plaintiffs? MR. SCAROLA: That's question that's been asked and answered. THE WITNESS: l do not have a specific recollection of ever meeting them. MR. SCAROLA: You are exhausting my indulgence. MR. GOLDBERGER: Fair enough. MR. SCAROLA: You've exhausted my indulgence. BY Iv:lR. GOLDBERGER: Q. Do you know whether any of your investigators at the finn had any kind of high tech surveillance equipment or, you know, wire tapping equipment? A. l believe they did. Q. Do you know whether this was legal stuff or illegal staff? A. ] did not know, nor did I care. Q. Do you know if any of that stuff was used to either wire tap or surveil Mr. Epstein? A. ] do not know one way or the other. Q. What sort of equipment did you know that Page 118 they had, meaning your investigators? A. I had told Mr. Jenne and others involved in the investigation arm ofRRA to get whatever equipment they thought they needed and to get the best stuff that they could get. What they actually did, I can't tell you. Q. You know as part of the Epstein litigation, and I'm talking about now after your using it in the Ponzi scheme, do you know whether anyone at your finn attempted to depose ex-President Bill Clinton? A. I don't recall that, sir. Q. Okay. How about Donald Trump, same question? A. I don't recall that. As a matter of fact, we had represented Trump in some things, we had some pretty close ties with him, so ] can't imagine that they would have done that with my authority. Q. Okay. A. I don't recall that. Q. Do you know whether Adler would have - would Adler have the authorize to do that without getting your permission? A. The authority, no. Might he have tried, ...
NOT A CERTIFIED COPY 1 2 3 4 s 6 7 8 9 10 11 12 13 14 15 16 17 18 19 20 21 22 23 24 25 !i ~ of a single deposition. or the propounding of an;y r: 1 discovery in the Epstein cases. Do you have an:y ~ 2 reason to doubt the accuracy of that testimonx? ~ 3 A. No, sir. ~ 4 Q. ] want you to assume that Brad has or will ~ 5 testify that you did not provide any input whatsoever :\ 6 into the hand]ing of the legitimate Epstein cases. Do ~ 7 ;rou have any reason whatsoever to doubt the accuracy fl 8 of that testimony? g 9 N • i 10 A. .:,.:.Q..jl!. ~ Q. ] want you to assume that Brad has or will H 11 testify that you never met any of the legitimate I 12 plaintiffs in the Epstein cases. Do you have arzy ~ 13 reason to doubt the accuracy of that testimony? I 14 '·; 15 A. .No, sir. ~ MS. HADDAD: J'm going to object to these ~ 16 same questions you keep asking, because Mr. Rothstein i 1 7 has testified at nauseam that he doesn't recall any f 18 of thEisdand dn~w- yhou ar 1 e asdkin?, him to bolster d 1 2 1 0 9 Mr. war s e1t er a rea y given or purporte - testimony when he's testified he doesn't recall it. I 21 BY MR. SCAROLA: U 2 2 Q. ] want you to assume that Brad has or will i 2 3 testify under oath that you never asked him once to i 2 4 report back to you on any factual matters regarding, I 2 5 jllegal activities at the RRA fiun and you concealed your knowledge of Brad Edwards' knowledge of that ~illegal activity. what do you understand the consequences of that false testimony to be? A. l'II be violating my agreement v,,,ith the United States government and] would run the risk of dying in prison. MR. SCAROLA: Thank you. l don't have any further questions. THE WlTNESS: Thank you, sir. MR. NURJK: Mark, ] don't know what your time frame is on your litigation, but the ability to receive the transcript, review it and prepare an errata sheet within what is normally the time allotted un...
NOT A CERTIFIED COPY 1 2 3 4 5 6 7 8 9 10 11 12 13 14 15 16 17 18 19 20 21 22 23 24 25 MS. HADDAD: lt's scheduled in a month, Mark. MR. NURJK: We'll cooperate. MR. SCAROLA: Thank you very much. [Thereupon, the taking of the deposition was concluded at 12:37 p.m.] SCOTT ROTHSTEJN Sworn to and subscribed before me this day of 2012. Notary Public, State ofFlorida at Large. Page 126 1 CERTlFICATE 2 STATEOFFLORIDA ) COUNTY OF MIAMl-DADE 3 I, Pearlyck Martin, a Notary Public in and. for the State ofFlorida at Large, do hereby certify that., pursuant to a Notice of Taking Deposition in 5 the above-entitled cause, SCOTT ROTilSTBN was by me first duly cautioned and sworn Jo testify the whole 6 truth, and upon being carefully examined testified as is hereinabove shown, and the testimony of said 1 witness was reduced to typewriting under my personal supervision and that the said Video Conference 8 deposition constitutes a true record of the testimony given by the witness. I further certify that the said Video 1 0 Conference deposition was taken at the time and place specified hereinabove and that l am neither of 11 counsel nor solicitor to either of the parties in said suit nor interested in the event of the cause. 12 WITNESS my hand and official seal in the 13 City ofMiami, County ofDade, State of Florida, this day of June 19, 2012. 14 15 16 11 Pear]yck Martin 18 19 20 21 22 23 24 25 10 ]] 12 14 15 16 ]l 23 FRIEDMAN, LOMBARDI & OLSON Suile 924, Biscayne Building J 9 Wes1 Flagler Stree1 Miami, Florida 33130 Telephone (]05) 371-6677 June 21, 2012 IN RE: EPSTEIN VS. EDWARDS SCOTT ROTI-ISTEJN Clo MARC N\JRJK One Eil51 Br â–¡wilrd Boulevard, Seventh Floor Fl. Lauderdale, Florida 3330 I Dear SCOTT ROTI-ISTEIN: V1/i1h reference lo lhe deposi1ion of yourselrlaken on June 14, 2012, in connecliâ–¡n wilh lhe above-cap1ioned case, pleu.se be advised 1hn1 1he lranscrip1 of1he depositio...
NOT A CERTIFIED COPY IN THE CIRCUIT COURT OF THE FIFTEENTH JUDICIAL CIRCUIT OF FLORIDA IN AND FOR PALM BEACH COUNTY CIVIL DIVISION CASE NO.: 502009CA040800 AG JEFFREY EPSTEIN, Plain tiff ( s) l vs. SCOTT ROTHSTEIN, etc., et al., Defendant(s). __________________ / ORDER ON PLJ\JNTIFF'S MOTION TO DISMISS COUNTERCLAIM OF DEFENDANT EDWARDS THIS CAUSE ca.me before the Court upon the PlaintL.+f's Motion to Dismiss the Counterclaim.of the Defendant, BRADLEY J. EDWARDS. The Court heard argument of counsel and has reviewed the authorities they have cited, and is otherwise fully advised in the prernises. First, as to Count I, t..h.e claim for abuse of process, the Court finds that there are sufficient allegations in the Complaint to establish an ulterior purpose or motive. Furthermore, the allegations are that each and every act in the prosecution of the case in chief have been for an ulterior purpose or motive. Such Counterclaims are no longer barred in Florida. See e.g., Blue v. Weinstein, 381 So.2d 308 (Fla. 3rd DCA 1980). In regard to the malicious prosecution claim, this Court recognizes that, in general, a Counterclaim for malicious prosecution cannot arise out of the allegations contained in t..h.e Complaint. Therefore, L.7. general, a claim for malicious prosecution arising out of dismissed counts of a Complaint is improper as long as t.h.e Complai.7.t is still pending. However, the Court finds that the circumstances in the present matter are distinguishable from the cases cited by the Plaintiff. In this case, a voluntary dismissal of t..h.ose claims was filed by the Plaintiff. Therefore, we are not faced with a situation where EXHDBIT
NOT A CERTIFIED COPY Epstein v. Rothstein CaseNo.502009CA040800XXXXMBAG Order Page2 there is non-final order of court because the claims are interrelated to a remainin.g clahn. In this case, the Plaintiff voluntarily chose to dismiss those claii--ns. Counsel has provided no authority for the proposition that a voluntary dismissal of a claim against a party is not a bona fide termination. Nevertheless, this Court has serious concerns as to the claimed "damages" set forth in the Counterclaim. Therefore, further argument on the damages issues only is . scheduled for Wednesday, April 18, 2012 at 8:45 a.m, (UMC), Courtroom 9C, Palm Bea.db. County c~ul'!."thou.se, 205 North Dixie Highway, West Palm Beach, Ffodda, Counsel shall provide to the Court at that time authority for the damages allowable under the claim or malicious prosecution or abuse of process. DONE AND ORDERED this-2C/.!aay of M::ill"c'h, 201~st p::ii-rn. Beach, Palm. Beach County, Florida. Copy furnished: DAVIDF. CR W CIRCUIT COURT JUDGE JACK SCAROLA, ESQUIRE, 2139 Palm Beach Lakes Blvd., West Palm Beach, FL 33409 JOSEPH L. ACKERMAN, JR., ESQUIRE, 777 S. Flagler Dr., 901 Phillips Point West, West Palm Beach, FL 33401 • JACK GOLDBERGER, ESQUIRE, 250AustralianAve. S., Suite 1400, West Palm Beach, FL33401 MARC NURIK, ESQUIRE, One E. Broward Blvd., Suite 700, Ft. Lauderdale, FL 33301 GARY M. FA-"RMER, JR., ESQUIRE, 425 N. Andrews Ave., Suite 2, Ft. Lauderdale, FL 33301 LILLY ANN SANCHEZ, ESQUIRE, 1441 Brickell Ave., 15th Floor, Miami, FL 33131
NOT A CERTIFIED COPY IN THE CIRCUIT COURT OF THE 15TH JUDICIAL CIRCUIT, IN AND FOR PALM BEACH COUNTY, FLORIDA CASE NO.: 502009CA040800XXXXMBAG JEFFREY EPSTEIN, Plaintiff, vs. SCOTT ROTHSTEIN, individually, and BRADLEY J. EDWARDS, individually, Defendants. -------------------I VIDEOTAPE DEPOSITION CONT 1 D OF BRADLEY EDWARDS VOLUME II OF II PAGES 110 - 250 October 10th, 2013 10:00 A.M. - 2:30 P.M. 401 East Las Olas Blvd., Suite 1400 Fort Lauderdale, FL Stenographically Reported By: WENDY ROBERTS, RPR Notary Public, State of Florida Empire Legal Support, Inc. Fort Lauderdale Office 6f/J-------.. Phone : ( 9 5 4 ) 2 4 1-1 o 1 o EXHIBBT I~ iG '------------------ii Electronically signed by Wendy Roberts (201-049-665-8352) Electronically signed by Wendy Roberts (201-049-665-8352) Electronically signed by Wendy Roberts (201-049-665-8352) I d2253581-25f4-499f-bc84-db447 41 f4cft
NOT A CERTIFIED COPY Page 111 APPEARANCES ATTORNEY(S) FOR MR. EPSTEIN: TONJA HADDAD COLEMAN, ESQUlRE Tonja Haddad, PA 315 SE 7th St Ste 301 Fort Lauderdale, Florida 333013158 Phone: 954.467.1223 Fax: 954.337.3716 E-Mail: Tonja@tonjahaddad.com FRED HADDAD, ESQUJRE Fred Haddad PA 1 Financial Plz Ste 2612 Fort Lauderdale, Florida 333940061 Phone: 954.467.6767 Fax: 954.467.3599 E-Mail: Haddadfm@aol.com JACK GOLDGERGER, ESQUIRE Atterbury Goldberger Et Al 250 S Australian Ave Ste 1400 West Palm Beach, Florida 334015015 Phone: 561.659.8300 Fax: 561.835.8691 E-Mail: Jgoldberger@agwpa.com ATTORNEY FOR BRADLEY EDWARDS: WlLLlAM KJNG, ESQUIRE Searcy Denney Scarola El Al 2139 Palm Beach Lakes Blvd West Palm Beach, Florida 334096601 Phone: 561.686.6300 Fax: 561.684.5816 E-Mail: Wbk@searcylaw.com ALSO PRESENT: JEFF EPSTEIN, PLAINTIFF (telephonically) DEBRA FEIN, LAW CLERK INDEX WITNESS: BRADLEY EDWARDS Page 112 Page Direct Examination cont'd by MR. HADDAD I 14 EXHIBITS PLAINTIFF'S: EXHIBITS: Description Page Comp. No. I Response to RP#7 Correspondence between BJE and US Government RE Epstein in BJE Possession 66 pages 244 Comp No. 2 E-mail from Russell Adler to Bradley Edwards RE: Oct. 28th depo, sent on 10/14/09 58 pages 244 Electronically signed by Wendy Roberts (201-049-665-8352) Electronically signed by Wendy Roberts (201-049-665-8352) Electronically signed by Wendy Roberts (201-049-665-8352) i i 1 2 3 4 5 6 7 8 9 10 11 12 13 14 15 16 17 18 19 20 21 22 23 24 25 1 2 3 4 5 6 7 8 9 10 11 12 Page 113 ( Continued from Volume l dated May 15th, 2013 .) Videotape Deposition taken before Wendy Roberts, Registered Professional Reporter and Notary Public in and for the State of Florida at Large. in the above cause. THE VlDEOGRAPHER: We are now on the video record. Today's date is October 10th, 2013. The time is 10:15 A.M. Would counsel please state their appearances for the record. M...
NOT A CERTIFIED COPY 1 2 3 4 5 6 7 8 9 10 11 12 13 14 15 16 17 18 19 20 21 22 23 24 25 1 2 3 4 5 6 7 8 9 10 11 12 13 14 15 16 17 18 19 20 21 22 23 24 25 Page 115 between yourself and either, what's his name, Dexter, or Miss Villfrans, Villafrana, Villafana, whatever you want to call her? A That's my understanding. Q All right. Well, this all came from your files and from your records, correct, e-mails, whatever you call those things where you store e-mail servers or whatever there? A You sent a request, l did whatever searches that l could to come up with all of the documents between us and l turned them over to my attorney who turned them over to you. Q Ali right. And J don't know if that request contained anything regarding any memorandums of conversations that you might have had, telephonic conversations or in-person conversations. Did any of those exist? A Not to my recollection. Q Okay. So -- A I think that's everything. Q That's what I'm asking, everything that there is, correct? A I believe so. Q All right. And this would take -- some of it's not numeric -- not numerically -- not -- Page 116 A Chronological? Q Chronological, thanks for the word, chronologically presented. But I note the first thing I have is to Dexter Lee a..TJd it states somet11ing about October 9, 2008, regarding some potential false statements the Government made in a sworn declaration with the above-captioned case. That was you writing to them, correct? A What I'm looking at right now appears to be on my letterhead from back then, so I would say yes. Q All right. And whatever it says, it says -- A That's my signature. Q Okay. And that would be the same with all of these? Let me -- let me just go through them. Let me see which ones I'm going to ask. MR. KING: Take your time to look at them -- MR. HADDAD: Yeah. MR. KING: -- if you think you need to. MR. HADDAD: What do you think, I altered them? MR...
NOT A CERTIFIED COPY
1
2
3
4
5
6
7
8
9
10
11
12
13
14
15
16
17
18
19
20
21
22
23
24
25
1
2
3
4
5
6
7
8
9
10
11
12
13
14
15
16
17
18
19
20
21
22
23
24
25
Page 119
Q
l want the answer from you.
All right. And then on September 29th,
2011 -- on September 29th, 2011, there is another letter
to the United States Attorney, Mr. Ferrer, and it's a
follow-up on Jeffrey Epstein by the same Mr. Cassell,
correct?
A
That's what it appears to be.
Q
All right. There is a carbon copy to Dexter
Lee and Maria Villafana, correct?
A
Okay.
Q
Okay doesn't answer. Yes or no? ] need --
A
That's what it appears to be.
Q
Yeah, but -- yeah, 1 know. l am just asking
you --
A
I mean, I didn't send the letter. I'm looking
at the same thing you are looking at.
Q
I know.
A Paul signed it and then he copied Dexter Lee
and Maria Villafana.
Q Do you know how you received a copy of this?
A
1 don't remember right now.
Q But it is in your records?
A
Yes.
Q And would you have read it at the time it came
in?
Page 120
MR. HADDAD: Where is that thing of hers?
MR. GOLDBERGER: Chill. Chill.
MR. HADDAD: Chill, I always chill.
Tl-IE \VITI-JESS: \1/hat is your question?
MR. HADDAD: I don't remember.
A I think -- 1 think it was whether or not I
received it at the time that it was sent, and I don't --
I don't know exactly the timing of vkten I received this
letter. But it would have been close in time to when it
was sent. I don't know exactly.
BY MR. HADDAD:
Q So you could -- you all were working these
together, correct?
A Yeah, right.
Q And whatever is in these documents speaks for
themselves, correct?
A Exactly.
Q Would they have engendered by you any
follow-up calls to the U.S. Attorney or to anyone in the
U.S. Attorney's Office?
A No.
Q All 1ight. Things such as -- at the same
time, this -- Rule 26 disclosures, and Jane 1 -- and
.lane Doe 1 and Jane Doe 2, those are your CRVA {SIC}
cases, correct?
Elec...
NOT A CERTIFIED COPY Page 123 1 saying there. The simple thing -- my simple question is -, this. Were you in the litigation status that you needed L 3 to produce this or was this a voluntary production for 4 purposes of hoping the Government would respond to you? 5 A We felt it was necessary. 6 Q That's not my question. 7 A l understand that. 8 Q Was this -- okay -- 9 A l don't know the answer to your question, 10 though. 11 Q You are an attorney, you are fairly bright and 12 we went through that last time, l don't want to have to 13 go through that again, how smart you are. This was -- 14 you're saying here, if you are correct that the civil 15 rules apply, that's Dexter Lee, then both sides of the 16 case are obligated to make voluntary initial disclosures 17 under Rule 26( a). We are writing to make our initial 18 disclosures and ask that you promptly do the same, 19 correct? 20 A We felt it was our obligation. 21 Q l can read what it says here. 22 A Okay. 23 Q We are making our initial disclosures and ask 24 you to do the same, voluntary initial disclosures, okay? 25 A Right. Page 124 1 Q You felt it was necessary, it wasn't required 2 by rule, by anything, it was a voluntary thing you are 3 doing, as you are say in your own words, correct? 4 A Correct. 5 Q Did you get a response from the Government? 6 A I don't remember. 7 Q Okay. 8 A This is something from March of 2011, I just 9 don't remember. 10 Q You don't remember whether or not the 11 Government provided you a list of their discovery, their 12 evidence, their witnesses or anything, whatever there is 13 in response to Rule 26 that they are required to comply 14 with? 15 A I can tell you they've provided us very 16 little, much less than we wanted. Have they provided us 17 nothing? I don't know that that's true. 18 Q Well, they provided you a letter saying you 19 have no business being in this thing, but besides ...
NOT A CERTIFIED COPY 1 2 3 4 5 6 7 8 9 10 11 12 13 14 15 16 17 18 19 20 21 22 23 24 25 1 2 3 4 5 6 7 8 9 10 11 12 13 14 15 16 17 18 19 20 21 22 23 24 25 Page 127 I correspondence between the Federal Government and Bradley Edwards' partner, Rothstein, Rothstein and Adler, as the way you signed off -- or Bradley Edwards -- anything? A Come on, come on. You're going to have to go back in the bag and grab a question that I can actually answer. Q Look through all of this and tell me if this is everything you have, if there is one thing during the period of time you were with Rothstein? A ln this? Q ln -- well, that's everything you own, you said, regarding the -- that -- that request to produce regarding the CRVA, as well as the correspondence. A All right. Correspondence. MR. GOLDBERGER: I think you are one letter away. MR. HADDAD: Oh, what difference does it make, he knew what l was talking about. Crime Rights, Victims, Crime Victim Rights, okay. ASPCA, the same thing. THE REPORTER: Counsel, do you want that on the record? MR. HADDAD: You can type it, I don't care. (Thereupon, a discussion was had off the record.) A I don't see anything. BY MR. HADDAD: Q i\.H right. Thank you. MR. GOLDBERGER: Wait, let-- MR. HADDAD: What? Page 128 MR. GOLDBERGER: I want to make sure the question is answered, Fred, before you jump on the next one. THE WI1NESS: I was going to say -- MR. HADDAD: I don't have a next one to jump onto yet. I just dug into a few things here this morning when I got up getting my kid ready for school. I just dog-eared a few things this morning when I woke up, get my kid ready for school. A You were going to ask me how to do that? Oh. BY MR. HADDAD: Q I have been doing it for 40-something years. I have here, I forget where they came from, a whole bunch of e-mails you turned over. A Okay. Q Since the last time we met, or since -- yeah, since after that depositi...
NOT A CERTIFIED COPY 1 2 3 4 5 6 7 8 9 10 11 12 13 14 15 16 17 18 19 20 21 22 23 24 25 1 2 3 4 5 6 7 8 9 10 11 12 13 14 15 16 17 18 19 20 21 22 23 24 25 Page 131 MS. COLEMAN: While he is looking at that just so the video is clear, the request to produce regarding the Government exhibits, I have attached as Exhibit l to the deposition that he just went over and those will be Exhibit 2. MR. HADDAD: Oh, okay. l don't know how to do that. MR. GOLDBERGER: Yes. Yes, that's what we want to do. MS. COLEMAN: I'm the token civil lawyer in the room. l thought l would just throw that out there. MR. HADDAD: Token woman in the room too. MR. KING: So the Rule 26 disclosures to the Government will be Exhibit l; is that right? MR. GOLDBERGER: Yes. MS. COLEMAN: No, no -- MR. GOLDBERGER: It will be part of it. MS. COLEMAN: -- those -- those were provided -- those -- the Exhibit 1 is responsive to Request No. 7 on the Schedule A, to which Mr. Edwards objected prior to the last deposition. So they were responsive. MR. KING: All l want to know is what is being marked as Exhibit 1. Page 132 MS. COLEMAN: It's all -- that's it. MR. KING: This document -- MR. GOLDBERGER: Your resp -- Edwards' response. MR. KING: Got it. MS. COLEMAN: This is off the record. (Thereupon, a discussion was had off the record.) A You want me to read through these? BY MR. HADDAD: Q Just look at them and see -- you know, you don't have to read every word of -- word of them, I'm not going to -- ifl have one I'm going to ask you something about, I will tell you. I am not here to try to trick you yet. (Thereupon, a discussion was had off the record.) THE VIDEOGRAPHER: The time is J0:36 A.M. We are now coming off the video record. (Thereupon, a discussion was had off the record.) THE VIDEOGRAPHER: The time is J0:40 A.M. We are now back on the video record. BY MR. HADDAD: Q All right. So did you have the ability in the Ele...
NOT A CERTIFIED COPY 1 2 3 4 5 6 7 8 9 10 11 12 13 14 15 16 17 18 19 20 21 22 23 24 25 1 2 3 4 5 6 7 8 9 10 11 12 13 14 15 16 17 18 19 20 21 22 23 24 25 Page 135 : the attached check from Searcy, they should go into trust account, you should keep your own running account of checks in and out. A It is an e-mail from Bill Berger to Pat Cai1er, who, by this, I would say the e-mail is at RRA, so it is probably his secretary. Q All right. A That is what I would assume. Q Okay. But it's saying it would go to you, Brad Edwards is you, this and any other others like it should go to Brad Edwards. And then it says Brad. So see, it says to Brad Edwards -- A Right. Q -- also. Brad, see attached check from Searcy. A Right. Q They should go into trust account. A Right. Q The trust account that they were going into -- this is dated October 26, 2009. The trust account they are going into, I suppose, is RRA's trust account; would that be correct? A I don't know. Q Well, it's -- they are telling you to put stuff into a trust account. The only trust -- did you Page 136 have your own separate Brad Edwards PA trust account? A No. No. Q The only trust account you would have had was A I didn't have an RRA trust account. Q The trust account that was in existence for when you were with RRA would have been the RRA trust account, right? A I don't know, I was never -- Q Well-- A -- part of any trust account. Q Well, if you received a check and it was directed that you should put this into a trust account, where would you put it? A I didn't do any of those things. Here's what happened. All of the law firms, it was myself, Bob Josefsberg, Jack Scarola, and Sid Garcia, Ted Leopold, I'm missing -- Adam Horowitz or Jeff Herman or somebody, everybody agreed or forensic accountants. Q Okay. A And sent checks to the finn. 1 never -- Q Toyourfirm? A -- asked for the firm. To RRA. Q Yeah. A ...
NOT A CERTIFIED COPY 1 2 3 4 5 6 7 8 9 10 11 12 13 14 15 16 17 18 19 20 21 22 23 24 25 1 2 3 4 5 6 7 8 9 10 11 12 13 14 15 16 17 18 19 20 21 22 23 24 25 Page 139 were prosecuting the case against Jeffrey Epstein. Q And all of the money was being put into, without doubt, RRA? A l don't know. l don't know ifit was being put into RRA or anything. All of the money came in -- Q All right. Well, let me put it very simply. Let's say that you were working with all these guys, Josefsberg and the rest of these guys -- A That's true. Q -- trying to come up with $5,000 to pay the forensic accountant. A Yeah. Q lt came out of your trust account, correct? A l don't know. Q You don't know? Who manned the trust account, who did all the -- who took all the monies out of that? A l don't know. Q You don't know anything about trust accounts? A l am assuming now what everybody !mows, including yourself, is that Scott Rothstein is the only person that ran a trust account. Q All right. MR. HADDAD: l'm so glad you can anticipate everything that J'm going to ask in a few minutes. Sorry. Page 140 BY MR. HADDAD: Q All right. Now, this is on October 26, 2009, this is probably the last days yo'.1 had 1;rust accounts, so you don't k110\V ,.:vhat -- \vhat 1..vas told to Berger to talk about these trust accounts, correct? A Correct. Q You don't know whether or not he was in contact with Rothstein and whether Rothstein, who was always looking for money was looking for money into the trust accounts? A I have no idea. Q All right. You don't !mow whether or not Josefsberg, Scarola or Searcy Denney or any of these other lawyers, Herman or any of them had money in the Scott Rothstein RRA trust account that was lost? A I don't -- I don't know, but in - in -- I do believe that they sent the checks. Now, what happened with the checks and who accumulated the checks and where the checks went to fund the for...
NOT A CERTIFIED COPY
1
2
3
4
5
6
7
8
9
10
11
12
13
14
15
16
17
18
19
20
21
22
23
24
25
1
2
3
4
5
6
7
8
9
10
11
12
13
14
15
16
17
18
19
20
21
22
23
24
25
Page 143
Q All right. Now, Bradley Edward, from Bradley
Edwards to Jackie Johnson, October 22nd, 2009, please
look at the following schedules, see if you can book a
conference room for many to attend as the following
group of people for tomorrow, 10 days before, eight
days -- well, not - eight days before you guys fell
apart. Please look at the following schedules and see
if you can book a conference room for as many -- for as
many as can attend from the following group of people
for tomorrow: Jenne, Adler, Berger, Stone, Wheeler,
Holmes, Bruschel { SlC}, Fi -- Fiston and Jaffe. Do you
know what that's about? Do you know why you were having
a conference? Obviously, from the names, it had
something to do with Epstein, l would imagine?
A Yeah, the subject is Epstein meeting.
Q Yeah. Do you know?
A We would-- we would frequently have meetings
on cases, including this one, to brainstorm about what
to do with the various issues that were going on in the
case.
Q Well, you had no other -- did you have other
cases while you were at RR.A, besides these? I'm not
saying that pejoratively, l mean did you have other
cases?
A Yeah, of course I did.
Page 14 4
Q
All right.
A
1 brought with me many cases.
Q I didn't-- okay, I didn't !mow that. Nobody
asked you ru1ythjng about oL½er cases prett'J much~ they
only asked you about this case. You had other cases you
were working on?
A Right.
Q
Did you settle any while you were there?
A
I don't remember.
Q
Okay.
MR. HADDAD: Yes?
MR. GOLDBERGER: I just --
BY MR. HADDAD:
Q
There was one I wanted to ask you about -- you
know, there was one 1 really wanted to ask you about
and, of course, I'm sure I lost it. Okay. Can 1 have
one second since 1 haven't taken a second? I should
have had it dog-ear...
NOT A CERTIFIED COPY 1 2 3 4 5 6 7 8 9 10 11 12 13 14 15 16 17 18 19 20 21 22 23 24 25 1 2 3 4 5 6 7 8 9 10 11 12 13 14 15 16 17 18 19 20 21 22 23 24 25 Page 147 preclude any disclosure of work product infonnation that they would have a right to assert. And so we're -- in honor of that, of those motions or the order, ifit was entered, and I apologize for not knowing that, we would -- we would object to any questions relating to communications that occurred that would fall within a work product doctrine that would be owned by those other lawyers. MR. HADDAD: I -- I -- I don't think that's what I was doing. In fact, I thought I made it specifically clear I am not trying to invade any privilege. I just asked whether or not there was a written -- an agreement among the lawyers, and I don't think that would be privileged. Shared information among the lawyers would not be -- I mean, I'm not going to put you in bad position because not -- you're -- you're not the lawyer that should -- that, like I said, should have been here, but you are not the lawyer that is more familiar with this, so I don't want to put -- my usual expression would be something else, so I will just leave it there and we will take it up with the Judge, okay. MR. KING: Very good. MR. HADDAD: Because I just want to know if Page 148 there's a written -- like -- just like the lawyers have a -- a --what do we call that, a joint defense agreement. Whether it's a plaintiffs agreement .... a sharing --- you can assert .. _ you objected, I will leave it at that. I don't want to -- as I said, I don't want to cause any -- MR. GOLDBERGER: Just identify the specific question you are asking that Mr. King is telling his client not to answer. MR. HADDAD: Specifically, I already asked him, whether or not there was any specific agreement among the lawyers to share information and share expenses, because we already know they're sharin...
NOT A CERTIFIED COPY 1 2 3 4 5 6 7 8 9 10 11 12 13 14 15 16 17 18 19 20 21 22 23 24 25 1 2 3 4 5 6 7 8 9 10 11 12 13 14 15 16 17 18 19 20 21 22 23 24 25 Page 151 scares me in this case. This is about Edwards, isn't it? A That's me. Q There is so much pape -- not Edwards, I -- I'm confusing you guys now, Epstein. There is so much paper and so many motions and dates and times of everything, so important, so many motions, I think we need an organized paper file in this case. That's you talking about Epstein's case, correct? A It sounds like it, yes. Q Okay. And organized paper file would mean like a war room, I think, in fact, you have an e-mail where you asked for a war room. A Right in there. Q Is it in this one? It said war room there? Oh, yeah. I just thought I was -- great memory, sorry. Okay. So on October 19th, Ken Jenne to Epstein. Subject: Epstein. To Ken from Bradley J. Edwards. I know you are aware of the urgency, and Russell and I have discussed the various necessary witnesses in the case and the urgent need to speak them. We have a discovery deadline coming up and four crucial witnesses are in California. And you are talking about Fiston going out there. That's in relation to what coming up, Page 152 discovery deadline in the cases that you had before you settled them, if you -- A lTh, from memory -- Q Yeah, I'm not- A -- the case was a -- the Jane Doe v. Epstein case was initially set for trial in November of 2009, so I think the discovery deadline was coming up and we had some more witnesses to talk to before that. Q All right. Who's Pat Diaz? A He's an investigator. Q Okay. Let me -- let me -- yeah, this one, probably just because it intrigued me, is from Bill Berger to Edwards, Adler, Jaffe, Weissing, Farmer, May I 9th, 2000. It was mostly your partners now. You are invited to attend our three P.M. conference room, 22 floor conference room, interview of Amy...
NOT A CERTIFIED COPY 1 2 3 4 5 6 7 8 9 10 11 12 13 14 15 16 17 18 19 20 21 22 23 24 25 1 2 3 4 5 6 7 8 9 10 11 12 13 14 15 16 17 18 19 20 21 22 23 24 25 Page 155 J assu -- is this one on your Web site or is this just here, "Florida Lawyer Ruffles Feathers in High Society With His Pesky Subpoenas," did you post that one? A J don't think so. Q You should, it's a pretty good article for you. Okay-- A Send it to me again and I will post it. Q All right. I -- I think -- J don't know ifI have any more of these on these e-mails, but -- but at some point or another, these all -- were either recognized by you, came -- or were produced by you, correct? A They came to me by -- from the trustee, sometime -- Q Yeah. A -- in 2011 and then I forwarded them on to you guys. Q All right. Were you deposed at all in any clawbacks or anything? A No. Q Okay. A This is my third deposition in this case and that's it. Page 156 Q Well, l understand that. l don't understand how you get to take more than one deposition because you don't in criminal, but we are doing it. Maybe I can - invite you back again in a fe\.v months. A l'm hoping for today to be the last time that we are meeting under this circumstance. Q I'm enjoying it so much. A Iknow. Q Just so long as you're -- I have never taken a deposition this long in a first-degree murder. Of course, this is much more serious. Let me ask you, this is a document -- MR. HADDAD: Yeah, you got to mark all of those, I guess. Do we have copies? MR. GOLDBERGER: Do you want to sanitize this and make sure it's all good? MR. HADDAD: Go ahead, you going to take my dog-ears off, l need them -- yeah, whatever. MR. GOLDBERGER: That's Exhibit 2. MS. COLEMAN: Quarter-miilion-dollar education and I am -- MR. HADDAD: Do you want -- did you want a copy, Bill, did you a copy right here? MS. COLEMAN: No, this is 2 because 1 is the -- Electronically signed by ...
NOT A CERTIFIED COPY 1 2 3 4 5 6 7 8 9 10 11 12 13 14 15 16 17 18 19 20 21 22 23 24 25 1 2 3 4 5 6 7 8 9 10 11 12 13 14 15 16 17 18 19 20 21 22 23 24 25 Page 159 Q Okay. If -- do you remember approximately when you were served with the complaint? A 2009. Q I understand that. I see here channel -- channel -- December 7th, rather prophetic, 2009, you were with hit with the initial complaint, correct? lt -- it say here you -- initial complaint, review and research. A Then that sounds accurate to me. Q Okay. And did you retain -- did you --you didn't know it was coming, obviously? A Right. Q You were only involved at that time in the Jane Doe, let me just call them Jane Doe, whatever you want to call them, EW, DW, ET, whatever you call them, civil suits and it's GVRA? A CVRA. Q CVRA stuff, correct? A As it related to Jeff Epstein. Q Right. So that when you -- when got sued, this was a blanket new civil litigation that you were getting involved in. A That's correct. Q And that's before the counterclaim and all Page 160 that, this was just a brand my new piece of civil litigation -- A Right. Q -- where you got sued? Okay, arid the first complaint for a number of comps. A Right. Q Correct? All right. When was it that you -- what approximate date did you hire Mr. Scarola? A I don't remember. Q Approximately. The day you got served? I mean, you were already friends with him, I guess. A Right. Um, I -- I can say with pretty good certainty that it was before the end of that year 2009. Q Okay. Because I'm -- I am seeing here -- A Sometime in the month of December, I think. Q All right. Because you got 12/7/2009, initial complaint, review and research, 8.1 hours. What did he send you, War and Peace? A Basica!!y. Q Oh, okay. Exhibit 2, seven -- point sev -- what's .7 hours translate to, I don't -- I don't -- A 42 minutes. Q Okay. All right. 12/10, let -- letter confirming reg...
NOT A CERTIFIED COPY 1 2 3 4 5 6 7 8 9 10 11 12 13 14 15 16 17 18 19 20 21 22 23 24 25 1 2 3 4 5 6 7 8 9 10 11 12 13 14 15 16 17 18 19 20 21 22 23 24 25 Page 163 MR. HADDAD: Huh? THE Wl1NESS: That would be so much fun. (Thereupon, a discussion was had off the record.) MR. HADDAD: So a couple months a year. MR. GOLDBERGER: No. BY MR. HADDAD: Q Letter from Nurik re depo of Rothstein. What would that have to do with this case? Just -- just -- l am just trying to figure out why that would have something to do with this case. A What? Q It says here, you know, 35 minutes, Marc Nurik couldn't write a letter that lasted 35 minutes. A letter from Nurik re depo of Rothstein. He was in my office. He is not able to write that well. A So-- Q Well, how did you -- what does that have to do with this case? l mean just -- just looking through -- A Out of context, that's a tough question for me to answer. But I know that in your recent pleadings, you have discussed certain things that Scott Rothstein testified to in other cases that included me, and so 1 would have read those portions of that deposition and that's what I am presuming that that is. Page 164 Q Whoa, whoa, whoa, whoa. The pleadings that they -- you have not -- this is -- this is within a few months of the initial complaint and -- and -- and I don't \Vant to be real argun1entative \.Vith you, because there is no jury here, but it says here, 4/14/2010, letter from Nurik, re depo of Rothstein. The depo of Rothstein wasn't for another three months. Why would you bill Epstein -- what's four-tenths, is what, 25 minutes? MS. COLEMAN: Umm-hmm. BY MR. HADDAD: Q 25 minutes to read a letter from Nurik. Dear Brad, I'm going to be taking the deposition of Rothstein, do you have any input, is about the most that Nurik could get out of a sentence. A I don't -- I don't think that that's what that means though. Q Okay, well what -- you are...
NOT A CERTIFIED COPY Page 167 1 time? 2 A Scarola did represent me at the time. 3 MR. GOLDBERGER: He did. 4 MR. HADDAD: Okay. 5 BY MR. HADDAD: 6 Q And Scarola attended this deposition? 7 A lt was never taken, it was canceled. 8 Q Okay. Did you meet with Scarola for the 9 deposition, no discussions you -- between you and 10 Scarola, did you prepare him notes, did you do 11 something, send them to him? 12 A I met with Mike Fiston. 13 Q Okay. So you prepared the witness for the 14 deposition? 15 A I talked to the witness about the deposition, 16 yes, prepared him for the deposition, yes. 17 Q For one point -- for almost two hours? 18 A No, for 1.1 hour. 19 Q l.l and .07? 20 A But that's a different deposition. 21 Q Oh, Fendi, I'm sorry, I can't read. 22 Okay. So you prepped two people for 23 depositions that day? 24 A Right. 25 Q Okay. To be taken by one of Epstein's Page 168 l multiple lawyers and to be attended by your lawyer? 2 A Right. 3 Q Okay. So you are acting as an adjunct to the 4 lav1 firrn but ycu \Von't tell me v1hether you already had a 5 cooperation agreement with when they were prepping 6 depositions -- 7 MR. HADDAD: Well, change it now. You want to 8 do that? 9 THE VIDEOGRAPHER: The time is 11 :22 A.M. We 10 are now coming off the video record. This is the 11 end of Tape No. 1. 12 (Thereupon, a discussion was had off the 13 record.) 14 THE VIDEOGRAPHER: So the time is 11 :23 A.M. 15 We now back on the video record. This is the start 16 ofTape No. 2. 17 BY MR. HADDAD: 18 Q Could -- could you explain to me -- and I'm 19 sorry, maybe it's your shorthand, 5/5/2010, not 20 attending, notice of hearing, motion to enlarge time to 21 respond to discovery. Two-tenths is what, 12 minutes? 22 A Right. 23 Q What does that mean, not attending, notice of 24 hearing, you got to read the -- it took 12 minutes to 25 read a notice of hearing? Electronically signed ...
NOT A CERTIFIED COPY 1 2 3 4 5 6 7 8 9 10 11 12 13 14 15 16 17 18 19 20 21 22 23 24 25 1 2 3 4 5 6 7 8 9 10 11 12 13 14 15 16 17 18 19 20 21 22 23 24 25 Page 171 Scarola's office, West Palm Beach with Judge Camey, 6.1 hours. Would that be your atten -- A Probably longer than that, but yes. Q Okay. That would be your attendance there? A Right. Q Did you participate in that at all or -- A Yes. Q -- did Cam -- did Scarola do it? A We all did. Q What do you mean, we all did, what did you do at that hearing, Scarola let you taik and argue? A Yes. Q Okay. All right. A And l think everybody had some input as to what the process was going to be. lt was a complicated process related to e-mails. Q 2/17/2011, 4 .1 hours, Edwards hearing on Edwards motion to compel Judge Crow, 4.1 hours. A It takes three hours just to get back and forth, so yes, I mean -- Q Well, I'm just asking what this is. So you are charging for your time. Did you testify at it? A 1 don't remember. Q All right. Motion to compel are generally not testimony, it's usually a hearing, correct? Page 172 A I don't remember what my role was at that particular hearing. Q Well, you were co-counsel for all of this crap, right? A Yeah. Yeah. Q For all of this stuff? A Yeah. Q Okay. And you were billing for all of your time as well as the time, whether it was duplicated by Mr. Scarola or not, correct? A I don't have Mr. Scarola's bills, so I was billing for all of my time. Q Okay. Well, I mean, if Jack called you up and said, hey, Brad, what about this or that, it was discussing the case, you would bill for it? A Right. MR. HADDAD: What? Excuse me, yes. MR. GOLDBERGER: Is this the good ear? MR. HADDAD: Yes. (Thereupon, a discussion was had off the record.) BY MR. HADDAD: Q Okay. I'm ending with this so we're going to -- you know, it's getting close to lunchtime. I don't know, ifthere is something more important, l wil...
NOT A CERTIFIED COPY 1 2 3 4 5 6 7 8 9 10 11 12 13 14 15 16 17 18 19 20 21 22 23 24 25 1 2 3 4 5 6 7 8 9 10 11 12 13 14 15 16 17 18 19 20 21 22 23 24 25 Page 175 would prepare pleadings, send them to Scarola and he would sign them? A Fair. Q Pardon? A That's fair. Q All right. Now, on l 0/18, after you've already filed your -- or prepared your amended counterclaim, which took an hour, your motion for 57 0 105 attorney fees, you should have those rote, don't you have those you send out with everything, they are all the same? l mean, you just have to hit a button and say print, no? A ls that how it works in your office? Q l don't -- we don't do civil. l only do them once -- every once in a great while. The last one l had, we just mediated out with Judge Crow. Review depositions again, all pleadings, all offers and pending motions in preparation for conference with counsel regarding strategy for defense and also in preparation for prosecution of counterclaim, 11 hours, which is a little over a day. You've been a -- well, let -- let -- let me just ask you. What all offers were you having that you had to review, what offers were there? A lt would have been all offers that Mr. Epstein Page 176 had ever made to the girls. Q What did that have to do with your counterclaim? A Okay. Q Just educate me. A I'm going to try -- Q -- because I have to get this case. A I'm going to try. Q Thanks a lot. A So Mr. Epstein files a complaint against me alleging that I am a fraud and I am part of some RICO enterprise, and the basis for his claims were that I conducted discovery that could not have possibly been relevant to any legitimate claims I was prosecuting, such as, 1 took depositions of pilots, I included that one of the girls gave him oral sex when it was actually different underage girls that gave him oral sex, and so forth and so on. Q Okay. A So I reviewed those things to mak...
NOT A CERTIFIED COPY 1 2 3 4 5 6 7 8 9 10 11 12 13 14 15 16 17 18 19 20 21 22 23 24 25 1 2 3 4 5 6 7 8 9 10 11 12 13 14 15 16 17 18 19 20 21 22 23 24 25 Page 17 9 see if there was anything else there. BY MR. HADDAD: Q This all -- all of this preparation, this document, why did you talk for an hour and a half about hiring Tonja? Well, you did charge an hour and a half for that. A l probably talked longer than that about that fact. Q Oh, did that upset you? A Yeah. Q Okay. A l told her that, she knows it upset me. MS. COLEMAN: We worked it out. You had to know. MR. HADDAD: Huh? BY MR. HADDAD: Q All right. What did you use to prepare this? l mean, do you have just a running computer table? A No, l would just write it out -- Q Yeah, I know that. A --1 would give it to the secretary, somebody would type it in. Q What do you, you bill like a lot oflawyers, you look at the clock and say, okay? l don't have billing sheets, l have never billed a time in my life so Page 180 l don't know how you do it. A l grab a piece of paper, I look at the clock on the computer, finish doing what I'm doing with it, v,11ite revie\V correspondence point \Vhatever that is closest to a sixth and pass the piece of paper on. Q Let me ask you this. To -- to -- and if you delineated what you actually did during this time, l suppose it would take as much time to write what you did as it is to do what you did. So there must be - do you have any kind of like on a computer where you can hit on a pro -- do you -- do you have a billing program? They do make billing programs where you have certain codes where can you hit like No. l, talked to client, No. 4? A Wedo. Q Make up a couple hours? A We --we have one. We have a billing program. Q All right. And -- A 1 can't say that the attorneys are all that familiar with it. But, you know, the entries are done by the staff. Q You are. A I write it on -- l write i...
NOT A CERTIFIED COPY Page 183 l other things that you don't have to pay for, they really 2 think you are okay? 3 A 1 think so. 4 Q Okay. Let me ask you, how many cases do you " carry? ..) 6 A 1 usually try to stay around the 40-case mark. 7 Q Okay. And that's 40 intentional -- 8 A All litigation. 9 Q -- 40 tort cases? 10 A Right. 11 Q You don't do anything else, right? 12 A That's it. 13 Q 1 don't mean that pejoratively, but you are 14 tort lawyer. 15 A Basically. ] mean,] do -- 16 Q Okay. 17 A -- ] do have some commercial cases but they 18 usually involve some fom1 of criminal act where l am 19 representing somebody that] perceive to be a crime 20 victim in the case. 21 Q Okay. 22 MR.HADDAD: Anybody got anything? 23 A Well, 1 know that you have a pending motion 24 about certain objections to work product privilege that 25 were stated in the first deposition -- Page 184 l BY MR. HADDAD: 2 Q Yeah. 3 A -- and since, those cases are no longer being 4 litigated. .t~Jld to the extent tl1at I have injected 5 certain things into this litigation to prove why] did 6 certain things during discover, I'll answer whatever 7 questions you have in that regard. 8 Q ] didn't even look at it. 9 MS. COLEMAN: I didn't either. 10 A I just want to make sure this is the last time 11 I'm coming back, so I saw your motion, ]'m here until 12 we're not here. 13 MS. COLEMAN: Can we go off the record for 14 minute? 15 MR. HADDAD: No, leave it on the record. ]f 16 he is going to withdraw his objection, I am not -- 17 I am not prepared to proceed on that anyhow. 18 MS. COLEMAN: Yeall, we don't have it with us. 19 MR. HADDAD: ] don't even have -- I don't even 20 have the prior deposition. 21 MR. GOLDBERGER: Well, let's get on the record 22 that he is withdrawing them so that we don't have 23 to -- 24 MR. HADDAD: Well, yeall. I mean, if you are 25 withdrawing everything, we don't even ha...
NOT A CERTIFIED COPY 1 2 3 4 5 6 7 8 9 10 11 12 13 14 15 16 17 18 19 20 21 22 23 24 25 1 2 3 4 5 6 7 8 9 10 11 12 13 14 15 16 17 18 19 20 21 22 23 24 25 Page 187 about serial abuse and stuff. Did you -- are you familiar with this document? A No. Q And it says here, you are listing all attorneys involved in the prosecution of civil claims, who would that be, who would the experts be that are involved in the civil claims, which attorneys do you know that to be? A Which attorneys were involved in the civil claims? Q Well, your experts -- MR. GOLDBERGER: Ask him what -- what he -- what his lawyer means by that, those words? MR. HADDAD: Jack. MR. GOLDBERGER: I'm sorry. MR. HADDAD: Thanks, I wouldn't figure that out on my own. Let me stumble through four or five questions. BY l'v1R. HADDAD: Q Did you understand Goldberger's question? A Between the two of you, I think there is a question in there somewhere. Q This is going to be :frick and frack trying the case in there. All right, so you listed -- what it boils down Page 188 to is every frickin' civil lawyer that had a claim, you're listing as an expert witness, which would be Josefsberg -- A Josefsberg. Q Horo-- A Adam Horowitz. Q Horowitz, all of them? A Ted Leopold. Q Yeah. So you are listing them all as expert witnesses, which would waive a.-iy claim of privilege right now, if they are going to be witnesses for you, if they are going to testify about your claims and about everything involved in the claims. So let's go back to my other question is, did you have a joint -- joint agreement with any of these guys? MR. KJNG: Objection to the form. MR. HADDAD: Okay. MR. KJNG: Also reassert the same objection I had before. MR. HADDAD: Okay. Form objections don't mean much, because you know the question. MR. KJNG: It's only the -- only the preface to the question. MR. HADDAD: Well, l understand that. Electronically signed b...
NOT A CERTIFIED COPY 1 2 3 4 5 6 7 8 9 10 11 12 13 14 15 16 17 18 19 20 21 22 23 24 25 1 2 3 4 5 6 7 8 9 10 11 12 13 14 15 16 17 18 19 20 21 22 23 24 25 Page 191 f Q All right. So this is -- these persons, these lawyers are going to be testifying to everything they did in conjunction with you. My question comes back to what we asked before the luncheon break. Did you gentlemen have what would be considered in essence a joint agreement for purposes of prosecuting claims against Edwards? MR. KING: The same objection. A l am Edwards. BY MR. HADDAD: Q Huh? A I am Edwards. Q ! mean against Epstein. MR. KING: The same objection we had before. MR. HADDAD: All right. And are you going to instruct him not to answer so I can get it there quicker? MR. KING: Yes. lv1R. HADDAD: All right. That makes it very simple. Okay. MR. KING: And you under -- you understand there -- MR. HADDAD: l understand what -- MR. KING: -- are pending motions or motions that were resolved that were filed by those lawyers Page 192 and so, you know, in an abundance of caution we -- MR. HADDAD: Bill, I have no problem, we will take care of it, I want to make sure I cover the record so that I can get it out at some point in time. A l just can't waive their privilege, that's it. BY MR. HADDAD: Q I -- I am not asking for privilege, I'm asking you whether you had agreement. There is no privilege to an agreement. MS. COLEMAN: Once they filed it, they waive. MR. KING: No, no, ifthere was a filed agreement, I would agree, it-- it would be a public record, but most joint agreements -- MS. COLEMAN: What J am saying is, by placing them on the record as expert witnesses -- MR. HADDAD: I understand that. MR. KING: I understand your position, I would-- MR. H..A.DDA.D: They waived it. We understand what waiver is. MR. KING: They waived it. MR. HADDAD: Why am I arguing with you, you are on my side? MR. KING: That's right. E...
NOT A CERTIFIED COPY Page 195 1 Did Fistein -- Fiston interview an individual 2 by the name of Michael Friedman? 3 A I think so. 4 Q And who's Michael Friedman? 5 A A former housekeeper of Jeffrey Epstein. 6 Q All right. Did you obtain a written statement 7 from him or written investigative file or anything that 8 you are aware of? 9 A No, I don't think so. 10 Q Okay. Who was the first investigator that you 11 believe involved -- who cares. 12 Who was the first investigator that you 13 believe was involved in this, who took this depo? 14 MS. COLEMAN: Not me, don't look at me. 15 MR GOLDBERGER: Just ask the questions. 16 MR. HADDAD: I'm sitting here astounded. 17 BY MR. HADDAD: 18 Q Who was the first investigator to work on 19 these cases? 20 A That I had anything to do with? 21 Q Yeah. Work product, instruct you not to 22 answer, okay. Work product. 23 Who was it, Fiston? 24 A Wayne Black. 25 Q Okay. Wayne Black, and l saw some stuff. Page 196 1 That's the same Wayne Black that in the e-mails we 2 looked at earlier this morning -- 3 A Right .. 4 n -- \Vas referenced by Ken Jenne and stuff? '< 5 A That's right. 6 Q Okay. You already answered this pretty much. 7 MR. GOLDBERGER: You don't need to look to me 8 for approval, just ask the questions. 9 MR. HADDAD: Well, apparently you are telling 10 me I'm asking him wrong when I don't ask right. 11 BY MR. HADDAD: 12 Q Did -- did you ever direct investigators to go 13 through Epstein's trash? 14 A No. 15 Q Okay. Here, I -- l -- I have to ask it again 16 a second time, l guess these guys can't ask a question 17 15 different ways. With regard to your investigators, 18 you gave direction regarding the Epstein cases during 19 the time which you were at RRA, did you ever tell them 20 or direct them to go through Mr. Epstein's trash? 21 A No. 22 Q Did you conduct surveillance of Epstein's 23 property? 24 A No. 25 Q Did you...
NOT A CERTIFIED COPY 1 2 3 4 5 6 7 8 9 10 11 12 13 14 15 16 17 18 19 20 21 22 23 24 25 1 2 3 4 5 6 7 8 9 10 11 12 13 14 15 16 17 18 19 20 21 22 23 24 25 Page 199 Q Okay. MR. GOLDBERGER: You are okay. BY MR. HADDAD: Q All right. Let me ask you this: Did you auth -- were any informants, comma, did you authorize your investigator to hire informants? A l don't even know what that means. Q Neither do I, but I am just asking the question. A Like a mole inside Epstein's house? Q l think so. A How could 1 possibly mean that? No, I did not. Regardless, the answer is no. Q I don't know, maybe you went to the Sunrise Police Department, it's in the news now, and got one of their informants to go out and hire somebody. A I didn't have that idea. MR. GOLDBERGER: Does he -- does he know if they went through the -- MR. HADDAD: Huh? MR. GOLDBERGER: Does he -- does he know if they went through the -- BY MR. HADDAD: Q Does anybody -- did anybody go through the trash? it. Page 200 A The police went through his trash. Q Well, I know the police did, I read that. A Right, that's all I -- and that's why I know Q Okay. Did the police hand you some of the stuff they found in his trash? A I got it the same way everybody else did, it was in the State Attorney's file, FOIA request, et cetera, I got the stuff from his trash. Q A four-year request? A Freedom oflnformation -- Q Oh, FOIA. MS. COLEMAN: FOIA, F-0-I-A. BY MR. HADDAD: Q I thought you said four-year request. My bad ear. A But, no. Q Okay. A Nobody that I know went through his trash. Q Let me ask, did you authorize any investigators to trespass on Epstein's property? A No. Q I guess March 17th must be a big day because there is 15 questions regarding March 17th, what was that day, besides St. Patrick day? Electronically signed by Wendy Roberts (201-049-665-8352) Electronically signed by Wendy Roberts (201-049-665-8352) Electro...
NOT A CERTIFIED COPY l 2 3 4 5 6 7 8 9 10 11 12 13 14 15 16 17 18 19 20 21 22 23 24 25 1 2 3 4 5 6 7 8 9 10 11 12 13 14 15 16 17 18 19 20 21 22 23 24 25 Page 203 about Sheer? MS. COLEMAN: Bill Sheer. BY MR. HADDAD: Q Bill Sheer, did you know he was partners with Sheer before he went with Rothstein? A I know that now. I did not know that then. Q Do you know whether or not Sheer actually used Rothstein as an attorney? A I think I have heard that since, but I didn't know that then. Q Okay. What is the existence of an entity called Blueline Research and Development, do you know what that is? A No. I think that there is a similar title, Blueline is a private investigation -- Q Okay. A -- firm of some sort. Q But did you ever use them, because that is probably what they are talking about? A During the time l was at RRA, I am assuming? Q Yeah. A No. Q I think all these questions were about when you were at RRA. A Right, I just -- I just wanted to clarify Page 204 that. Q Okay. Now, your -- your assoc -- the next subject of the matter is on the motion that -- that tumed to }v".if. Edvvards interac -- reported interactions with anyone associated with the Epstein case and the first question is -- excuse me -- during the time that you were with RRA -- excuse me, somebody else's handwriting -- and had investigation done on Mr. Epstein, was any of your investigation that you performed turned over to any person outside ofRRA or your clients? A No. Q You understood that? A I think that you were asking, did I do investigation, get evidence and then tum it over to somebody outside of the firm. Q That -- that's what the attempt of that question was. The answer is no? A Right. Q Okay. k'ld any of the directions that you ever gave to the investigators, did you ever put that in the form of memo, that is, would you give them written directions? A I would just talk to Mike. Q The d...
NOT A CERTIFIED COPY 1 2 3 4 5 6 7 8 9 10 11 12 13 14 15 16 17 18 19 20 21 22 23 24 25 1 2 3 4 5 6 7 8 9 10 11 12 13 14 15 16 17 18 19 20 21 22 23 24 25 Page 207 I Q And of course, Dershovitz, the other one is Amber Wexner, David Copperfield, all the rest of them, correct? A Yes. Q Okay. And there is no question about that, it's in all the rest of the discovery we got afterwards? A l was involved in the decision to take anyone's deposition that was -- Q And -- and l think there is an e-mail that we saw yesterday, we better do this to put pressure, an e-mail or something, it seems like yesterday, l guess it was this morning. Okay. Did you have any discussions within your firm regarding the taking of the depositions of several -- of celebrities or famous people who were purportedly on Mr. Epstein's plane, so that they could be deposed such that would be an inducement to Mr. Epstein to settle his lawsuit? A Was I involved in a discussion? Q Yeah, well, you know, what this question is asking, did you guys decide to take some depositions so you could induce him to settle the lawsuit, that is, almost like pressure. I guess inducement means pressure, doesn't it, lure, pressure? A Do you want the short answer or the long Page 208 answer? Q Probably the short answer first. MR. KJNG: The right answer. A The correct ans\ver is this. \\7hat \Ve k.tT}e\,V at the time was that -- BY MR. HADDAD: Q This is going to be the long answer. A It is going to be. It is going to be, but to be complete, I have no other choice. What we knew at the time is that Jeffrey Epstein was molesting children literally every day. So we tried to take his deposition and he took the fifth. We tried to take his various co-conspirators' depositions and they took the fifth. We tried to take the next tier of people that we knew information about him molesting these children and they had lawyers who were paid for by...
NOT A CERTIFIED COPY 1 2 3 4 5 6 7 8 9 10 11 12 13 14 15 16 17 18 19 20 21 22 23 24 25 1 2 3 4 5 6 7 8 9 10 11 12 13 14 15 16 17 18 19 20 21 22 23 24 25 Page 211 the book was made public? A relevancy objection by Mr.King. A Did I contact any people? Q First good objection so far. Does Scarola read these things? A I don't think so. Q Scarola doesn't read them or-.-.-. A I don't think so. Q Scarola doesn't read them? A I don't even know what question is on the table right now. MR. KING: I think you -- you directed that last question to me. MR. HADDAD: Yeah, I know. BY MR. HADDAD: Q Did you -- did you have contact with any persons who were listed in the book that was eventually produced by Mr. Rodriquez after he got arrested and -- A I don't remember. Q -- and the book was made public? A I don't remember. Q Were you the Cl that turned over Mr. Rodriquez? A Yes. Q Okay. And that wasn't even here, but thanks. Page 212 Well, along the lines that were taken the last time with regard to whatever work product was involved, that didn't take Inspector Clouseau to figure that out, anyhow. A I don't think I am telling anybody anything they don't already know. Q Yeah, I -- I know. I didn't want it to seem like I was that smart but-.-.-. Well, along the lines that were taken with regard to whatever work product was involved in the investigation in light of the current state of the case, you know, who asked these questions? Even -- A ls it a question? Q Never mind, I'm am reading Mr. King's objection. That's not a question. MR. KING: That's right. MR. HADDAD: He didn't want to be a Cl. He wanted the book. We will get to that later. That's a good trial question. MR. GOLDBERGER: Oh, I'm sorry. MR. HADDAD: That's okay. We don't call them Cls, we call them cooperative concerned citizens. Right? MS. COLEMAN: Or narc. MR. HADDAD: No, there's no drugs involved. A Electronically sign...
NOT A CERTIFIED COPY 1 2 3 4 5 6 7 8 9 10 11 12 13 14 15 16 17 18 19 20 21 22 23 24 25 1 2 3 4 5 6 7 8 9 10 11 12 13 14 15 16 17 18 19 20 21 22 23 24 25 Page 215 cases was coming from, the source of the money to pay the extensive bills that were being incurred on Epstein and other cases? A The law firm. Q Okay. And that was based -- MR. HADDAD: Jack, do you want -- do you want me to stop and take a break so you can tell me what to follow up with? MR. GOLDBERGER: No. MR. KING: Just so -- just so you know, he did answer that at the bottom but -- MR. HADDAD: Yeah. MR. KING: -- in the last line. MR. HADDAD: l saw it now. He said the law firm. A Good. BY MR. HADDAD: Q And -- and let me just ask you this. ln regards to the law firm at that time, and l know we have been through this before, there was no perception of the law firm being involved in anything other than legal activity? A Of course not. And other than being involved in legal activity. Q Legal activity, yeah, that was representing Page 216 Sheer, had -- A You were talking fast. It's -- I wanted to be sure there wasn't an issue. Q I k.i~oiv, but I "vVasn't trying to sneak one in. l did that with the other thing. But any rate, Sheer, representing Sheer, it represented everybody in town, it was repres -- it was -- you were -- you were playing around with John McCain and all those right-wingers, tea-party people and all that other -- not -- not you, but you know what l mean, taking care of all of that, right? So it gave the appearance of a legitimate law firm? A Yeah, it was a le -- it was, to everybody else, a legitimate Jaw firm. Q Except for nobody in town, just you guys at and the firm. But anyway -- A You should have shared that with Russ Adler before. Q I knew that was coming. Okay, hourly billing confirmed, :financial privacy. Okay. These questions aren't too bad. MR. HADDAD: Okay. Thanks, Darren. Tiffi WITNESS:...
NOT A CERTIFIED COPY l 2 3 4 5 6 7 8 9 10 11 12 13 14 15 16 17 18 19 20 21 22 23 24 25 l 2 3 4 5 6 7 8 9 10 11 12 13 14 15 16 17 18 19 20 21 22 23 24 25 Page 219 senled a big church case with one of those priests with the Archdiocese? A No. Q Okay. So how much were you making? MR. KING: The same objection, based on the Court's rule. MR. HADDAD: Okay. Then -- okay. MR. KING: Let me -- let me just -- let me just touch base with him on one -- on one issue relating to that. MR. HADDAD: Yeah. MR. KING: Because again, we don't want to come back. THE VIDEOGRAPHER: The time is I :46 P.M. We are now coming off of the video record. This is the end of Tape No. 2. (Thereupon, a discussion was had off the record.) MR. KING: Let me just tell you our position on -- THE VIDEOGRAPHER: The time is 1 :49 P.M. We are now back on the video record. This is the start of Tape No. 3. MR. KING: Sorry. THE VIDEOGRAPHER: No problem. Page 220 MR. KING: Let me tell you what our position is. These questions, to the extent I believe all of them are directed for him to say -- are asking, what did you tell Rothstein about vvhat you were making and what did you tell Rothstein about what you expected to make, we will let him answer those questions. MR. HADDAD: Okay. MR. KING: I think those are the questions to which the objections were made and I don't think it goes beyond, and then -- but to the extent that there are any questions about how much did you make -- MR. GOLDBERGER: Right. MR. KING: -- at any time, then it falls within the Court's order. So let's -- MR. HADDAD: No. MR. KING: -- let's -- if you want to go that -- MR. HADDAD: Can you answer his question, because I don't want to -- let him answer the questions. A I don't remember what I told him either. What I had previously made or what I expected, I don't remember that conv -- that part of that conversation Electronically signed by Wendy Rober...
NOT A CERTIFIED COPY l 2 3 4 5 6 7 8 9 10 11 12 13 14 15 16 17 18 19 20 21 22 23 24 25 1 2 3 4 5 6 7 8 9 10 11 12 13 14 15 16 17 18 19 20 21 22 23 24 25 Page 223 MR. KJNG: Right. BY MR. HADDAD: Q Okay. I am just going to -- how much -- how much -- A Do you read questions off your hand now? Q That's how I do everything. Okay. Did anybody else hire Kendall Coffey, that you know of, on any cases? It's not you, so it can't be privileged. MR. KJNG: Well, because -- because we have asserted the privilege, I -- I believe it is -- it's appropriate to inquire about why that privilege was asserted. MS. COLEMAN: I'm sorry, did you say which privilege it was? MR. KJNG: The attorney-client privilege. We asserted attorney-client privilege to a previous question. MR. HADDAD: Well, that was about all the different lawyers that were involved. MR. KJNG: No, no. You had asked him whether or not -- one of the questions in here was, did you consult with -- with Kendall Coffey about a subject. MR. HADDAD: Oh, that was about whether he consulted Kendall Coffey about the guy that -- Page 224 Rodriguez. MR. I<JNG: Right. I\.1R. HADDAD: The boy. :r-.1R. KING: .A.id we asserted the privilege -- MR. HADDAD: You asserted the privilege on that, but this is just hiring without ever consultation. Did any -- BY MR. HADDAD: Q Well, let me just ask it and then you can just say what you want to. Did any of the lawyer -- other lawyers who are now listed as your expert witnesses ever hire Kendall Coffey, to your knowledge, not consult, what they did with him? A I don't know. Q You don't know. What was your involvement with Conchita Sarnoff in the Rodriguez case? A Nothing. Q Okay. Did -- did RRA ever hire Kendall Coffey, to your knowledge? THE WITNESS: I can answer? MR. KING: Urnm-hmrn. A Yes. Electronically signed by Wendy Roberts (201-049-665-8352) Electronically signed by Wendy Roberts (201-049-665-...
NOT A CERTIFIED COPY 1 2 3 4 5 6 7 8 9 10 11 12 13 14 15 16 17 18 19 20 21 22 23 24 25 1 2 3 4 5 6 7 8 9 10 11 12 13 14 15 16 17 18 19 20 21 22 23 24 25 Page 227 A I don't know, but it was Jess than $25,000, you were right in the last motion, I don't know exactly what it was though. Q Okay. So at least not that they should, you went with a big finn and they had the money to produce -- the ability to prosecute these cases? A Any cases, right. Q Yeah, I mean, I understand, you didn't have any other cases -- oh, yeah, you did. A Right, I did. Q Okay. Did you share info with Conchita Sarnoff? A I shared public infonnation with her. Q Is that that reporter from New York? A Right. Q Because they didn't put down who it was and I'm asking questions. A Right. Q Okay. MR. GOLDBERGER: Well done, way to figure it out. MR. HADDAD: Huh? MR. GOLDBERGER: Way to figure it out. MR. HADDAD: I never met somebody named Conchita unless she was dancing down in a place in Page 228 Mexico when I was down there drinking. Okay. Wasn't that Conchita's Cafe in -- down in West Texas, town ofEI Paso? MS. COLElVlAN: Yes. MR. HADDAD: Marty Robbins -- beautiful -- yes. Okay. BY MR. HADDAD: Q While you were there with RRA living the high life, as it were, did you make political contributions at all? A No. Q Okay. Did they make contributions in your name? Did you ever become aware whether or not Scott was making contributions in your name, because he made a contribution in tons of people's names and covered it up? A Not that I know of. Q Okay. A No one's ever told me that to this date. Q Because you look like a Republica.T1, I t.houg.ht maybe that they would have done that. Did you have contact with the U.S. Government in this -- Epstein civil cases? A What? MR. HADDAD: I don't understand the question, Electronically signed by Wendy Roberts (201-049-665-8352) Electronically signed by Wendy ...
NOT A CERTIFIED COPY Page 231 1 MR. EPSTEIN: Yes. 2 MR. GOLDBERGER: Okay. 3 BY MR. HADDAD: 4 Q Okay. So there were no changes to the 5 settlement agreements. 6 The other thing is, have you had any contact 7 with Maria Villafranca -- fianca lately in the last 8 year, say? 9 A Villafana. Yes. 10 Q And are you still maintaining contact with her 11 regarding the litigation? 12 A What litigation? 13 Q Well, the CVRA? 14 A We have no choice, but we are engaged in 15 litigation with the Government and she is one of the 16 people that participated. 17 Q All right. And so you maintain contact with 18 her regarding that litigation? 19 A Right. 20 Q All right. Are you meeting with her at ail in 21 the possibility of prosecuting or re-prosecution and 22 discussing that with her, or just the -- 23 A That has never been discussed. 24 Q Okay. Now, lastly -- 25 MR. GOLDBERGER: Go ahead. Page 232 1 MR.HADDAD: Go ahead. No, tell me. 2 ( conferring). Oh. 3 BY MR. HADDAD: 4 n Have you discussed \Vith her this case tl-iat· you '-< 5 are doing right now -- 6 A No. 7 Q -- involved in this case? 8 A I don't believe so. 9 Q Do you lmow if she runs over to the Courthouse 10 to look at the docket, what do you call that, PACER? 11 That's Federal, whatever you call the docket. 12 A I have no idea. 13 Q All right. Let's go back to the last thing I 14 wanted to do and I had forgotten about it, was damages. • 15 What are you -- what are you still claiming for damages, 16 other than the lost time, anything else? 17 A It hasn't changed since last time. 18 Q I don't remember what I asked you, I don't 19 remember what you said. 20 MR. K_TNG: You got into a very detailed 21 reputation. 22 MR. HADDAD: Is he still -- he is not claiming 23 reputation anymore. 24 BY MR. HADDAD: 25 Q You have a reputation better than ever. What Electronically signed by Wendy Roberts (201-049-665-8352) Electronically ...
NOT A CERTIFIED COPY l 2 3 4 5 6 7 8 9 10 11 12 13 14 15 16 17 18 19 20 21 22 23 24 25 l 2 ·3 4 5 6 7 8 9 10 11 12 13 14 15 16 17 18 19 20 21 22 23 24 25 Page 235 \ A Yes. MR HADDAD: Any -- all right. MS. COLEMAN: You have any -- can 1 ask the question? :MR. HADDAD: Yeah. :MR. GOLDBERGER: lt will get us out of here quicker if you let Tonya. MS. COLEMAN: Okay. CROSS-EXAMJNA TION BY MS. COLEMAN: Q Do you have any documentation that would support the claim of financial loss with respect to any injury to your reputation or your emotional distress, which you claimed previously? A I never made a claim for financial loss in this case. And -- Q Do you have any -- A -- emotional distress is what I testified about last time, is that it is a matter of who it is that is suing me and the level of stress and anxiety that has gone along with that is certainly extreme. And I have been and remain to be in fear for my safety because of him. So will that -- is that still the same? Yes, it's the same now, was then, you know. Q How do you plan to quantify that? Page 236 THE WITNESS: Should I answer this, I mean -- :MR. KING: Hold on, hold on a second. THE WITNESS: I can answer it with a question, maybe. :MR. KING: No, no. THE WITI'JESS: Okay. :MR. KING: Ultimately, the quantification is up to a jury. But it's fair -- it would be fair to inquire. He can't put a number on it and it's unfair to ask witnesses to put a number on a matter that a jury is going to respond to and I would object if that's the intent of your question. MS. COLEMAN: It is not. :MR. KING: If -- if there is a proper more precise question, 1 will let him answer. But that question calls for -- that's an inappropriate question, in that it call -- it asks for what he thinks the number might be or what a jury might evaluate it to be. At least, arguably, it could be construed that way. MS. COLEMAN: I mean -- :MR. KING: If you...
NOT A CERTIFIED COPY
1
2
3
4
5
6
7
8
9
10
11
12
13
14
15
16
17
18
19
20
21
22
23
24
25
1
2
3
4
5
6
7
8
9
10
11
12
13
14
15
16
17
18
19
20
21
22
23
24
25
Page 239
read. So therefore, l have not had a phone call where
somebody has said, hey, Brad, l was going to hire you
but l read this and, so, therefore, l'm not, and l am
hiring some other person, which is the only context in
which that could ever arrive.
Q
But have you always advertised Jeffrey Epstein
on your firm Web site since you guys founded Farmer
Jaffe?
MR. KING: All right. Look, l'm going to
object. This is repetitious and now we are
getting -- we are getting to other lawyers asking
questions well beyond.
MR. HADDAD: All right, fine.
BY MR. HADDAD:
Q
When was the last time you talked to Marie, by
the way, Villafrankie {SIC}?
A
I don't -- I don't remember.
Q
Within the last month?
A
No.
Q
Okay. And 1 had one good question and it
escapes me.
A
It's on your hand.
Q
No, that wasn't the one that was on my hand.
Uh, It was on damages, I will worry about it later. One
second.
Page 240
MR. HADDAD: Huh?
MR. GOLDBERGER: The safety stuff, he says he
got some--
I\.1R. Pi.ADDAD: Oh, yeai½, yea.½) yeah.
BY MR. HADDAD:
Q
How many bodyguards have you hired for your
safety?
A
I haven't hired bodyguards.
Q Have you changed -- have you changed your
place ofliving, hiding in an apartment, in a
safe-house, witness protection?
A
Not in witness protection.
Q Has anybody made any threats to you,
surveilled you, followed you?
A
Yes.
Q Now, recently?
A
Well, I don't know about recently whether they
have or have not. 1 know that in the past, people did.
Q For purposes of -- you don't know what
purposes for -- for preparing for litigation, like
people do, you know, with those videotapes like the guys
who said they got bad legs and they play golf when no
one is looking?
A
Right. There is a purpose behind that
surveillance. ...
NOT A CERTIFIED COPY l 2 3 4 5 6 7 8 9 10 11 12 13 14 15 16 17 Page 243 MR. KJNG: Can we detennine that this -- this deposition is concluded? MR. HADDAD: Yes. MR. KJNG: All right. Thank you, sir. THE VJDEOGRAPHER: The time is 12:00 P.M. We are now coming off the video record. This is the end of Tape No. 3. (Thereupon, a discussion was had off the record.) THE REPORTER: Do you want to read this? THE WlTNESS: Oh, l can't wait. MR. KJNG: Yeah, he will read. Do you want to go back on the deposition. He will read. THE REPORTER: And do you want one if this ordered? MR. HADDAD: l can't afford it. MS. COLEMAN: l will take it. 18 THE REPORTER: Do you want a copy of the 19 transcript? 20 MR. KJNG: Yeah. 21 (Thereupon, a discussion was had off the 2 2 record.) 2 3 (Witness excused.) 2 4 (Thereupon, Plaintiffs Exhibit Nos. l and 2 2 5 were marked for identification.) Page 244 (Deposition was adjourned at 2:30 P.M.) AND FURTHER DEPONENT SAlTH NOT SIGNATURE OF WITNESS STATE OF FLORIDA BROW ARD COUNTY SUBSCRIBED AND SWORN to before me this day of , 2013 at Broward County, Florida. Notary Public, State of Florida at Large Commission No: My Commission Expires: Electronically signed by Wendy Roberts (201-049-665-8352) Electronically signed by Wendy Roberts (201-049-665-8352) Electronically signed by Wendy Roberts (201-049-665-8352) CERT!FlCATE OF OATH ST A TE OF FLORJDA COUNTY OF BROWARD l, the undersigned authority, certify that BRADLEY EDWARDS personally appeared before me and was duly sworn on the 10th day of October, 2013. Witness my hand and official seal this 24th day of October, 2013. Wendy Roberts Registered Professional Reporter Notary Public, State ofFlorida at Large Commission No.: EEl 78268 My commission expires: March 29, 2016 CERTIFICATE STATEOFFLORIDA,) COUNTY OF BROWARD. ) l, WENDY ROBER TS, Registered Professional Reporter and Notary Public in and for the State of Florida at Large, d...
NOT A CERTIFIED COPY EMPIRE LEGAL SUPPORT, INC. 401 EAST LAS OLAS BOULEY ARD, STE 1400 FORT LAUDERDALE, FL 3330 I To: BRADLEY EDWARDS, ESQUIRE Fanner Jaffe Weissing Edwards Fistos Lehnnan 425 North Andrews Avenue, Suite 2 Fort Lauderdale, Florida 33301 Re: CASE NO.: 502009CA040800XXXXMBAG I Dear BRADLEY EDWARDS, Your deposition taken in the above entitled cause is now ready for signature. Please come to this office and sign same; or if you "~sh to waive the signing of the deposition, please so advise. If this deposition has not been signed within 30 days of today's date, October 24th, 2013, we shall consider your signature waived. Your prompt attention in this matter is appreciated. Sincerely, - .• Wendy Roberts; RPR DEPOSITION ERRATA SHEET Our Assignment No. 12217 Case Caption: JEFFP~Y EPSTEfr~ vs. SCOTT RO1HSTEIN DECLARATION UNDER PENALTY OF PERJURY I declare under penalty of perjury that I have read the entire transcript of my Deposition taken in the captioned matter or the same has been read to me, and the same is true and accurate, save and except for changes and/or corrections, if any, as indicated by me on the DEPOSITTON ERRATA SHEET hereof, with the understanding that I offer these changes as if still under oath. Signed on the ___ day of , 2013. BRADLEY EDWARDS Electronically signed by Wendy Roberts (201-049-665-8352) Electronically signed by Wendy Roberts (201-049-665-8352) Electronically signed by Wendy Roberts (201-049-665-8352) DEPOSITION ERRATA SHEET Page No. __ Line No. __ Change to: Reason for change: Page No. __ Line No. __ Change to: Reason for change: Page No. __ Line No. __ Change to: Reason for change: Page No. __ Line No. __ Change to: Reason for change: Page No. __ Line No. __ Change to: Reason for change: Page No. __ Line No. __Change to: Reason for change: Page No. __ Line No. __ Change to: Reason for change: SIGNATURE: DATE: BRADLEY EDWARDS DEPOSITION ERRATA SHEET Page No. __ ...
NOT A CERTIFIED COPY ✓ IN THE CIRCUJT COURT OF DIE 15TH JUDICIAL CIRCUJT, IN AND FOR PALM BEACH COUNTY, FLORIDA CASE NO.: 502009CA040800XXXXMBAG JEFFREY EPSTEIN, Plaintiff, vs. SCOTT ROTHSTEIN, individually, and BRADLEY J. EDWARDS, individually, . Defendants. ____________ _;/ VIDEOTAPE DEPOSITION OF BRADLEY EDWARDS May 15th, 2013 10:00 A.M. - 12:20 P.M. 40 I East Las Olas Blvd., Suite 1400 Fort Lauderdale, FL Stenographic ally Reported By: WENDY ROBER TS, RPR Notary Public, State of Florida Empire Legal Support, Inc. Fort Lauderdale Office Phone:(954)241-l0I0 APPEARANCES: ATTORNEY(S) FOR MR. EPSTEIN: TONJA HADDAD COLEMAN, ESQUIRE Tonja Haddad, PA 315 SE 7th St Ste30I Fort Lauderdale, Florida 333013158 Phone: 954.467 .1223 Fax: 954.337.3716 E-Mail: Tonja@tonjahnddad.com FRED HADDAD, ESQUIRE Fred Haddad PA J Financial Plz Ste 2612 Fort Lauderdale, Florido 33394006I Phone: 954.467.6767 Fa.x: 954.467.3599 E-Mail: Haddadfin@aoJ.com JACK GOLDGERGER., ESQUIRE Anerbury Goldberger Et Al 250 S Australian Ave Ste 1400 West Palm Beach, Florida 334015015 Phone: 561.659.8300 Fax: 561.835.8691 E-Mail: Jgoldberger@agwpa.com ATTORNEY FOR BRADLEY EDWARDS: WJLLIAM KJNG, ESQUIRE Searcy Denney Scarola Et Al 2139 Palin Bench Lakes Blvd West Palm Bench, Florida 334096601 Phone: 56Ui86~6300 • Fa.,: 561.684.5816 E-Mail: \li'bk@searcylaw.com ALSO PRESENT: JEFF EPSTEIN, PLAINTIFF DEBRA FEIN, LAW CLERK EMPIRE Electronically signed by Wendy Roberts (201-049-665-8352) Electronically signed by Wendy Roberts (201-049-665-8352) Electronically signed by Wendy Roberts (201-049-665-8352) Page 2 ( 1 2 3 4 5 6 7 8 9 10 11 12 13 14 15 16 17 18 19 20 21 22 23 24 Page 3 INDEX WlTNESS: Page BRADLEY EDWARDS Direct Examination by MR. HADDAD 4 EXHIBITS PLAlNTIFPS: EXHIBITS: Description Page No. l part of Farmer, Jaffe, Weissing Web site 93 No. 2 from the Web site 93 No. 3 from the Web site 93 No. 4 from the ...
NOT A CERTIFIED COPY Page 5 l THE COURT REPORTER: Would you raise your hand 1 2 to be sworn in, please. Do you solemnly swear the 2 3 testimony you are about to give in this case will 3 4 be the truth, the whole truth and nothing but the 4 5 truth, so help you God? 5 6 THE WITNESS: Yes. 6 7 Thereupon: 7 8 BRADLEY EDWARDS 8 9 having been first duly sworn or affirmed, was 9 10 examined and testified as follows: 1 O 11 DIRECT EXAMINATION 11 12 BY MR. HADDAD: 12 13 Q State your name, please. 13 14 A Brad Edwards. 14 15 Q All right. And is that your practicing name 15 16 or your legal name? 16 17 A My practicing name. 1 7 18 Q All right. You're Bradley Edward, what's your 18 19 middle name? 19 20 A Bradley James Edwards. 2 O 21 Q Okay. You're how old? 21 22 A ■· 22 23 Q Okay. You were admitted to practice when? 2 3 24 A 2002. 2 4 25 Q All right. So that's 13 years you have been 2 5 Page 6 1 practicing -- no, 11 years? 1 ; ... 2 A Y~. 2 3 Q Ail right. And my recollection is you gave a 3 4 deposition in 2010, correct? 4 5 A C01Tect. 5 6 Q A couple hundred pages of depositions? 6 7 A Correct. 7 8 Q All right. And I am not here to reinvent the 8 9 wheel or reinvent the deposition. I ]mow what you said 9 10 then. We've had three years elapse since that time so I 10 11 just want to catch up a little bit to start with. You 11 12 spent some time in the State Attorney's Office, correct? 12 13 A Correct. 13 14 Q How many years? 14 15 A Roughly three. 15 16 Q All right. And when you left the State 16 17 Attorney's Office, were you a division prosecutor, 1 7 18 special units prosecutor? 18 19 A Division prosecutor. 19 20 Q Which division were you in when you left, if 2 0 21 you recall? 21 22 A JudgeGates. 22 23 Q Okay. And were you the lead? 2 3 24 A Yes. 24 25 Q And how long had you had the lead in that 2 5 Page 7 division? ...
NOT A CERTIFIED COPY Page 9 1 personal injury tort lawyer. He did mainly qui tam and 2 class action, which was a separate division ofRRA. 3 Q All right. Now, you left that firm obviously 4 for the obvious reason, there was no firm, and you guys 5 started your own firm; would that be fair? 6 A I started my own firm with some of the other 7 people that were previously at RRA, correct. 8 Q All right. And my recollection is you are an 9 association ofP.A.s, correct? 10 A Yes. 11 Q P.A., that's another association of P.A., am I 12 correct? 13 A The cmTent firm that I'm at? 14 Q Yeah, yeah. 15 A Yeah. 16 Q You are Bradley Edwards, P.A., as part of the 17 rest of the firm P.A., correct? 18 A You have the right idea. 19 Q Huh? 20 A You have the right idea. 21 Q Thank you. 22 MR. GOLDBERGER: He's an LLC. 23 MR. HADDAD: Huh? 24 MR. GOLDBERGER: He's an LLC, that's what he's 25 trying to tell you. Page 10 - 1 A Yeah, but you are on the right track, I got 2 you, we understand each other. / 3 MR HADDAD: We are the same, Jack. You know, 4 us poor sole practitioners don't get along with 5 that sort of thing, you know. We are from the old 6 school, we don't need to keep books. 7 BY MR. HADDAD: 8 Q So at any rate, you became with that film, 9 correct? 10 A Yes. 11 Q All right. Now, you brought with you, and I'm 12 not going through all of this other stuff, the Epstein 13 cases, correct? When you went to RRA, that was part of 14 the reason Russell was asking you to come in? 15 MR. KING: I'm going to object because this is 16 repetitious. 17 MR. HADDAD: I understand that. 18 MR KING: It was all done in his first depo. 19 I'm giving you a little lee'wafhere so_: 20 MR. HADDAD: Yeah, I understand. I'm just 21 trying to lead into this. I am not trying to go 22 into that all over again. 23 BY MR. HADDAD: 24 Q It's just from more of a pointing chip for the 25 deposition, correct? 1 2 ...
NOT A CERTIFIED COPY 1 2 3 4 5 6 7 8 9 10 11 12 13 14 15 16 17 18 19 20 21 22 23 24 25 1 2 ·, 3 4 5 6 7 8 9 10 11 12 13 14 15 16 17 18 19 20 21 22 23 24 25 Page 13 summer of 2008. I don't know the exact month. 1 Q All right. And is it near resolution? 2 A I don't know. 3 Q Is -- can you tell me the style of the case? 4 A Yes, it's Jane Doe I and Jane Doe II versus 5 United States of America 6 Q All right. And the purpose of that lawsuit is 7 to do what? 8 A Hold the United States Attorney's Office and 9 Government responsible for violating the rights of the 10 victims in that particular case. 11 Q By entering into a settlement agreement with 12 tv'.lr. Epstein? 13 A It has nothing to do with Mr. Epstein. He 14 voluntarily intervened into the case; had something to 15 do with discovery that we were trying to get. 16 Q All right. 1 7 A I think Roy Black represents him in that. 18 Q Okay. And that's for the -- okay, I will let 19 it go at that for just a minute. 2 0 The ultimate result of what you are seeking in 21 it that suit is what? 2 2 A Something that compensates the victims. 2 3 Q Financially or otherwise? 2 4 A I don't believe the Crime Victims' Rights Act 2 5 Page 14 allows for financial recovery. 1 Q What -- what recovery does it allow? 2 A Well, that's part of -- that is what that 3 lawsuit is about, I mean, I think that we have proven 4 that there was a violation, now we're at a stage where 5 there is an attempt to uncover what Judge Marra believes 6 is the appropriate remedy for the violation. 7 Q All right. 8 A And I don't know what his result is going to 9 be. 10 Q All right. 11 A It's going to be a judge-made decision. 12 Q I'm sorry. That lawsuit has been pending 13 since 2008, you said, correct? 14 A That was the first of all of the lawsuits that 15 was filed. 16 Q All right. 1 7 A Yes. 18 Q And...
NOT A CERTIFIED COPY 1 2 3 4 5 6 7 8 9 10 11 12 13 14 15 16 17 18 19 20 21 22 23 24 25 1 2 ··' 3 4 5 6 7 8 9 10 11 12 13 14 15 16 17 18 19 20 21 22 23 24 25 Page 17 of this lawsuit and because of the suit that WcJ.S 1 filed, I think it's totally relevant. 2 MR. KING: Well, I -- I -- 3 MR. HADDAD: If you wantto instruct him not 4 to answer, we can take it up before a judge. 5 MR. KING: Right. I disagree. 6 MR. HADDAD: It's up to you, Mr. King. 7 MR. KING: I disagree. 8 MR. HADDAD: That's why we have judges. 9 MR. KING: I will allow you some -- some 10 leeway there, but then I'll evaluate it as you go 11 along. 12 MR. HADDAD: Can you give me his answers 13 per diem? 14 BY MR. HADDAD: 15 Q So I will ask the question again, how much 1 6 time -- and see what the leeway is -- how much time 1 7 would you say roughly you devoted -- let's -- okay, 1 8 let's call it since to 2010, since your last deposition 1 9 'til today, approximately? 2 0 A I don't !mow. If you showed me the docket on 21 that case or something that would help me, then I could 2 2 approximate a little better, but I really don't know. 2 3 Q All right. Just for -- in your answers to 2 4 interrogatories, you have been obligated to divert -- 2 5 Page 18 your response was: "To divert time, effort and attention from the productive practice of his profession to defend tortious misconduct of Epstein. Every minute the verdict -- verdict from his professional pursuits impeded his ability to advance the claims and interest of existing clients and precluded him from taking other and additional responsibilities. Time records made available in response to Epstein's response, request to produce detail, at a minimum, the extent of the diversion he is suffering." So you obviously must have been aware of these when you produced these and filed these responses to interrogatories. I'm just asking for an approximat...
NOT A CERTIFIED COPY Page 21 1 Q Was that the Government who filed it or was it 1 2 someone intervening who filed it? 2 3 A It wasn't someone intervening. It was either 3 4 the Government filing a motion or the Court sua sponte 4 5 issuing -- I don't remember it being an order, but I 5 6 remember seeing some notification that it was going to 6 7 be dismissed or something along those lines. 7 8 Q All right. I think since I started with this, 8 9 with the diversion of time, effort, when you started the 9 10 law firm in 2000 -- well, 2009 you started the law firm, 10 11 correct, October of 2009, your deposition was in 11 12 Febmary of2010; as I recall, correct? 12 13 A Okay. I'm taking your word for it. 13 14 Q Well, do you think I would bull -- I would 14 15 make a misrepresentation to you? 15 16 A Not intentionally. 1 6 17 Q Well, I just did because it was March 23rd. 1 7 18 A There we go. 1 8 19 Q I apologize so~.~.~. I forgot we have a video 19 20 recording. I almost slipped and thought I was in 2 0 21 trial -- in crirni nal court. 2 1 22 At any rate, March 23rd, so that would have 2 2 23 been five months after you went into practice, cmTect? 2 3 24 A Five months after we started -- 2 4 25 Q You started the firm? 2 5 Page 22 - 1 A -- our current law firm. 1 2 Q All right. Now, when RRA imploded, you 2 3 started the current finn, were all the named partners in 3 4 that firm members ofRRA? 4 5 A Yes. 5 6 Q Farmer, Jack. Matt Weissing had been over 6 7 th~? 7 8 A Yes. 8 9 Q All right. And you all regrouped. Where are 9 10 your offices located now? 1 0 11 A Andrews A venue. 11 12 Q Where? 12 13 A 425. 13 14 Q Andrews A venue, north or south? 1 4 15 A Just south of Maguire's, north of Broward. 15 16 Trying to give you landmarks you may know. 1 6 17 Q No, nothing is better for you guys than that 1 7 18 law firm, that -- I tell you, I u...
NOT A CERTIFIED COPY 1 2 3 4 5 6 7 8 9 10 11 12 13 14 15 16 17 18 19 20 21 22 23 24 25 - 1 2 3 4 5 6 7 8 9 10 11 12 13 14 15 16 17 18 19 20 21 22 23 24 25 Page 25 produced this time record. With respect to reputation, I believe that over the course of the last three years I have done a pretty dam good job resurrecting any damage that was done to my reputation in this community. Q Well, let's -- let's start with that. You don't -- you never had a reputation damage, did you? MR. KING: Objection, form. BY MR. HADDAD: Q Okay. What damage, if any, did you initially have done to your reputation by the filing of a lawsuit against you that suggested that you were so aggressive as a lawyer someone was going to sue you? A No, the iawsuit that was fiied against me -- MR. KING: Object to form, argumentative. A The lawsuit that was filed -- MR HADDAD: I was paying a compliment. MR. KING: Yes. Go ahead. A The lawsuit that was filed against me said that I was part of some racketeering scheme, said that I was involved in a Ponzi scheme, that I was co-conspirator of Scott Rothstein's and that I was committing fraud and conspiracy to commit fraud. A bunch of criminal actions were alleged against me. In fact, I thinlc the complaint was entirely crimes that I Page 26 1 2 3 4 5 6 7 8 9 10 11 12 13 14 15 16 17 18 19 20 21 22 23 24 25 had committed as a lawyer, which is the exact opposite 1 ofthe type of reputation that you want as a lawyer. 2 With that being said, that complaint, the 3 various motions maki!1g those allegations about me being 4 some form ofco.:conspirator in a Ponzi scheme was 5 repeatedly filed and stated on the record and in 6 hallways over at the bankruptcy court, because every 7 lawyer who was imybody in South Florida had something to 8 do with the bankruptcy proceedings over at the 9 bankruptcy court. So I had to go over there 1 0 continuously and...
NOT A CERTIFIED COPY 1 2 3 4 5 6 7 8 9 10 11 12 13 14 15 16 17 18 19 20 21 · 22 23 24 25 Page 29 his lawyers. 1 Q Let me ask you this as a lawyer. Let me ask 2 you this as a I awyer. You are a prosecutor, correct? 3 A Yes. 4 Q And I read in your deposition you didn't do 5 RJCO cases and you didn't really do economic crimes, 6 correct? 7 A Right. 8 Q All right. Did you investigate cases? 9 A Yes. 10 Q Okay. And you're aware that in the instance 11 of this case that Mr. Rothstein used, and I mean it's 12 hundreds of pages to your depo that I'm not going to 13 reinvent the wheel on or !O's of20 pages that 14 Mr. Rothstein had your boxes and your cases included in 15 a room right upstairs here wher_e he brought in 1 6 investors, correct? 1 7 A I am aware of that. 18 Q And he used your cases, Bradley Edwards' cases 1 9 to lure investors into his fraudulent schemes, you've 2 0 testified to that in bankruptcy court and other courts, 21 haven't you? 2 2 MR. KING: Objection, form. 2 3 MR. HADDAD: Oh, excuse me, you are right 2 4 counsel, I'll try. 2 5 Page 31 obviously, that Scott preyed upon you, as it were. You were one of Scott's victims. No -- no -- incredibly -- not -- not incredibly because Scott would do that to anybody, you were one of Scott's victims. He didn't care two cents about using you; would you agree? A Clearly. Q Obviously, he put you in that position, correct? A Clearly. Q He brought you in and every single investor, whether they were criminal investors or not criminal investors, were led to believe that Bradley Edwards was assisting him and using his cases to promulgate these settlements, correct? A I don't !mow that at all -- Q All right. Well, you've heard that from Sheer-- A -- to be true. Q -- when he won his verdicts and his lawsuits, didn't you? I am just asking -- A No. Q -- if you familiarized yourself with -- A No. Q -- that tome that...
NOT A CERTIFIED COPY Page 33 1 A A complaint that was -- 1 2 Q Umm-hmm. 2 3 A -- filed but never served -- 3 4 Q Yeah. 4 5 A -- against Epstein? 5 6 Q Yeah, a complaint that was -- 6 7 A By Scott Rothstein? 7 8 Q No, by you? You signed it -- 8 9 A Oh, did 1? 9 10 Q Yeah. And it was a misspelling of some type. 10 11 A Fred, just ask me a question, 1 will answer 11 12 it. You are asking so many different things. 1 don't 12 13 know what you are talking about. 13 14 Q Do you remember filing another lawsuit at the 1 4 • 15 time Rothstein's Ponzi scheme was falling apart? 15 16 A Did I file a lawsuit-- 16 17 Q Yes -- l 7 18 A -- when Scott Rothstein's -- 1 8 19 Q -- that was never served? 1 9 20 A -- Ponzi scheme was falling apart? 2 0 21 MR. HADDAD: Let me just see, Jack Do you 21 22 want to take over? 2 2 23 BY MR. HADDAD: 2 3 24 Q Okay. You don't remember a Federal court 2 4 25 case? 2 5 Page 34 -- 1 A About Jeffrey Epstein. 1 2 Q Umm-hrnm. 2 3 A Or about -- it had nothing to do with 3 4 Rothstein? 4 5 Q No, Jeffrey Epstein. 5 6 A Okay. 6 7 Q A lengthy Federal case against Mr. Epstein? 7 8 A I filed Federal complaints against Jeffrey B 9 Epstein before. 9 10 Q Okay. Do you recall one that was filed that 1 O 11 was never served that contained a misspelling of 11 12 someone's name? l'mjust asking if you recall. If you 12 13 don't recall it, you can tell me. 13 14 A 1 recall filing a complaint against hirn that 14 15 was never served. 1 don't know about a misspelling or 15 16 what we are talking about. 1 6 17 Q Do you recall filing one against him that was 1 7 18 never served, correct? 1 B 19 A·. • I do recall filing a complaint against hirri. • 19 20 It was never served. 2 0 21 Q How long was that complaint? 21 22 A I don't know. lfyou have it, 1 will look at 22 23 it. It will definitely help to refresh my recollection. 2 3 24 It...
NOT A CERTIFIED COPY -- .. 1 2 3 4 5 6 7 8 9 10 11 12 13 14 15 16 17 18 19 20 21 22 23 24 25 1 .. 2 3 4 5 6 7 8 9 10 11 12 13 14 15 16 17 18 • 19 20 21 22 23 24 25 Page 37 trying to be difficult but I'm just going off what you 1 said. 2 Q Be difficult, it's fine with me. 3 A I don't want to be. I want it to be over with 4 so go ahead. 5 Q It will be over with tomorrow. 6 A At this rate, for sure. 7 Q So at any rate, Rothstein had said what he 8 said in the deposition, the deposition speaks for itself 9 but -- 1 O A Right. 11 Q -- do you recall -- 1 2 A I was there. 13 Q -- when was that deposition? 14 A I don't remember. 15 Q Do you recall the year? 1 6 A Can you show me the deposition? It was either 1 7 2011 or 2012. 18 Q Okay. When he was deposed for those days that 19 Judge Bray -- Judge Cohn allowed? 2 0 A Deposed in this case I think -- 2 1 Q Yes. 22 A -- that your daughter took the deposition. 2 3 Q Do we -- she's old, can you refer to her as 2 4 co-counsel? All right. She took the deposition. All 2 5 Page 38 right. And that was -- that was the video deposition as 1 opposed to Scott being in person when he was over the 2 grand jury room, correct? 3 A I didn't even know that happened, so, yes, 4 that's when it was. 5 Q Ail right. Now, that would have been within a 6 year, year and a halflater ago, correct, something like 7 that; would that be accurate? 8 A I'm not going to quarrel it, if you are 9 telling me -- 10 Q Yeah. 11 A -- that's what it was, that's it. 1 2 Q All right. And at that point in time, any 13 person who ]mew anything at all or was following the 14 case would have learned that Scott Rothstein 15 affirmatively stated you had no involvement? 1 6 A I agree with that. 1 7 Q Okay. Do you know whether or not he had made 18 that representatioii'toothers prior to that in other 19 depositions or in debri...
NOT A CERTIFIED COPY 1 2 3 4 5 6 7 8 9 10 11 12 13 14 15 16 17 18 19 20 21 22 23 24 25 1 2 3 4 5 6 7 8 9 10 11 12 13 14 15 16 17 18 19 20 21 22 23 24 25 Page 41 BY MR. HADDAD: 1 Q Well, let me ask you this: In -- 2 A Do I believe that right now my reputation is 3 better than it has been at any time in the past, yes. 4 Q All right. And as a matter of fact, since the 5 Rothstein case, you're now included, probably one of the 6 youngest guys there is, in Best Lawyers in America, 7 correct? 8 A Probably. 9 Q All right. There are not many guys that have 10 been practicing ] I years to be included in that. 11 A I agree. 12 Q And that is 100 percent for old people like 13 Goldberger, for the most part. You are included in that 14 based upon peer review and nothing else? 15 A That's true. 1 6 Q You-- 17 A I mean, I don't ac -- actually don't imow the 18 answer to that. I -- if you are saying that's what it 19 is, it might be. 2 0 Q Did you solicit anybody to become in that? 2 1 A No. 22 Q Did you receive a letter saying you have been 2 3 nominated for Best Lawyers in America? 2 4 A I don't think so. 2 5 Page 42 Q No, you just got a notice one day that you -- 1 A Right. 2 Q -- are included, correct? 3 A Right, that's true. 4 Q Out of the whole world, out of thousands of 5 lawyers practicing law 10 years, you are notified, hey, 6 you are one of the best lawyers in America for what you 7 do? 8 A Right. 9 Q Okay. Now, you also are one of the top 40 10 lawyers under 40, correct? 11 A Right. 12 Q You are 37 years old? 13 A Correct. 1 4 Q And you are considered one of the top trial 15 lawyers in Florida? 16 A Right. 17 Q There is a group called the Top 100 T1ial 18 Lawyers in America, correct? 19 A I think so. 2 0 Q That's part of what you are in? 21 A Okay. 22 Q Yeah, they have the top 100 trial lawyers for 2 3 o...
NOT A CERTIFIED COPY 1 2 3 4 5 6 7 8 9 10 11 12 13 14 15 16 17 18 19 20 21 22 23 24 25 1 2 ____ _.,. 3 4 5 6 7 8 9 10 11 12 13 14 15 16 17 18 ... 19 20 21 22 23 24 25 Page 45 Q Okay. 1 A 1 answered one question one time. 2 Q Yeah, about herpes or something? 3 A 1 participate a lot less than everybody else 4 in my law firm, yes. 5 Q Okay. But 1 am just saying, you got -- they 6 rated you without your request, correct? 7 A That's true. 8 Q And they rated you as a superb lawyer? 9 A Okay. 10 Q Yes orno? 11 A 1 don't know. 12 Q Let me--weii- 13 A You keep up with this more than 1 do. l'm 14 telling you, I don't -- I don't -- 15 Q 1 didn't keep up with this at all. 16 A 1 don't know these things. 1 7 Q I don't know how to use computers. Somebody 18 did this for me. 19 A Show me what it is and I'll -- 2 O Q Yeah. Do you think I care about looking up 21 Brad Edwards? 2 2 A Apparently. 2 3 Q I don't even look up myself 2 4 A Exactly, that's my point. 2 5 Page 46 MR. GOLDBERGER: Someone did it for me. 1 MR. HADDAD: Oh, someone did it for you? 2 MR. GOLDBERGER: Look at the number. 3 MR. HADDAD: What? 4 MR. GOLDBERGER: 10.0.B. 5 MR. HADDAD: 10.0? 6 A Yep. I don't know - 7 BY MR. HADDAD: 8 Q Okay. You're rated as a superb lawyer, 9 correct? 1 0 A Okay. Yes. 11 Q Okay. Now, that's not a bad reputation to 12 have at 11 years out, correct? 13 A No, I -- I agree, 1 said that from the 14 beginning. 15 Q All right. And 2009, 2010, you didn't have 16 any of these accolades? 1 7 A I -- I agree with that. 1 think that's right. 18 Q Okay. So that's evolved iri the last two 19 years, okay; would you agree with that? 2 0 A Yes. 21 Q Ali right. And then - 2 2 A I think it has a lot to do with jury verdicts 2 3 that I have received that have nothing to do with 2 4 Epstein but iust to the extent that you are implying it 2...
NOT A CERTIFIED COPY 1 2 3 4 5 6 7 8 9 10 11 12 13 14 15 16 17 18 19 20 21 22 23 24 25 - 1 2 3 4 5 6 7 8 9 10 11 12 13 14 15 16 17 18 19 20 21 22 23 24 25 Page 49 A I don't lrnow that. 1 Q Okay. How about Skip Campbell, you are 2 buddies with him? 3 A I never talked to him in my life. 4 Q Oh, you didn't, I thought you lrnew him. 5 A No, l don't lrnow him. 6 Q So you made 20 million in verdicts in the last 7 two, three years? 8 A llighl. 9 Q Okay. And how many-- how much money has your 10 firm had in gross verdicts in the last couple of years, 11 let's say the last since 2009, when you all split 12 with -- well, you didn't split with Rothstein when you 13 were, I want to say disemboweled, but, I guess, 14 disengaged with that law firm, how much money has -- 15 what's the name, Farmer, Jaffe, let me just use short 1 6 for that? 1 7 A I tried the vast majority of our cases at that 1 8 firm. 19 Q Okay. How much -- well, did Gary Farmer win a 2 0 big verdict recently or a settlement? 21 A Maybe that, but -- 2 2 Q Settlement was how much? 23 A -- you lrnow the difference. 2 4 Q Yeah. Do I lrnow the difference? A little 2 5 Page 50 bit, not much. 1 A Yeah. Exactly. 2 Q How much did Farmer settle for? 3 A He has had a bunch of them. 4 Q How much would you say he's settled for, he 5 has had some -- didn't he have a big qui tam suit, or 6 whatever you call them? 7 A He has had several of them, yes. 8 Q How much did he settle for? 9 A Hundreds of millions of dollars. 10 Q More than that, no, didn't he settle one for a 11 billion? 12 A I think that predated our current firm though. 13 Q Oh, okay. So hundreds of millions of dollars 14 coming into your finn from him in settlements? 15 A I mean, that's a different question that I'm 1 6 not willing to answer but~.~.~. 1 7 Q Okay. 18 • • A • • Ahd it has nothing to do with me, I mean, ...
NOT A CERTIFIED COPY Page 53 1 me let you finish your question. 2 A Donald Baker, is that the -- 3 MS. HADDAD COLEMAN: No, it's different. 4 THE W1TNESS: Oh, different. 5 BY MR. HADDAD: 6 Q Oh, you got sued twice? 7 A Apparently. 8 Q All right. And then did -- let me ask you 9 about the -- I had it right here. 10 A I convicted some guy, he went to prison and 11 then sued the judge and every -- all the police and 12 everything else. 13 MR. GOLDBERGER: Here you go. 14 MS. HADDAD COLEMAN: This guy's name is 15 different. 16 MR. HADDAD: Yeah, Shaarbay, Sharbasom. I 17 guess that must be -- 18 MR. GOLDBERGER: Spell it. 19 MR. HADDAD: -- the Arab guy. S-H-A-A-R-B-A-Y 20 versus -- 21 A News tome. 22 BY MR. HADDAD: 23 Q - various persons. Were you ever served with 24 a lawsuit? Among the persons sued was -- 25 A No. Page 54 . 1 Q - Pete Weinstein, Michael Gates, Finkelstein, 2 Satz, Dan Callahan, Brad Edwards. ·--.. ,./ 3 A No. I don't recognize that person's name. I 4 have never been served with that lawsuit, to my 5 recollection. 6 Q To your recollection, okay. 7 A No. 8 Q All right. Bu1 you said there was another 9 one, who else sued you? 10 A Donald Baker sued me and Mike Satz and Michael 11 Gates and all of the Hollywood Police Department. 12 Q And what happened with that case? 13 A It was dismissed. 14 Q All right. Would those predate the time that 15 you were sued by Mr. Epstein? 16 A Yes. 17 Q Okay. Now, tell me how -- 18 A Well, I don't know about this new one that you 19 just told me abcii.Jt it, it may have been yesterday for 20 all I know. 21 Q All right. ,.,,., A I am unaware of it. <.<. 23 Q Emotional distress, embarrassment, mental 24 anguish, humiliation, 1 will start with those, because 25 we know loss of reputation and standing in the community 1 2 3 4 5 6 7 8 9 10 11 12 13 14 15 16 17 18 19 20 21 22 23 24 25 1 2 3 4 5 6 7 8 ...
NOT A CERTIFIED COPY Page 57 1 unscathed and nobody thought that 60 lawyers were . · .. 2 involved in a Ponzi scheme. I -- me and your client, 3 Russ Adler, are two of the only that have been pinned as 4 co-conspirators of Scott Rothstein's. 5 Q No, I would say there have been others. 6 A Well, you would lmow better than I. 7 Q Of course. 8 A But publicly -- well, that was my perception. 9 Q And I noticed Adler is still out there trying 10 cases, he just won three million bucks down in Miami 11 with some lawyer. 12 A He is a good lawyer. 13 Q Okay. And you are a good lawyer. 14 A Right. 15 Q All right. And I want to lmow exactly where 16 you were humil -- all right, I understand no one likes 17 getting sued and no one likes being accused of anything, 18 how did it impact you, this emotional distress, 19 embarrassment and mental anguish, how did it manifest 20 itself that we can put a -- a -- anything on it. Did 21 you ever not go to court? 22 A No, I -- I always fulfilled my obligations. 23 Q Did you seek -- did you seek mental -- uh, 24 what do they call those people, mental health helpers -- 25 A No. Page 58 1 2 3 4 5 6 7 8 9 10 11 12 13 14 15 16 17 18 19 20 21 22 23 24 25 Page 59 about and who he doesn't care about and I know the kinds of things that he has done in the past, how he lives his life and what he is capable of doing to n,e and what I believedthathewouldtodome. Soyeah, it's all about him. Q All right. And let's go there. So everything is about J effiey Epstein because he sued you, as opposed to anyone else in the world? A Yeah. MR. KING: You know, I'm going to -- let me -- let me interject here. I was at a prior deposition where Mr. Epstein was here and it's the same facial expressions, the same unprofessional attitude that he is displaying here that he displayed then. So I'm just going to ask you to instruct him to maintain a poker face, to the extent h...
NOT A CERTIFIED COPY Page 61 Page 63 1 A Right. 1 A I -- I know. You also told everybody in the 2 Q Did you get threatened by people when you were 2 courtroom that on that day, very, very lffudly. I 3 putting them in prison? 3 remember. 4 A To some extent. 4 Q That's right, Marty Vanskyhawk. 5 Q Yeah, you were a prosecutor, you -- 5 A That was it. 6 A Yeah. 6 MS. HADDAD COLEMAN: He needs to stop paying 7 Q -- were threatened by criminals, correct? 7 my exterminator apparently. 8 A Right. 8 Tv!R.. HADDAD: He stuck dead fish down the eaves 9 Q People that were going to prison? 9 of the house when they went to throw him out? 10 A Yeah. 10 A Correct. 11 Q They threatened to kill you, they threatened 11 Q Barracudas and Wahoo? 12 to get even with you, all kind of stuff, correct? 12 A Exactly. 13 A Right. 13 Q Yes. And If you were Norwegia...7, you would 14 Q And you were a -- I was going to slip again -- 14 have called it lutefisk and ate it. 15 you were a hard-nosed prosecutor? 15 A And you actually had it with Jody, but she 16 A That's true. 16 wasn't there that day, so I had to deal with you and him 17 Q All right. And you had the biggest -- I can't 17 and the whole mess. 18 think of him without saying anything, the hardest 18 Q Well. 19 unyielding judge there was in Michael Gates, correct? 19 A So yes. 20 A Great judge. 20 Q Okay. So, let's face it, you --you -- 21 Q There was no amount of prison time that was 21 A And he went to prison for fish. 22 not enough for him, great judge as you said, correct? 22 Q He went to prison for fish. 23 A I don't know if that's correct, I don't agree 23 A Right. 24 with that. 24 Q So did Jerry Chilli when I represented him. 25 Q Well, he was worse than -- well, you don't 25 Of course, he was a Mob kingpin. Excuse me. Page 62 Page 64 1 remember Futch, you weren't born yet. He was the 1 (Thereupon, a discussion was ...
NOT A CERTIFIED COPY Page 65 1 talked about your finn has a PR department, correct? 2 A That's correct. 3 Q Which is not unusual, I guess, for personal 4 injury lawyers, correct? 5 A That's correct. 6 Q All right. I don't know if it's -- how often 7 does -- and the only reason I'm asking is I went through 8 this stuff and I'm seeing this, what they call a PR log. 9 A Okay. 10 Q Whatever it is, okay. And do you have -- I 11 guess you just what, hire somebody to do your PR? 12 A That's correct. 13 Q And does -- do you have a point person who 14 does it, like one of your lawyers? 15 A Yes. 16 Q And who would that be? 17 A Seth Lehrman. 18 Q Okay. And do you also use Facebook to promote 19 the law firm? 20 A I believe the law furn has a Facebook page, 21 but I can't say for certain. 22 Q All right. Do you actually do any of the 23 input yourself? 24 A Zero. I never have. 25 Q Do you have the approval yourself of what's Page 66 1 put in there, do you have to approve what's put in there 2 or it's -- .- .. 3 A No. 4 Q Okay. All of the advertising that is done 5 about Bradley Edwards then, such as --1 mean, I'm sure 6 you have seen them sh owing your face on channel -- I am 7 talking about the Huizenga thing now where, what's her 8 name, Buntrock? 9 A I have never seen it. 10 Q Okay. All of that's done by someone else? 11 A Yes. 12 Q You are -- you are presently involved in 13 the -- are -- have you filed suit in that case yet? 14 MR. GOLDBERGER: Identify the case for him. 15 MR. HADDAD: Pardon? 16 IV1R. GOLDBERGER: Just so we have a record. 17 MR. HADDAD: I will get to it in a second. If 18 he says he filed suit, I'll do it. ... ·19 A • You -- you're talking about -- 20 BY MR. HADDAD: 21 Q I'm talking about the pastor -- 22 A I know what you're -- 23 Q --you know exactly what I'm talking -- first 24 time I saw -- 25 A Talking about Jeffrey London? 1 2 3 4...
NOT A CERTIFIED COPY 1 . 2 3 4 5 6 7 8 9 10. 11 12 13 14 15 16 17 18 19 20 21 22 23 24 25 ~--·- 1 2 3 4 5 6 7 8 9 10 11 12 13 14 15 16 17 18 · .. 19 20 21 22 23 24 25 Page 69 A I hesitated because you asked how many 1 plaintiffs there are. And for you to be a plaintiff, 2 there has to be a lawsuit. 3 Q How many potential plaintiffs are you 4 representing? 5 A Let me describe what I do in that case and 6 then you can take it from there. There are, I believe, 7 seven or eight victims that we have signed on to 8 represent them through the criminal process as crime 9 victims' rights attorneys. Some -- some may have civil 1 0 claims that still are viable and some may not. Right 11 now we have filed one. In the future, we may decide to 12 file others. That's the best I can do. 1 3 I mean, there -- obviously, we are dealing 14 with a lot of issues that relate to abuse that happened 15 many, many years ago, which raises other issues that 16 everybody is probably familiar with so-.-.-. 1 7 Q A!! right. Now, in that case, of course, 1 8 there is, I suppose, some issue of whether or not -- 19 well, obviously Mr. London would be what the -- they 2 0 used to say is an impossibility, judgment-proof, 21 correct? He has got no -- 2 2 A I would hope that the guy goes to prison for 2 3 the rest of his 1 ife so -- 2 4 Q Well,Iunderstandthat. 25 Page 70 A -- that would probabiy make him l judgment-proof. 2 Q Well, I understand that, but the benefactor of 3 that place where he was is far from judgment-proof, 4 correct? 5 A Benefactor of what place? 6 Q Of the -- of the place where he had these 7 kids, would be farfromjudgrnent-proof, correct? 8 A The owner of the.house I believe is Elizabeth 9 Buntrock. 10 Q All right. And Miss Buntrock is Huizenga's 11 sister or cousin? 12 A Some relative. 13 Q All right. And she was married l:).Ild had one of 14 the huge...
NOT A CERTIFIED COPY 1 2 3 4 5 6 7 8 9 10 11 12 13 14 15 16 17 18 19 20 21 22 23 24 25 ,, 1 2 ,. 3 4 5 6 7 8 9 10 11 12 13 14 15 16 17 18 19 20 21 22 23 24 25 Page 73 Q Now I got to work. 1 A Sorry. 2 Q That's okay. 3 (Thereupon, a discussion was had off the 4 ~~J 5 I'm trying to truncate this because I know 6 most plaintiffs lawyers and civil lawyers would keep 7 you here for six hours and probably-- 8 A I feel like we're headed down that road. 9 Q You're not going to be headed down that road 10 with me. I am not staying that long. I'm just trying 11 to find it. See ifl was a civil lawyer, I would have 12 ali of this stuff nice and neat. W-here is this stuff? 13 There it is. 14 There is -- and this is why I am doing this -- 15 is, Dear Miss Coleman, the accompanied -- this is 16 May 8th, 2012, are -- in producing response to 1 7 plaintiff's discovery request, subject to our agreement 18 that this production does not constitute or support a 1 9 waiver of privilege asse1ted as to any other documents. 2 0 A Okay. 21 Q And there are hundreds of e-mails that 2 2 Mr. Scarola produced to Miss Coleman. 2 3 (Thereupon, a discussion was had off the 2 4 record.) 2 5 Page 74 BY MR. HADDAD: 1 Q Okay. 2 A l have seen those. 3 Q Oh, can I see them, because I want to go 4 through every one of them? 5 A I can't wait. 6 Q Well, you're -- if Scarola was here I would do 7 it just for the hell of it. 8 A I bet you would. 9 Q I would. 10 MR. KING: Thank you. 11 MR. HADDAD: You're welcome. 12 BY MR. HADDAD: 13 Q All right. In looking through these, these 14 are all e-mails that you sent, correct? 15 A I think either I sent or received or was 16 copied on. I mean, I think that there are some -- 1 7 Q All right. And there is no questions you had 18 ariy relationships with the press tlrroughout this entire 19 proceeding? 2 0 A I agree. 21 ...
NOT A CERTIFIED COPY Page 77 Page 79 1 put out? 1 in London papers regarding Jeffrey Epstein? 2 A I don't know, I haven't seen that. You are 2 A Right now, as I sit here right now, no, I 3 pulling it from our firm Web site. I told you I haven't 3 don't remember ever seeing this or ]mowing this. 4 input anything, so the fact that it's here, it seems 4 Q Okay. And did you ever express to your law 5 like it's here. 5 firm that you are so afraid of Jeffrey Epstein not to go 6 Q Well, I -- 6 do things like this because you might get him mad? 7 A You are reading it, right? 7 A No, the opposite. I mean, I think that being B Q I want to ask you questions. I am reading it 8 public is what saves me so-.-.-. 9 right? 9 Q Okay. 10 A It seems that way. 10 A I don't- 11 Q Okay. You have never seen that? 11 Q So the more public you are, such as -- well, 12 A No. 12 let me ask you this. 13 Q So your finn is putting these things out and 13 A If something happened to me right now, I think 14 they do it without your knowledge or with your 14 that everybody will know he did it, so I think that 15 knowledge? 15 helps. 16 A They know about my cases so-.-.-. 16 Q Have you ever been married? 17 Q I understand that. I'm just asking you if you 17 A Yeah. 18 are consulted about the content of what your finn IT guy 18 Q If something happened to -- 19 m whoever it is puts out, that's all I'm asking, not a 19 A Not as many times as you. 20 hard question. 20 Q And -- I'm just looking at this. How did you 21 A I was not consulted. Here's the thing, has 21 get $735,000 for three toes? 22 there ever been a conversation where the PR person has 22 A Three toes were chopped off and there was a 23 asked me the truthfulness of this information and me say 23 little more to it but-.-.-. 24 yes, that possibly happened. Have I known that this was 24 Q Oh, I guess so, that's a lot of money. 25 ...
NOT A CERTIFIED COPY Page Bl 1 Q I don't know, I'm just asking you. It's a 1 2 1ady that you guys were talking about when they picked 2 3 up, what's his name, Polanski, you guys thought about 3 4 maybe using the Polanski case to help rake -- gear up 4 5 some things, you had a series of e-mails. Do you recall 5 6 ili~ 6 7 A I don't remember that either. 7 8 Q You don't, okay. You don't remember anything 8 9 about anything about -- any com -- communications, 9 10 Polanski got arrested, what, two years ago? They -- 1 0 11 A I don't remember either. 11 12 Q -- picked him up in Switzerland and then they 12 13 had to let him go? 13 14 A I don't remember any correspondence about -- 1 4 15 Q Conchita? 15 16 A Conchita, yeah, I know - 1 6 17 Q Who is she? 1 7 18 A A reporter somewhere up north. 1 8 19 Q Okay. And do you know how many e-mails you 1 9 20 may have exchanged with her? 2 0 21 A Nn 21 22 Q Do you know how many telephones calls you had 2 2 23 with her? 23 24 A No. I have had telephone calls. I have had 2 4 25 e-mails. 2 5 Page 82 1 Q All right. Did you ever give Michele the 1 .. j 2 phone number for Epstein's probation officer down in 2 3 Virgin Islands or anything? 3 4 A I don't remember doing that, but I might have. 4 5 Q All right. And do you recall giving them 5 6 infonnation about where to find Mr. Epstein at various 6 7 times to different reporters and what you were able to 7 8 find out about him? 8 9 A Specifically, what? There is certain 9 10 information I may have given. I -- I was - I use my 1 0 11 discretion I think pretty responsibly to get the 11 12 information that I needed while also disseminating only 12 13 the information that I thought would ultimately be 13 14 helpful. 14 15 Q To whom? 15 16 A To whatever reporters that we're talking 1 6 17 about. 1 7 18 Q Oh, and-- 18 •• 19 A If we are talking about Michele Dargan, t...
NOT A CERTIFIED COPY 1 2 3 4 5 6 7 8 9 10 11 12 13 14 15 16 17 18 19 20 21 22 23 24 25 - 1 ·; 2 3 4 5 6 7 8 9 10 11 12 13 14 15 16 17 18 • 19 20 21 22 23 24 25 Page 85 Q I am too professional for that. 1 A That is a shot at yourself. 2 Q That's something no one would ever say about 3 me, so I figured I would do it. 4 A Uh, I don't remember that e-mail, but I, like 5 you, find it somewhat amusing. I mean, you see me 6 saying I -- the cases seem so different, not factually 7 but procedurally, or I'm unsure as to how we can use one 8 to help in the other, so I mean, that's my answer -- 9 Q But--butl-- 10 A -- I agree with today. 11 Q I understand that's your answer, but what we 12 are talking about is there is a -- a -- it ls a -- 13 almost a circle of people involved in this case 14 involving you, the press and others. I mean, there is 15 hundreds of e-mails there. 16 A More people in this case -- 1 7 MR. KING: Objection, fonn. 18 A -- than any other case I have ever had. 19 MR. KING: Objection to form. 2 0 BY MR. HADDAD: 21 Q All right. And that's involved with members 2 2 ofthepublicalso? 23 A I think that you could say that no matter what 2 4 category we are talking about, just a lot of people. 2 5 Page 86 Q Did you ever meet Conchita face-to-face? 1 A Iili~ 2 Q Where? 3 A In the Palm Beach Courthouse. 4 Q Okay. State Courthouse? 5 A Yeah. 6 Q Okay. On one of the Epstein cases? 7 A She approached me telling me that she had 8 known him for 20 years, coming -- I was coming out of 9 the courtroom. And I think that I was at a hearing on 10 an Ep -- on a case against Jeffrey Epstein. 11 Q All right. And -- okay, can I see that back 12 for a second? There was something else I wanted to see 13 and let me just give -- if you don't mind giving me one 14 second. 15 Are you familiar with a 2010 case. Your 16 deposition was in March of...
NOT A CERTIFIED COPY -- Page 89 l MR.KING: Was the book published by somebody 2 else? 3 MR. HADDAD: No, he-- I am asking the 4 questions, I don't know. I didn't hear what you 5 said, I'm sorry, Jack, what was that? 6 MR. KING: That's all right. I said as to a 7 book published by somebody else. 8 MR. HADDAD: No, no, no, no. What happened in 9 this, I am sure you are not familiar, is Alfredo 10 Rodriguez was his -- was his house manager. 11 MR. KING: Right. 12 MR. HADDAD: He gave a deposition in the case. 13 Brad was there, l beiieve, and a bunch of other 14 lawyers that were suing Mr. Epstein. 15 MR. KING: Right. 16 MR. HADDAD: After that deposition, 17 Mr. Rodriquez approached an individual and said, I 18 have a book that contains a lot more than what I 19 said at my deposition. In essence, I withheld tons 20 of stuff at my deposition, I want 50 G's. The 21 person he approached, I assume, is Mr. Edwards. 22 Mr. Edwards, being the lawyer that he is didn't get 23 the book, he approached the police and said someone 24 is trying to commit a crime, and the book -- the 25 gentleman was arrested through a roundabout Page 90 - l different sort of thing. And then I assume the 2 book was made public and the names were produced 3 and I wanted to know whether or not Mr. -- 4 MR. KING: That book? 5 MR. HADDAD: That book. Whether or not 6 Ivlr. Edwards had contact with any persons that were 7 listed in that book. 8 MR. KING: Well, along the lines that were 9 taken last time with regard to whatever work he 10 undertook, whatever work product was involved in 11 the investigation of his cases, in light of the 12 current status of the case, in which the -- you 13 know, pending claim is what it is -- 14 MR. HADDAD: Umm-hmm. 15 MR. KING: -- I think it's -- it's even more 16 reinforced those objections are and will be raised. 17 MR. HADDAD: All right. That's fine, I 18 just -- to let you object. 19 BY...
NOT A CERTIFIED COPY -- 1 2 3 4 5 6 7 8 9 10 11 12 13 14 15 16 17 18 19 20 21 22 23 24 25 1 ..; 2 ,• 3 4 5 6 7 8 9 10 11 12 13 14 15 16 17 18 19 20 21 22 23 24 25 (Whereupon, a break was taken.) (Thereupon, Defendant's Exhibit Nos. l - l l and 13 & 14 were marked for identification.) Page 93 THE VIDEOGRAPHER: The time is 12:08 p.m. We are now back on the video record. MR. KING: Andjust--just before -- before we go on, I understand that you all have marked various exhibits that were referenced during the course of the testimony which hadn't been marked earlier which you now marked 1 through what? MS. HADDAD COLEMAN: 1 through l l, and they were shown to coun - to Mr. Edwards during the course of this deposition. MR. KING: Very good. 1 2 3 4 5 6 7 8 9 10 11 12 13 14 MS. HADDAD COLEMAN: And not contemporaneously 15 re-referenced. MR. KING: Very good. THE WITNESS: It's -- it's a little bit more than that, I through 11 and then 13 and 14. 12 was taken out of there so-.-.-. MS. HADDAD COLEMAN: Okay. MR. KING: So just let's put on the record what we have then so the record is clear. THE WITNESS: Okay. Exhibit 1 was part of Farmer, Jaffe, Weissing Web site. Exhibit 2 is Page 94 16 17 18 19 20 21 22 23 24 25 from the Web site. Exhibit 3 from the Web site, 1 Exhibit 4 from the Web site. Exhibit 5 from 2 National Trial Lawyers Web site. Exhibit 6 from 3 AVVO,A-V-V-O. Exhibit7fromtheFarmer,Jaffe, 4 Weissing Web site. Exhibit 8 from lawyers.corn. 5 Exhibit 9 from for 40 under 40. Exhibits 10 and 11 6 are interrogatories directed to me and responses. 7 Exhibit 13 is the transcript of the sentencing 8 proceedings for Alfredo Rodriguez. Exhibit 14 is a 9 plea agreement between th~ United States and 10 Alfredo Rodriguez. 11 BY:MR. HADDAD: 12 Q Let me go back, ifl may, just for a minute to 13 the plea agreement so your counsel can object. Did 14 you -- d...
NOT A CERTIFIED COPY 1 2 3 4 5 6 7 8 9 10 11 12 13 14 15 16 17 18 19 20 21 22 23 24 25 .. 1 ,. 2 ·•-.. , .. 3 4 5 6 7 8 9 10 11 12 13 14 15 16 17 18 19 20 21 22 23 24 25 Page 97 A Attorney-client privilege. 1 BY MR. HADDAD: 2 Q Okay. I just - I just ask the questions, 3 that's all. You can always say no. 4 A I've just never heard of an attorney 5 actual! y -- 6 Q You -- you -- well, I -- 7 A -- ask it that way. B Q -- well, let me put it this -- you were aware 9 that Mr. Scarola's law firm represented other purported 1 D victims of lVrr. Epstein, correct? 11 A I was aware that his law firm represented 12 victims of Mr. Epstein, yes. 13 Q And how many? 14 A How many victims? 15 Q Yeah. 16 A I'm not sure. 1 7 Q All right. And do you !mow which lawyers? 1 B A I believe that Jack was one of them. I ]mow 19 Jack was one of then. He was the main lawyer that 2 D handled the cases over there. 21 Q Oka~ 22 A In fact, 1 don't remember the nai71e of any of 23 the other lawyers from the firm that handled the cases. 2 4 Q All right. 2 s Page 98 MR. HADDAD: I don't think I have any other 1 questions. Does anybody have anything they want 2 to -- Debbie? 3 MR. KING: As I lll1derstand it, what -- well, 4 go ahead, I didn't mean to cut you off. 5 MR.. HADDAD: That's okay. 6 BY MR. HADDAD: 7 Q As you know, we still have -- as you said you 8 would not answer any of the questions that were 9 propounded to you before and objected to. 1 O A My objection to those previous questions would 11 be my objection today. 12 MR. HADDAD: All right. It was set for a 13 hearing April 12th of 2011 and then again reset for 14 another time and no one ever went -- the hearing 15 never went forward, so those questions are still 16 objected to, unresolved. So we'll stop. We will 1 7 go from there, see whatever happens. 18 THE WITNESS: • Okay. 19 MR. GO...
NOT A CERTIFIED COPY 1 2 3 4 5 6 7 B 9 10 11 12 13 14 15 16 17 18 19 20 21 22 23 24 25 1 2 '···- ,.~• 3 4 5 6 7 8 9 10 11 1_2 13 14 15 16 17 18 19 20 21 22 23 24 25 Page 101 in having to reestablish that you were objecting and, you know -- JvlR. GOLDBERGER: Obviously, if those records had been produced, we would have had a ton of questions about that but-.-.-. JvlR. KING: I understand, but my only concern was I didn't know, because I was not there at the hearing, I didn't participate in any way with respect to that, so I don't know what the Court's expectations were as to whether or not the Court wanted you to ask any questions. If you don't proceed, that's the case. JvlR. HADDAD: No, I don't think it was necessary -- MS. HADDAD COLEMAN: In his order, the Court permitted the deposition to go forward. I said at the hearing we wouldn't get into any questions that were directly related to those documents, with the express understanding once the Court rules we may ask whatever the Court permits us to ask. JvlR. KJNG: That's what I needed to !mow. Thank you. All right. JvlR. HADDAD: All right. We're -- do you want -- do you want to read or waive this part of it? Page 102 THE WI1NESS: I will read it. MR. GOLDBERGER: Okay. THE VIDEOGRAPHER: The time is 12: 16 p.m. We are now coming off the video record. This is the end of Tape No. 2. THE COURT REPORTER: Do you want this typed up? MR. HADDAD: Do I want ii typed up? I'd like - you got to make money. I represent the richest guy in America. THE VIDEOGRAPHER: Counsel; copy of the video? MR. HADDAD: Huh? THE VIDEOGRAPHER: Do you want a copy of the video, sir? MR. HADDAD: Sir? No. I don't know. Do we want a copy of the video? THE COURT REPORTER: Do you want a copy of this? MR: KING: Yes, please. _ (Witness excused.) (Deposition was adjourned at 12:16 p.m.) AND FURTHER DEPONENT SAITH NOT SIGNATURE OF WITNESS 1 2 3 4 5 6 7 8 9...
NOT A CERTIFIED COPY
CERTIFICATE
ST ATE OF FLORJDA, )
COUNTY OF BROWARD.)
I, WENDY ROBERTS, Registered Professional
Reporter and Notary Public in and for the State of
Florida at Large, do hereby certify that the
foregoing testimony was taken before me; that the
witness was duly sworn by me; and that the foregoing
pages constitute a true record of the testimony
given by said witness.
I further certify that I am not a relative or
employee or attorney or counsel of any of the
parties, or a relative or employee of such attorney
or counsel, nor financially interested in the
action.
Under penalties of perjury, I declare that I
have read the foregoing certificate and that the
facts stated herein are true.
Signed this 24th day ofMay, 2013.
'."~\
-~~~5~~S, Registered Professional Reporter
EMPIRE LEGAL SUPPORT, INC.
401 EAST LAS OLAS BOULEVARD, STE 1400
FORT LAUDERDALE, FL 33301
To: BRADLEY EDWARDS, ESQUIRE
Fallller Jaffe Weissing Edwards Fistos Lehrman
425 North Andrews Avenue, Suite 2
Fort Lauderdale, Florida 33301
Re: CASE NO.: 502009CA040800XXXXMBAG
--------------~/
Dear BRADLEY EDWARDS,
Your deposition taken in the above
entitled cause is now ready for signature.
Please come to this office and sign same; or
if you wish to waive the signing of the
deposition, please so advise.
If this deposition has not been signed
within 30 days of today's date, May 24th, 2013,
we shall consider your signature waived.
Your prompt attention in this matter is
appreciated.
Si11cerely=---
1{~,(~~>f .·
DEPOSITION ERRATA SHEET
Our Assignment No. 10402
Case Caption: JEFFREY EPSTEIN
vs. SCOTT ROTHSTEIN
DECLARATION UNDER PENALTY OF PERJURY
I declare under penalty of perjury
that I have read the entire transcript of
my Deposition taken in the captioned matter
or the same has been read to me, and
the same is true and accurate, save and
except for changes and/or corrections, if
any, as indicated by me on the DEPOSITION
ERRATA SHEET hereof, with t...
NOT A CERTIFIED COPY DEPOSJT!ONERRATA SHEET Page No. __ Line No. __ Change to: _____ _ Reason for change: ____________ _ Page No. __ Line No. __ Change to: _____ _ Reason for change: ____________ _ Page No. __ Line No. __ Change to: _____ _ Reason for change: ____________ _ Page No. __ Line No. __ Change to:. _____ _ Reason for change:. ____________ _ Page No. __ Line No. __ Change to:. _____ _ Reason for change:. ____________ _ Page No. __ Line No. __ Change to: _____ _ Reason for change: ____________ _ Page No. Line No. __ Change to: _____ _ Reason for change: ____________ _ SIGNATURE: _________ DATE .. • ____ _ BRADLEY EDWARDS EMPIRE LEGAL SUPPORT, INC. ( 954) 241-1010 28 (Page 109) Electronically signed by Wendy Roberts (201-049-665-8352) Electronically signed by Wendy Roberts (201-049-665-8352) Electronically signed by Wendy Roberts (201-049-665-8352) e96e17a7-3aa9-4fcc-b5a9-ie7af337979
Size: 203 x 13 pixels
Surrounding text: Could you spell your last name for us? That is : Alright, thank you, and where are you living rig
Medium redaction (~22 chars)
Size: 37 x 8 pixels
Surrounding text: Street, Hallandale Beach Q. Date of birth, ple A. Q. Mr. Edwards, ha deposition taken before'
Context contains 'street' suggesting Physical address
Size: 37 x 8 pixels
Surrounding text: Street, Hallandale Beach Q. Date of birth, ple A. Q. Mr. Edwards, ha deposition taken before'
Context contains 'date of birth' suggesting Date of birth
Page 1
document
2429 x 3200
Objects: Page, Text, Letter | Text: Filing # 9301301 Electronically Filed 01/17/2014 03:32:27 PM | I
Page 2
document
2429 x 3200
Objects: Letter, Text, Page | Text: Case No.: 502009CA040800XXXXMBAG | Edwards' Opposition to Epstei
Page 3
document
2429 x 3200
Objects: Page, Text, Letter | Text: Case No.: 502009CA040800XXXXMBAG | Edwards' Opposition to Epstei
Page 4
document
2429 x 3200
Objects: Page, Text, Letter | Text: Case No.: 502009CA040800XXXXMBAG | Edwards' Opposition to Epstei
Page 5
document
2429 x 3200
Objects: Page, Text, Letter | Text: Case No.: 502009CA040800XXXXMBAG | Edwards Opposition to Epstein
Page 6
document
2429 x 3200
Objects: Letter, Text, Page | Text: Case No.: 502009CA040800XXXXMBAG | Edwards' Opposition to Epstei
Page 7
document
2429 x 3200
Objects: Page, Text, Letter | Text: Case No.: 502009CA040800XXXXMBAG | Edwards Opposition to Epstein
Page 8
document
2429 x 3200
Objects: Page, Text, Letter | Text: Case No.: 502009CA040800XXXXMBAG | Edwards' Opposition to Epstei
Page 9
document
2429 x 3200
Objects: Page, Text, Letter | Text: Case No.: 502009CA040800XXXXMBAG | Edwards Opposition to Epstein
Page 10
document
2429 x 3200
Objects: Page, Text, Letter | Text: Case No.: 502009CA040800XXXXMBAG | Edwards' Opposition to Epstei
Page 11
document
2429 x 3200
Objects: Page, Text, Letter | Text: Case No.: 502009CA040800XXXXMBAG | Edwards Opposition to Epstein
Page 12
document
2429 x 3200
Objects: Page, Text, Letter | Text: Case No.: 502009CA040800XXXXMBAG | Edwards' Opposition to Epstei
Page 13
document
2429 x 3200
Objects: Letter, Text, Page | Text: Case No.: 502009CA040800XXXXMBAG | Edwards Opposition to Epstein
Page 14
document
2429 x 3200
Objects: Page, Text | Text: Case No.: 502009CA040800XXXXMBAG | Edwards' Opposition to Epstein's Moti
Page 15
document
2429 x 3200
Objects: Page, Text | Text: Case No.: 502009CA040800XXXXMBAG | Edwards' Opposition to Epstein's Moti
Page 16
document
2429 x 3200
Objects: Page, Text, Letter | Text: IN THE CIRCUIT COURT OF THE 15TH | JUDICIAL CIRCUIT IN AND FOR P
Page 16
document
539 x 322
Objects: Triangle, Text, Chart, Plot, Blackboard | Text: Amendment does not forbid | EXHIBIT
Page 17
document
2429 x 3200
Objects: Page, Text, Letter | Text: 2. | Epstein repeatedly sexually assaulted more than forty (40)
Page 18
document
2429 x 3200
Objects: Page, Text, Letter | Text: using a vibrator and he also paid her $200 for each other undera
Page 19
document
2429 x 3200
Objects: Page, Text, Letter | Text: on her thong panties. Epstein then instructed S.G to give him a
Page 20
document
2429 x 3200
Objects: Page, Text, Letter | Text: 6. | At all relevant times Edwards has had a good faith basis to
Page 21
document
2429 x 3200
Objects: Page, Text, Letter | Text: minor females that the United States Attorney's Office recognize
Page 22
document
2429 x 3200
Objects: Page, Text, Letter | Text: one or more of the following acts with each of the then-minor gi
Page 23
document
2429 x 3200
Objects: Letter, Text, Page | Text: was at Epstein's home on multiple occasions. Epstein engaged in
Page 24
document
2429 x 3200
Objects: Page, Text, Letter | Text: 15. | One of Mr. Epstein's household employees, Mr. Alfredo Rodr
Page 25
document
2429 x 3200
Objects: Letter, Text, Page | Text: whatsoever" with the litigation in this case. See, e.g., Journal
Page 26
document
2429 x 3200
Objects: Page, Text, Letter | Text: appearance before the grand jury in the Southern District of Flo
Page 27
document
2429 x 3200
Objects: Page, Text, Letter | Text: Edwards with some insight into how far-reaching Epstein 's power
Page 28
document
2429 x 3200
Objects: Page, Text, Letter | Text: discussions, on September 24, 2007, Epstein signed an agreement
Page 29
document
2429 x 3200
Objects: Page, Text, Letter | Text: block federal prosecution of Epstein. Nor did the FBI notify E.
Page 30
document
2429 x 3200
Objects: Page, Text, Letter | Text: Affidavit of Bradley J. Edwards, Esq. at 11 - 2, 94 (hereinafter
Page 31
document
2429 x 3200
Objects: Page, Text, Letter | Text: 35. | On Friday, June 27, 2008, at approximately 4:15 p.m., AUSA
Page 32
document
2429 x 3200
Objects: Letter, Text, Page | Text: effectively terminated by the U.S. Attorney's office. See Hearin
Page 33
document
2429 x 3200
Objects: Letter, Text, Page | Text: 43. | Because Epstein became a convicted sex offender, he was no
Page 34
document
2429 x 3200
Objects: Page, Text, Letter | Text: 46. On September 11, 2008, at the request of his client L.M.., B
Page 35
document
2429 x 3200
Objects: Page, Text, Letter | Text: alleges that Epstein told her during the "massage", "I love how
Page 36
document
2429 x 3200
Objects: Page, Text, Letter | Text: Epstein 's Obstruction of Normal Discovery and Attacks on His Vi
Page 37
document
2429 x 3200
Objects: Page, Text, Letter | Text: fabricating cases of a sexual nature fleecing unsuspecting Flori
Page 38
document
2429 x 3200
Objects: Page, Text, Letter | Text: all substantive questions regarding her role in arranging for mi
Page 39
document
2429 x 3200
Objects: Page, Text, Letter | Text: 61. | In reasonable reliance on this and other information, Edwa
Page 40
document
2429 x 3200
Objects: Page, Text, Letter | Text: Edwards that Brunel might have been procuring two eight-year-old
Page 41
document_scan
2429 x 3200
Scanned legal document page
Page 42
document_scan
2429 x 3200
Scanned legal document page
Page 43
document_scan
2429 x 3200
Scanned legal document page
Page 44
document_scan
2429 x 3200
Scanned legal document page
Page 45
document_scan
2429 x 3200
Scanned legal document page
Page 46
document_scan
2429 x 3200
Scanned legal document page
Page 47
document_scan
2429 x 3200
Scanned legal document page
Page 48
document_scan
2429 x 3200
Scanned legal document page
Page 49
document_scan
2429 x 3200
Scanned legal document page
Page 50
document_scan
2429 x 3200
Scanned legal document page
Page 51
document_scan
2429 x 3200
Scanned legal document page
Page 52
document_scan
2429 x 3200
Scanned legal document page
Page 53
document_scan
2429 x 3200
Scanned legal document page
Page 54
document_scan
2429 x 3200
Scanned legal document page
Page 55
document_scan
2429 x 3200
Scanned legal document page
Page 56
document_scan
2429 x 3200
Scanned legal document page
Page 57
document_scan
2429 x 3200
Scanned legal document page
Page 57
extracted_photo
401 x 524
Photo extracted from document scan (sub-image 0). Context: 2139 Palm Beach La West Palm Beach, FI
Page 57
unknown
446 x 208
Unclassified image
Page 58
document_scan
2429 x 3200
Scanned legal document page
Page 59
document_scan
2429 x 3200
Scanned legal document page
Page 60
document_scan
2429 x 3200
Scanned legal document page
Page 61
document_scan
2429 x 3200
Scanned legal document page
Page 62
document_scan
2429 x 3200
Scanned legal document page
Page 63
document_scan
2429 x 3200
Scanned legal document page
Page 64
document_scan
2429 x 3200
Scanned legal document page
Page 65
document_scan
2429 x 3200
Scanned legal document page
Page 66
document_scan
2429 x 3200
Scanned legal document page
Page 66
header_footer
652 x 131
Header or footer graphic
Page 67
document_scan
2429 x 3200
Scanned legal document page
Page 67
extracted_photo
502 x 305
Photo extracted from document scan (sub-image 0)
Page 68
document_scan
2429 x 3200
Scanned legal document page
Page 69
document_scan
2429 x 3200
Scanned legal document page
Page 70
document_scan
2429 x 3200
Scanned legal document page
Page 71
document_scan
2429 x 3200
Scanned legal document page
Page 72
document_scan
2429 x 3200
Scanned legal document page
Page 73
document_scan
2429 x 3200
Scanned legal document page
Page 74
document_scan
2429 x 3200
Scanned legal document page
Page 75
document_scan
2429 x 3200
Scanned legal document page
Page 76
document_scan
2429 x 3200
Scanned legal document page
Page 77
document_scan
2429 x 3200
Scanned legal document page
Page 78
document_scan
2429 x 3200
Scanned legal document page
Page 79
document_scan
2429 x 3200
Scanned legal document page
Page 80
document_scan
2429 x 3200
Scanned legal document page
Page 81
document_scan
2429 x 3200
Scanned legal document page
Page 82
document_scan
2429 x 3200
Scanned legal document page
Page 83
document_scan
2429 x 3200
Scanned legal document page
Page 84
document_scan
2429 x 3200
Scanned legal document page
Page 85
document_scan
2429 x 3200
Scanned legal document page
Page 86
document_scan
2550 x 3300
Scanned legal document page
Page 87
document_scan
2550 x 3300
Scanned legal document page
Page 88
document_scan
2550 x 3300
Scanned legal document page
Page 89
document_scan
2550 x 3300
Scanned legal document page
Page 89
photograph
778 x 588
Possible photograph
Page 90
document_scan
2550 x 3300
Scanned legal document page
Page 91
document_scan
2550 x 3300
Scanned legal document page
Page 91
extracted_photo
518 x 296
Photo extracted from document scan (sub-image 0). Context: scovery;
Page 92
document_scan
2550 x 3300
Scanned legal document page
Page 93
document_scan
2550 x 3300
Scanned legal document page
Page 94
document_scan
2550 x 3300
Scanned legal document page
Page 95
document_scan
2550 x 3300
Scanned legal document page
Page 96
document_scan
2550 x 3300
Scanned legal document page
Page 97
document_scan
2550 x 3300
Scanned legal document page
Page 98
document_scan
2550 x 3300
Scanned legal document page
Page 99
document_scan
2550 x 3300
Scanned legal document page
Page 100
document_scan
2550 x 3300
Scanned legal document page
Page 101
document_scan
2550 x 3300
Scanned legal document page
Page 102
document_scan
2550 x 3300
Scanned legal document page
Page 103
document_scan
2550 x 3300
Scanned legal document page
Page 104
document_scan
2550 x 3300
Scanned legal document page
Page 105
document_scan
2550 x 3300
Scanned legal document page
Page 106
document_scan
2550 x 3300
Scanned legal document page
Page 107
document_scan
2550 x 3300
Scanned legal document page
Page 108
document_scan
2550 x 3300
Scanned legal document page
Page 109
document_scan
2550 x 3300
Scanned legal document page
Page 110
document_scan
2550 x 3300
Scanned legal document page
Page 111
document_scan
2550 x 3300
Scanned legal document page
Page 112
document_scan
2550 x 3300
Scanned legal document page
Page 113
document_scan
2550 x 3300
Scanned legal document page
Page 114
document_scan
2550 x 3300
Scanned legal document page
Page 115
document_scan
2550 x 3300
Scanned legal document page
Page 116
document_scan
2550 x 3300
Scanned legal document page
Page 117
document_scan
2550 x 3300
Scanned legal document page
Page 118
document_scan
2550 x 3300
Scanned legal document page
Page 118
extracted_photo
952 x 429
Photo extracted from document scan (sub-image 0). Context: West Palm Beach, Florida 33409 Phone: (56
Page 118
document_image
802 x 288
Document-embedded image
Page 119
document_scan
2550 x 3300
Scanned legal document page
Page 120
document_scan
2550 x 3300
Scanned legal document page
Page 120
extracted_photo
517 x 300
Photo extracted from document scan (sub-image 0)
Page 120
unknown
164 x 139
Unclassified image
Page 121
document_scan
2550 x 3300
Scanned legal document page
Page 122
document_scan
2550 x 3300
Scanned legal document page
Page 123
document_scan
2550 x 3300
Scanned legal document page
Page 124
document_scan
2550 x 3300
Scanned legal document page
Page 125
document_scan
2550 x 3300
Scanned legal document page
Page 126
document_scan
2550 x 3300
Scanned legal document page
Page 127
document_scan
2550 x 3300
Scanned legal document page
Page 128
document_scan
2550 x 3300
Scanned legal document page
Page 129
document_scan
2550 x 3300
Scanned legal document page
Page 130
document_scan
2550 x 3300
Scanned legal document page
Page 131
document_scan
2550 x 3300
Scanned legal document page
Page 132
document_scan
2550 x 3300
Scanned legal document page
Page 133
document_scan
2550 x 3300
Scanned legal document page
Page 134
document_scan
2550 x 3300
Scanned legal document page
Page 135
document_scan
2550 x 3300
Scanned legal document page
Page 136
document_scan
2550 x 3300
Scanned legal document page
Page 137
document_scan
2550 x 3300
Scanned legal document page
Page 138
document_scan
2550 x 3300
Scanned legal document page
Page 139
document_scan
2550 x 3300
Scanned legal document page
Page 140
document_scan
2550 x 3300
Scanned legal document page
Page 141
document_scan
2550 x 3300
Scanned legal document page
Page 142
document_scan
2550 x 3300
Scanned legal document page
Page 143
document_scan
2550 x 3300
Scanned legal document page
Page 144
document_scan
2550 x 3300
Scanned legal document page
Page 145
document_scan
2550 x 3300
Scanned legal document page
Page 146
document_scan
2550 x 3300
Scanned legal document page
Page 147
document_scan
2550 x 3300
Scanned legal document page
Page 147
extracted_photo
2055 x 3127
Photo extracted from document scan (sub-image 0)
Page 147
exhibit_image
508 x 304
Exhibit or evidence image
Page 148
document_scan
2550 x 3300
Scanned legal document page
Page 148
extracted_photo
2048 x 3048
Photo extracted from document scan (sub-image 0). Context: 2 (Pages S 2 to 5)
Page 149
document_scan
2550 x 3300
Scanned legal document page
Page 149
extracted_photo
2047 x 3046
Photo extracted from document scan (sub-image 0). Context: 3 (Pages e 6 to 9)
Page 150
document_scan
2550 x 3300
Scanned legal document page
Page 150
extracted_photo
2053 x 3045
Photo extracted from document scan (sub-image 0). Context: 4 (Pages 10 to 13)
Page 151
document_scan
2550 x 3300
Scanned legal document page
Page 151
extracted_photo
2062 x 3047
Photo extracted from document scan (sub-image 0). Context: 5 (Pages 14 to 17) O
Page 152
document_scan
2550 x 3300
Scanned legal document page
Page 152
extracted_photo
2055 x 3046
Photo extracted from document scan (sub-image 0). Context: 6 (Pages 18 to 21)
Page 153
document_scan
2550 x 3300
Scanned legal document page
Page 153
extracted_photo
2055 x 3047
Photo extracted from document scan (sub-image 0). Context: 7 (Pages 22 to 25)
Page 154
document_scan
2550 x 3300
Scanned legal document page
Page 154
extracted_photo
2053 x 3044
Photo extracted from document scan (sub-image 0). Context: 8 (Pages 26 to 28)
Page 154
unknown
171 x 166
Unclassified image
Page 154
unknown
142 x 121
Unclassified image
Page 155
document_scan
2550 x 3300
Scanned legal document page
Page 156
document_scan
2550 x 3300
Scanned legal document page
Page 157
document_scan
2550 x 3300
Scanned legal document page
Page 158
document_scan
2550 x 3300
Scanned legal document page
Page 159
document_scan
2550 x 3300
Scanned legal document page
Page 160
document_scan
2550 x 3300
Scanned legal document page
Page 161
document_scan
2550 x 3300
Scanned legal document page
Page 162
document_scan
2550 x 3300
Scanned legal document page
Page 163
document_scan
2550 x 3300
Scanned legal document page
Page 164
document_scan
2550 x 3300
Scanned legal document page
Page 165
document_scan
2550 x 3300
Scanned legal document page
Page 166
document_scan
2550 x 3300
Scanned legal document page
Page 167
document_scan
2550 x 3300
Scanned legal document page
Page 168
document_scan
2550 x 3300
Scanned legal document page
Page 169
document_scan
2550 x 3300
Scanned legal document page
Page 170
document_scan
2550 x 3300
Scanned legal document page
Page 171
document_scan
2429 x 3200
Scanned legal document page
Page 172
document_scan
2429 x 3200
Scanned legal document page
Page 173
document_scan
2429 x 3200
Scanned legal document page
Page 174
document_scan
2429 x 3200
Scanned legal document page
Page 175
document_scan
2429 x 3200
Scanned legal document page
Page 176
document_scan
2429 x 3200
Scanned legal document page
Page 177
document_scan
2429 x 3200
Scanned legal document page
Page 178
document_scan
2429 x 3200
Scanned legal document page
Page 179
document_scan
2429 x 3200
Scanned legal document page
Page 180
document_scan
2429 x 3200
Scanned legal document page
Page 181
document_scan
2429 x 3200
Scanned legal document page
Page 182
document_scan
2429 x 3200
Scanned legal document page
Page 183
document_scan
2429 x 3200
Scanned legal document page
Page 184
document_scan
2429 x 3200
Scanned legal document page
Page 185
document_scan
2429 x 3200
Scanned legal document page
Page 186
document_scan
2429 x 3200
Scanned legal document page
Page 187
document_scan
2429 x 3200
Scanned legal document page
Page 188
document_scan
2429 x 3200
Scanned legal document page
Page 189
document_scan
2429 x 3200
Scanned legal document page
Page 190
document_scan
2429 x 3200
Scanned legal document page
Page 191
document_scan
2429 x 3200
Scanned legal document page
Page 192
document_scan
2429 x 3200
Scanned legal document page
Page 193
document_scan
2429 x 3200
Scanned legal document page
Page 194
document_scan
2429 x 3200
Scanned legal document page
Page 195
document_scan
2429 x 3200
Scanned legal document page
Page 196
document_scan
2429 x 3200
Scanned legal document page
Page 197
document_scan
2429 x 3200
Scanned legal document page
Page 198
document_scan
2429 x 3200
Scanned legal document page
Page 199
document_scan
2429 x 3200
Scanned legal document page
Page 200
document_scan
2429 x 3200
Scanned legal document page
Page 201
document_scan
2429 x 3200
Scanned legal document page
Page 202
document_scan
2429 x 3200
Scanned legal document page
Page 203
document_scan
2429 x 3200
Scanned legal document page
Page 204
document_scan
2429 x 3200
Scanned legal document page
Page 205
document_scan
2429 x 3200
Scanned legal document page
Page 206
document_scan
2429 x 3200
Scanned legal document page
Page 207
document_scan
2429 x 3200
Scanned legal document page
Page 208
document_scan
2429 x 3200
Scanned legal document page
Page 209
document_scan
2429 x 3200
Scanned legal document page
Page 210
document_scan
2429 x 3200
Scanned legal document page
Page 211
document_scan
2429 x 3200
Scanned legal document page
Page 212
document_scan
2429 x 3200
Scanned legal document page
Page 213
document_scan
2429 x 3200
Scanned legal document page
Page 214
document_scan
2429 x 3200
Scanned legal document page
Page 215
document_scan
2429 x 3200
Scanned legal document page
Page 216
document_scan
2429 x 3200
Scanned legal document page
Page 217
document_scan
2429 x 3200
Scanned legal document page
Page 218
document_scan
2429 x 3200
Scanned legal document page
Page 219
document_scan
2429 x 3200
Scanned legal document page
Page 220
document_scan
2429 x 3200
Scanned legal document page
Page 221
document_scan
2429 x 3200
Scanned legal document page
Page 222
document_scan
2429 x 3200
Scanned legal document page
Page 223
document_scan
2429 x 3200
Scanned legal document page
Page 224
document_scan
2429 x 3200
Scanned legal document page
Page 225
document_scan
2429 x 3200
Scanned legal document page
Page 226
document_scan
2429 x 3200
Scanned legal document page
Page 227
document_scan
2429 x 3200
Scanned legal document page
Page 228
document_scan
2429 x 3200
Scanned legal document page
Page 229
document_scan
2429 x 3200
Scanned legal document page
Page 230
document_scan
2429 x 3200
Scanned legal document page
Page 231
document_scan
2429 x 3200
Scanned legal document page
Page 232
document_scan
2429 x 3200
Scanned legal document page
Page 233
document_scan
2429 x 3200
Scanned legal document page
Page 234
document_scan
2429 x 3200
Scanned legal document page
Page 235
document_scan
2429 x 3200
Scanned legal document page
Page 236
document_scan
2429 x 3200
Scanned legal document page
Page 237
document_scan
2429 x 3200
Scanned legal document page
Page 238
document_scan
2429 x 3200
Scanned legal document page
Page 239
document_scan
2429 x 3200
Scanned legal document page
Page 239
signature
425 x 74
Possible signature image
Page 240
document_scan
2429 x 3200
Scanned legal document page
Page 240
document_image
516 x 242
Document-embedded image
Page 241
document_scan
2429 x 3200
Scanned legal document page
Page 242
document_scan
2429 x 3200
Scanned legal document page
Page 243
document_scan
2429 x 3200
Scanned legal document page
Page 244
document_scan
2429 x 3200
Scanned legal document page
Page 245
document_scan
2429 x 3200
Scanned legal document page
Page 246
document_scan
2429 x 3200
Scanned legal document page
Page 247
document_scan
2429 x 3200
Scanned legal document page
Page 248
document_scan
2429 x 3200
Scanned legal document page
Page 249
document_scan
2429 x 3200
Scanned legal document page
Page 249
unknown
191 x 263
Unclassified image
Page 250
document_scan
2429 x 3200
Scanned legal document page
Page 251
document_scan
2429 x 3200
Scanned legal document page
Page 252
document_scan
2429 x 3200
Scanned legal document page
Page 253
document_scan
2429 x 3200
Scanned legal document page
Page 254
document_scan
2429 x 3200
Scanned legal document page
Page 255
document_scan
2429 x 3200
Scanned legal document page
Page 255
document_image
795 x 347
Document-embedded image
Page 256
document_scan
2429 x 3200
Scanned legal document page
Page 257
document_scan
2429 x 3200
Scanned legal document page
Page 258
document_scan
2429 x 3200
Scanned legal document page
Page 259
document_scan
2429 x 3200
Scanned legal document page
Page 259
chart_diagram
1035 x 377
Chart, graph, or diagram
Page 260
document_scan
2429 x 3200
Scanned legal document page
Page 261
document_scan
2429 x 3200
Scanned legal document page
Page 262
document_scan
2429 x 3200
Scanned legal document page
Page 263
document_scan
2429 x 3200
Scanned legal document page
Page 264
document_scan
2429 x 3200
Scanned legal document page
Page 265
document_scan
2429 x 3200
Scanned legal document page
Page 265
signature
893 x 93
Possible signature image
Page 266
document_scan
2429 x 3200
Scanned legal document page
Page 267
document_scan
2429 x 3200
Scanned legal document page
Page 268
document_scan
2429 x 3200
Scanned legal document page
Page 269
document_scan
2429 x 3200
Scanned legal document page
Page 270
document_scan
2429 x 3200
Scanned legal document page
Page 271
document_scan
2429 x 3200
Scanned legal document page
Page 272
document_scan
2429 x 3200
Scanned legal document page
Page 272
document_image
107 x 2231
Document-embedded image
Page 272
unknown
75 x 414
Unclassified image
Page 273
document_scan
2429 x 3200
Scanned legal document page
Page 273
extracted_photo
501 x 268
Photo extracted from document scan (sub-image 0). Context: intiff. Therefore, we are no
Page 274
document_scan
2429 x 3200
Scanned legal document page
Page 274
extracted_photo
653 x 353
Photo extracted from document scan (sub-image 0). Context: CIRCUIT COURT JUDGE process.
Page 275
document_scan
2429 x 3200
Scanned legal document page
Page 276
document_scan
2429 x 3200
Scanned legal document page
Page 277
document_scan
2429 x 3200
Scanned legal document page
Page 278
document_scan
2429 x 3200
Scanned legal document page
Page 279
document_scan
2429 x 3200
Scanned legal document page
Page 280
document_scan
2429 x 3200
Scanned legal document page
Page 281
document_scan
2429 x 3200
Scanned legal document page
Page 282
document_scan
2429 x 3200
Scanned legal document page
Page 283
document_scan
2429 x 3200
Scanned legal document page
Page 284
document_scan
2429 x 3200
Scanned legal document page
Page 285
document_scan
2429 x 3200
Scanned legal document page
Page 286
document_scan
2429 x 3200
Scanned legal document page
Page 287
document_scan
2429 x 3200
Scanned legal document page
Page 288
document_scan
2429 x 3200
Scanned legal document page
Page 289
document_scan
2429 x 3200
Scanned legal document page
Page 290
document_scan
2429 x 3200
Scanned legal document page
Page 291
document_scan
2429 x 3200
Scanned legal document page
Page 292
document_scan
2429 x 3200
Scanned legal document page
Page 293
document_scan
2429 x 3200
Scanned legal document page
Page 294
document_scan
2429 x 3200
Scanned legal document page
Page 295
document_scan
2429 x 3200
Scanned legal document page
Page 296
document_scan
2429 x 3200
Scanned legal document page
Page 297
document_scan
2429 x 3200
Scanned legal document page
Page 298
document_scan
2429 x 3200
Scanned legal document page
Page 299
document_scan
2429 x 3200
Scanned legal document page
Page 300
document_scan
2429 x 3200
Scanned legal document page
Page 301
document_scan
2429 x 3200
Scanned legal document page
Page 302
document_scan
2429 x 3200
Scanned legal document page
Page 303
document_scan
2429 x 3200
Scanned legal document page
Page 304
document_scan
2429 x 3200
Scanned legal document page
Page 305
document_scan
2429 x 3200
Scanned legal document page
Page 306
document_scan
2429 x 3200
Scanned legal document page
Page 307
document_scan
2429 x 3200
Scanned legal document page
Page 308
document_scan
2429 x 3200
Scanned legal document page
Page 309
document_scan
2429 x 3200
Scanned legal document page
Page 310
document_scan
2429 x 3200
Scanned legal document page
Page 311
document_scan
2429 x 3200
Scanned legal document page
Page 311
extracted_photo
498 x 294
Photo extracted from document scan (sub-image 0). Context: N 1
Page 311
exhibit_image
449 x 296
Exhibit or evidence image
Page 312
document_scan
2429 x 3200
Scanned legal document page
Page 313
document_scan
2429 x 3200
Scanned legal document page
Page 314
document_scan
2429 x 3200
Scanned legal document page
Page 315
document_scan
2429 x 3200
Scanned legal document page
Page 316
document_scan
2429 x 3200
Scanned legal document page
Page 317
document_scan
2429 x 3200
Scanned legal document page
Page 318
document_scan
2429 x 3200
Scanned legal document page
Page 319
document_scan
2429 x 3200
Scanned legal document page
Page 320
document_scan
2429 x 3200
Scanned legal document page
Page 321
document_scan
2429 x 3200
Scanned legal document page
Page 322
document_scan
2429 x 3200
Scanned legal document page
Page 323
document_scan
2429 x 3200
Scanned legal document page
Page 324
document_scan
2429 x 3200
Scanned legal document page
Page 325
document_scan
2429 x 3200
Scanned legal document page
Page 326
document_scan
2429 x 3200
Scanned legal document page
Page 327
document_scan
2429 x 3200
Scanned legal document page
Page 328
document_scan
2429 x 3200
Scanned legal document page
Page 329
document_scan
2429 x 3200
Scanned legal document page
Page 330
document_scan
2429 x 3200
Scanned legal document page
Page 331
document_scan
2429 x 3200
Scanned legal document page
Page 332
document_scan
2429 x 3200
Scanned legal document page
Page 333
document_scan
2429 x 3200
Scanned legal document page
Page 334
document_scan
2429 x 3200
Scanned legal document page
Page 335
document_scan
2429 x 3200
Scanned legal document page
Page 336
document_scan
2429 x 3200
Scanned legal document page
Page 336
chart_diagram
573 x 169
Chart, graph, or diagram
Page 337
document_scan
2429 x 3200
Scanned legal document page
Page 338
document_scan
2429 x 3200
Scanned legal document page
- About Brad (p.245) 50%
- About Epstein (p.80) 50%
- About Epstein (p.108) 50%
- About Jeffrey (p.319) 50%
- Absolutely No (p.72) 50%
- Absolutely No (p.99) 50%
- Adam Horowitz (p.237) 75%
- Adam Horowitz (p.282) 75%
- Adam Horowitz (p.295) 75%
- Admissible Testimony (p.80) 50%
- Admissible Testimony (p.108) 50%
- Adriana Mucinska (p.37) 50%
- Adriana Mucinska (p.43) 50%
- Adriana Mucinska (p.64) 50%
- Adverse Inferences (p.12) 50%
- Again Mr (p.169) 50%
- Alan Dersbowitz (p.63) 50%
- Alan Dershowitz (p.44) 95%
- Alan Dershowitz (p.45) 95%
- Alan Dershowitz (p.55) 95%
- ...and 1789 more
- 1 Financial Plz St (p.276) address
- 1 Flagler St (p.272) address
- 1109 Northeast Second Street (p.161) address
- 139 Palm Beach Lakes Boulevard (p.118) address
- 1395 Brickell Avenue (p.148) address
- 1395 Brickell Avenue (p.154) address
- 1441 Brickell Ave. (p.274) address
- 1441 Brickell Avenue (p.119) address
- 15 Federal St (p.5) address
- 1615 Forum Place (p.154) address
- 18 Financial Pl (p.242) address
- 20 Park Pl (p.121) address
- 2139 Palin Bench Lakes Blvd (p.311) address
- 2139 Palm Beach Lakes Blvd (p.57) address
- 2139 Palm Beach Lakes Blvd (p.89) address
- 2139 Palm Beach Lakes Blvd (p.276) address
- 2139 Palm Beach Lakes Blvd. (p.274) address
- 2139 Palm Beach Lakes Boulevard (p.14) address
- 2139 Palm Beach Lakes Boulevard (p.120) address
- 2139 Palm Beach Lakes Boulevard (p.147) address
- ...and 582 more
- File Path
- additional_files/795.pdf
- File Size
- 14,399 KB
- Processed
- 2025-12-21 03:25
- Status
- completed